Abstract
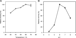
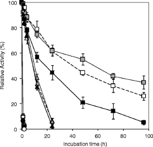
We have identified a carboxylesterase produced in liquid cultures of the thermophilic actinomycete Thermobifida fusca KW3 that were supplemented with poly(ethylene terephthalate) fibers. The enzyme hydrolyzed highly hydrophobic, synthetic cyclic poly(ethylene terephthalate) trimers with an optimal activity at 60°C and a pH of 6. V max and K m values for the hydrolysis were 9.3 µmol−1 min−1 mg−1 and 0.5 mM, respectively. The esterase showed high specificity towards short and middle chain-length fatty acyl esters of p-nitrophenol. The enzyme retained 37% of its activity after 96 h of incubation at 50°C and a pH of 8. Enzyme inhibition studies and analysis of substitution mutants of the carboxylesterase revealed the typical catalytic mechanism of a serine hydrolase with a catalytic triad composed of serine, glutamic acid, and histidine.







References
Alisch M, Feuerhack A, Müller H, Mensak B, Andreaus J, Zimmermann W (2004) Biocatalytic modification of polyethylene terephthalate fibres esterases from actinomycete isolates. Biocatal Biotransform 22:347–351
Alisch-Mark M, Herrmann A, Zimmermann W (2006) Increase of the hydrophilicity of polyethylene terephthalate fibres by hydrolases from Thermomonospora fusca and Fusarium solani f. sp pisi. Biotechnol Lett 28:681–685
Arpigny JL, Jäger K-E (1999) Bacterial lipolytic enzymes: classification and properties. Biochem J 343:177–183
Bennett-Lovsey RM, Herbert AD, Sternberg MJ, Kelley LA (2008) Exploring the extremes of sequence/structure space with ensemble fold recognition in the program Phyre. Proteins 70:611–625
Bornscheuer UT (2002) Microbial carboxyl esterases: classification, properties and application in biocatalysis. FEMS Microbiol Rev 26:73–81
Bott R, Kellis JT, Morrison TB (2003) High throughput mutagenesis screening method. WO Patent 03/076580 A2
Bradford MM (1976) A rapid and sensitive method for the quantization of microgram quantities of protein utilizing the principle of protein-dye binding. Anal Biochem 72:248–254
Brückner T, Eberl A, Heumann S, Rabe M, Gübitz GM (2008) Enzymatic and chemical hydrolysis of poly(ethylene terephthalate) fabrics. J Polym Sci, Part A, Polym Chem 46:6435–6443
Carvalho CM, Aires-Barros MR, Cabral JMS (1998) Cutinase structure, function and biocatalytic applications. Electron J Biotechnol 1:160–173
Chahinian H, Ali YB, Abousalham A, Petry S, Mandrich L, Manco G, Canaan S, Sarda L (2005) Substrate specificity and kinetic properties of enzymes belonging to the hormone-sensitive lipase family: comparison with non-lipolytic and lipolytic carboxylesterases. Biochim Biophys Acta 1738:29–36
Chen S, Tong X, Woodard RW, Du G, Wu J, Chen J (2008) Identification and characterization of bacterial cutinase. J Biol Chem 283:25854–25862
Davies MT (1959) A universal buffer solution for use in ultra-violet spectrophotometry. The Analyst 84:248–251
DeLano WL (2002) The PyMOL molecular graphics system. DeLano Scientific, Palo Alto
Eberl A, Heumann S, Kotek R, Kaufmann F, Mitsche S, Cavaco-Paulo A, Gübitz GM (2008) Enzymatic hydrolysis of PTT polymers and oligomers. J Biotechnol 135:45–51
Eisenberg D, Lüthy R, Bowie JU (1997) VERIFY3D: assessment of protein models with three-dimensional profiles. Meth Enzymol 277:396–404
Fernando G, Zimmermann W, Kolattukudy PE (1984) Suberin-grown Fusarium solani f. sp. pisi generates a cutinase-like esterase which depolymerizes the aliphatic components of suberin. Physiol Plant Pathol 24:143–155
Fett WF, Gerard RA, Osman SF (1992) Screening of nonfilamentous bacteria for production of cutin-degrading enzymes. Appl Environ Microbiol 58:2123–2130
Fett WF, Wijey C, Moreau RA, Osman SF (1999) Production of cutinase by Thermomonospora fusca ATCC 27730. J Appl Microbiol 86:561–568
Feuerhack A, Alisch-Mark M, Kisner A, Pezzin SH, Zimmermann W, Andreaus J (2008) Biocatalytic surface modification of knitted fabrics made of poly (ethylene terephthalate) with hydrolytic enzymes from Thermobifida fusca KW3b. Biocatal Biotransform 26:357–364
Figueroa Y, Hinks D, Montero GA (2006) A heterogeneous kinetic model for the cutinase-catalyzed hydrolysis of cyclo-tris-ethylene terephthalate. Biotechnol Prog 22:1209–1214
Gübitz GM, Cavaco-Paulo A (2003) New substrates for reliable enzymes: enzymatic modification of polymers. Curr Opin Biotechnol 14:577–582
Heumann S, Eberl A, Pobeheim H, Liebminger S, Fischer-Colbrie G, Almansa E, Cavaco-Paulo A, Gübitz GM (2006) New model substrates for enzymes hydrolyzing polyethyleneterephthalate and polyamide fibres. J Biochem Biophys Meth 39:89–99
Hooker J, Hinks D, Montero GA, Icherenska M (2003) Enzyme catalyzed hydrolysis of poly(ethylene terephthalate) cyclic trimer. J Appl Polym Sci 89:2545–2552
Jäger K-E, Ransac S, Dijkstra BW, Colson C, van Heuvel M, Misset O (1994) Bacterial lipases. FEMS Microbiol Rev 15:29–63
Jäger K-E, Dijkstra BW, Reetz MT (1999) Bacterial biocatalysts: molecular biology, three-dimensional structures, and biotechnological applications of lipases. Annu Rev Microbiol 53:315–351
Kleeberg I, Welzel K, VandenHeuvel J, Müller R-J, Deckwer W-D (2005) Characterization of a new extracellular hydrolase from Thermobifida fusca degrading aliphatic-aromatic copolyester. Biomacromolecules 6:262–270
Lämmli UK (1970) Cleavage of structural proteins during the assembly of the head of bacteriophage T4. Nat 227:680–685
Liebminger S, Eberl A, Fischer-Colbrie G, Heumann S, Gübitz GM (2007) Hydrolysis of PET and bis (benzoyloxyethyl) terephthalate with a new polyesterase from Penicillium citrinum. Biocat Biotrans 25:171–177
Liu P, Ewis HE, Tai PC, Lu CD, Weber IT (2007) Crystal structure of the Geobacillus stearothermophilus carboxylesterase Est55 and its activation of prodrug CPT-11. J Mol Biol 367:212–223
Longhi S, Mannesse M, Verheij HM, Haas GH, Egmond M, Knoops-Mouthuy E, Cambillau C (1997) Crystal structure of cutinase covalently inhibited by a triglyceride analogue. Protein Sci 6:275–286
Lykidis A, Mavromatis K, Ivanova I, Anderson I, Land M, DiBartolo G, Martinez M, Lapidus A, Lucas S, Copeland A, Richardson P, Wilson DB, Kyrpides N (2007) Genome sequence and analysis of the soil cellulolytic actinomycete Thermobifida fusca YX. J Bacteriol 189:2477–2486
Müller R-J, Kleeberg I, Deckwer W-D (2001) Biodegradation of polyesters containing aromatic constituents. J Biotechnol 86:87–95
Müller R-J, Schrader H, Profe J, Dresler K, Deckwer W-D (2005) Enzymatic degradation of poly(ethylene terephthalate): rapid hydrolyse using a hydrolase from T. fusca. Macromol Rapid Commun 26:1400–1405
Nimchua T, Punnapayak H, Zimmermann W (2007) Comparison of the hydrolysis of polyethylene terephthalate fibers by a hydrolase from Fusarium oxysporum LCH I and Fusarium solani f. sp. pisi. Biotechnol J 2:361–364
Oeser T, Wei R, Baumgarten T, Billig S, Föllner C, Zimmermann W (2010) High level expression of a hydrophobic poly(ethylene terephthalate)-hydrolyzing carboxylesterase from Thermobifida fusca KW3 in Escherichia coli BL21(DE3). J Biotech 146:100–104
Phithakrotchanakoon C, Daduang R, Thamchaipenet A, Wangkam T, Srikhirin T, Eurwilaichitr L, Champreda V (2009) Heterologous expression of polyhydroxyalkanoatedepolymerase from Thermobifida sp. in Pichia pastoris and catalytic analysis by surface plasmon resonance. Appl Microbiol Biotechnol 82:131–140
Purdy RE, Kolattukudy PE (1975) Hydrolysis of plant cutin by plant pathogens. Purification, amino acids composition, and molecular weight of two isoenzymes of cutinase and a nonspecific esterase from Fusarium solani f. pisi. Biochemistry 14:2824–2831
Riegels M, Kock R, Pedersen LS, Lund H (2001) Enzymatic hydrolysis of cyclic oligomers. US Patent 6(184):010
Ronkvist ÅM, Xie W, Lu W, Gross RA (2009) Cutinase-catalyzed hydrolysis of poly(ethylene terephthalate). Macromol 42:5128–5138
Sandal T, Kauppinen S, Kofod LV (1996) An enzyme with lipolytic activity. WO Patent 96/13580
Schwede T, Kopp J, Guex N, Peitsch MC (2003) SWISS-MODEL: an automated protein homology-modeling server. Nucleic Acids Res 31:3381–3385
Torda AE, Procter JB, Huber T (2004) Wurst: a protein threading server with a structural scoring function, sequence profiles and optimized substitution matrices. Nucleic Acids Res 32:W532–W535
Traub PC (2000) Gensynthese, Expression und Refolding der Lipasen aus Pseudomonas species KWI 56 und Chromobacterium viscosum. Dissertation, Universität Stuttgart, Germany
Vertommen MAME, Nierstrasz VA, van der Veer M, Warmoeskerken MMCG (2005) Enzymatic surface modification of poly(ethylene terephthalate). J Biotechnol 120:376–386
Yang C-H, Liu W-H (2008) Purification and properties of an acetylxylan esterase from Thermobifida fusca. Enzyme Microb Technol 42:181–186
Yoon MY, Kellis JT, Poulouse AJ (2002) Enzymatic modification of polyester. AATCC Rev 2:33–36
Zhang Z, Wang Y, Ruan J (1998) Reclassification of Thermomonospora and Microtetraspora. Int J Syst Bacteriol 48:411–422
Acknowledgement
S. Billig was supported by grant no. 20004/730, Deutsche Bundesstiftung Umwelt and T. Oeser by grant no. 13-8811.61/215-1, Sächsisches Staatsministerium für Umwelt und Landwirtschaft. C. Roth from the University of Leipzig is acknowledged for his assistance in the pI determination. I. Neundorf and J. Stichel from the University of Leipzig are acknowledged for the amino acid sequence determination and MALDI-TOF/TOF analysis.
Author information
Authors and Affiliations
Corresponding author
Additional information
Nucleotide sequence data reported in this paper will appear in the EMBL database under the accession number FN401519 and the protein sequence data in the UniProt knowledgebase under the accession number P86325.
Electronic supplementary material
Below is the link to the electronic supplementary material.
Online resource 1
Amino acid composition of TfCa and the cutinases Tfu_0882 and Tfu_0883 from T. fusca YX (PDF 6 kb)
Online resource 2
Comparison of the amino acid sequence of TfCa from T. fusca KW3 with the putative carboxylesterase Tfu_2427 from T. fusca YX. The proteins differ in two amino acids (marked in grey and bold). Tfu_2427 has a glycine residue instead of a serine at position 335 and a threonine residue instead of an alanine at position 340. The identity of the two proteins was 99.6%. Amino acid residues of the catalytic triad are underlined and marked in bold (PDF 63 kb)
Online resource 3
Alignment of amino acid sequences of carboxylesterases (PDF 1748 kb)
Rights and permissions
About this article
Cite this article
Billig, S., Oeser, T., Birkemeyer, C. et al. Hydrolysis of cyclic poly(ethylene terephthalate) trimers by a carboxylesterase from Thermobifida fusca KW3. Appl Microbiol Biotechnol 87, 1753–1764 (2010). https://doi.org/10.1007/s00253-010-2635-y
Received:
Revised:
Accepted:
Published:
Issue Date:
DOI: https://doi.org/10.1007/s00253-010-2635-y