Skip to main content

Chemoinformatics-assisted development of new anti-biofilm compounds

Abstract

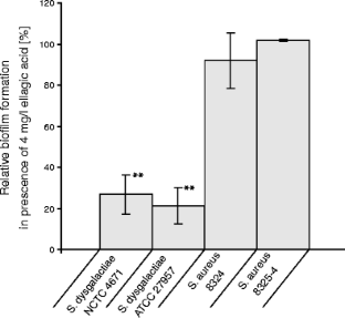
Bacterial biofilms are associated with a large number of infections. Biofilm-dwelling bacteria are particularly resistant to antibiotics, making it hard to eradicate biofilm-associated infections. Here, we use a novel cross-disciplinary approach combining microbiology and chemoinformatics to identify new and efficient anti-biofilm drugs. We found that ellagic acid (present in green tea) significantly inhibited biofilm formation of Streptococcus dysgalactiae. Based on ellagic acid, we performed in silico screening of the Chinese Natural Product Database to predict a 2nd-generation list of compounds with similar characteristics. One of these, esculetin, proved to be more efficient in preventing biofilm formation by Staphylococcus aureus. From esculetin a 3rd-generation list of compounds was predicted. One of them, fisetin, was even better to abolish biofilm formation than the two parent compounds. Fisetin dramatically inhibited biofilm formation of both S. aureus and S. dysgalactiae. The compounds did not affect planktonic growth in concentrations where they affected biofilm formation and appeared to be specific antagonists of biofilms. Arguably, since all three compounds are natural ingredients of dietary plants, they should be well-tolerated by humans. Our results indicate that such small plant components, with bacterial lifestyle altering properties are promising candidates for novel generations of antimicrobial drugs. The study underlines the potential in combining chemoinformatics and biofilm research.

This is a preview of subscription content, access via your institution.

Fig. 1
Fig. 2
Fig. 3
Fig. 4

References

  • Ahn YJ, Kawamura T, Kim M, Yamamoto T, Mitsuoka T (1991) Tea polyphenols: selective growth inhibitors of Clostridium spp. Agric Biol Chem 55:1425–1426

    CAS  Google Scholar 

  • Akiyama H, Fujii K, Yamasaki O, Oono T, Iwatsuki K (2001) "Antibacterial action of several tannins against Staphylococcus aureus" J. Antimicrob Chemother 48:487–491

    Article  CAS  Google Scholar 

  • Anderl JN, Franklin MJ, Stewart PS (2000) Role of antibiotic penetration limitation in Klebsiella pneumoniae biofilm resistance to ampicillin and ciprofloxacin. Antimicrob Agents Chemother 44:1818–1824

    Article  CAS  Google Scholar 

  • Arai Y, Watanabe S, Kimira M, Shimoi K, Mochizuki R, Kinae N (2000) Dietary intakes of flavonols, flavones and isoflavones by Japanese women and the inverse correlation between quercetin intake and plasma LDL cholesterol concentration. J Nutr 130:2243–2250

    CAS  Google Scholar 

  • Bradley A (2002) Bovine mastitis: an evolving disease. Vet J 164:116–128

    Article  CAS  Google Scholar 

  • Cespedes CL, Avila JG, Martinez A, Serrato B, Calderon-Mugica JC, Salgado-Garciglia R (2006) Antifungal and antibacterial activities of Mexican tarragon (Tagetes lucida). J Agric Food Chem 54:3521–3527

    Article  CAS  Google Scholar 

  • Chemical Computing Group I. (2007) Molecular operating environment, 2007.09 ed. Montreal Quebec

  • Christensen BB, Sternberg C, Andersen JB, Palmer RJ Jr, Nielsen AT, Givskov M, Molin S (1999) Molecular tools for study of biofilm physiology. Methods Enzymol 310:20–42

    Article  CAS  Google Scholar 

  • Coetser SE, Cloete TE (2005) Biofouling and biocorrosion in industrial water systems. Crit Rev Microbiol 31:213–232

    Article  CAS  Google Scholar 

  • Costerton JW, Lewandowski Z, Caldwell DE, Korber DR, Lappin-Scott HM (1995) Microbial biofilms. Annu Rev Microbiol 49:711–745

    Article  CAS  Google Scholar 

  • Costerton JW, Stewart PS, Greenberg EP (1999) Bacterial biofilms: a common cause of persistent infections. Science 284:1318–1322

    Article  CAS  Google Scholar 

  • Donlan RM (2002) Biofilms: microbial life on surfaces. Emerg Infect Dis 8:881–890

    Google Scholar 

  • Duncan SH, Flint HJ, Stewart CS (1998) Inhibitory activity of gut bacteria against Escherichia coli O157 mediated by dietary plant metabolites. FEMS Microbiol Lett 164:283–288

    Article  CAS  Google Scholar 

  • Duncan SH, Leitch EC, Stanley KN, Richardson AJ, Laven RA, Flint HJ, Stewart CS (2004) Effects of esculin and esculetin on the survival of Escherichia coli O157 in human faecal slurries, continuous-flow simulations of the rumen and colon and in calves. Br J Nutr 91:749–755

    Article  CAS  Google Scholar 

  • Durant JL, Leland BA, Henry DR, Nourse JG (2002) Reoptimization of MDL keys for use in drug discovery. J Chem Inf Comput Sci 42:1273–1280

    CAS  Google Scholar 

  • Ehrman TM, Barlow DJ, Hylands PJ (2007) Phytochemical informatics of traditional Chinese medicine and therapeutic relevance. J Chem Inf Model 47:2316–2334

    Article  CAS  Google Scholar 

  • Ferrières L, Hancock V, Klemm P (2007) Biofilm exclusion of uropathogenic bacteria by selected asymptomatic bacteriuria Escherichia coli strains. Microbiology 153:1711–1719

    Article  Google Scholar 

  • Frees D, Chastanet A, Qazi S, Sorensen K, Hill P, Msadek T, Ingmer H (2004) Clp ATPases are required for stress tolerance, intracellular replication and biofilm formation in Staphylococcus aureus. Mol Microbiol 54:1445–1462

    Article  CAS  Google Scholar 

  • Fylaktakidou KC, Hadjipavlou-Litina DJ, Litinas KE, Nicolaides DN (2004) Natural and synthetic coumarin derivatives with anti-inflammatory/antioxidant activities. Curr Pharm Des 10:3813–3833

    Article  CAS  Google Scholar 

  • Hamilton-Miller JMT (1995) Antimicrobial properties of tea (Camellia sinensis L.). Antimicrob Agents Chemother 39:2375–2377

    CAS  Google Scholar 

  • Hausen BM, Schmieder M (1986) The sensitizing capacity of coumarins (I). Contact Dermatitis 15:157–163

    Article  CAS  Google Scholar 

  • Heydorn A, Nielsen AT, Hentzer M, Sternberg C, Givskov M, Ersboll BK, Molin S (2000) Quantification of biofilm structures by the novel computer program COMSTAT. Microbiology 146:2395–2407

    CAS  Google Scholar 

  • Ishige K, Schubert D, Sagara Y (2001) Flavonoids protect neuronal cells from oxidative stress by three distinct mechanisms. Free Radic Biol Med 30:433–446

    Article  CAS  Google Scholar 

  • Jones SM, Morgan M, Humphrey TJ, Lappin-Scott H (2001) Effect of vancomycin and rifampicin on methicillin-resistant Staphylococcus aureus biofilms. Lancet 357:40–41

    Article  CAS  Google Scholar 

  • Kawai M, Hirano T, Higa S, Arimitsu J, Maruta M, Kuwahara Y, Ohkawara T, Hagihara K, Yamadori T, Shima Y, Ogata A, Kawase I, Tanaka T (2007) Flavonoids and related compounds as anti-allergic substances. Allergol Int 56:113–123

    Article  CAS  Google Scholar 

  • Kim SH, Kang KA, Zhang R, Piao MJ, Ko DO, Wang ZH, Chae SW, Kang SS, Lee KH, Kang HK, Kang HW, Hyun JW (2008) Protective effect of esculetin against oxidative stress-induced cell damage via scavenging reactive oxygen species. Acta Pharmacol Sin 29:1319–1326

    Article  CAS  Google Scholar 

  • Klemm P, Hancock V, Kvist M, Schembri M (2007) Candidate targets for new antivirulence drugs: selected cases of bacterial adhesion and biofilm formation. Future Microbiol 2:643–653

    Article  CAS  Google Scholar 

  • Lewis K (2001) Riddle of biofilm resistance. Antimicrob Agents Chemother 45:999–1007

    Article  CAS  Google Scholar 

  • Li M, Ni N, Chou HT, Lu CD, Tai PC, Wang B (2008) Structure-based discovery and experimental verification of novel AI-2 quorum sensing inhibitors against Vibrio harveyi. ChemMedChem 3:1242–1249

    Article  CAS  Google Scholar 

  • Martin-Aragon S, Benedi JM, Villar AM (1998) Effects of the antioxidant (6, 7-dihydroxycoumarin) esculetin on the glutathione system and lipid peroxidation in mice. Gerontology 44:21–25

    Article  CAS  Google Scholar 

  • Melchior MB, Vaarkamp H, Fink-Gremmels J (2006) Biofilms: a role in recurrent mastitis infections? Vet J 171:398–407

    Article  CAS  Google Scholar 

  • National Committee for Clinical Laboratory Standards (1997) Methods for dilution antimicrobial susceptility tests for bacteria that grow aerobically, 4th edn. NCCLS document M7-A4. National Committeefor Clinical Laboratory Standards, Wayne, PA

    Google Scholar 

  • Otto M (2008) Staphylococcal biofilms. Curr Top Microbiol Immunol 322:207–228

    Article  CAS  Google Scholar 

  • Qin Z, Zhang J, Xu B, Chen L, Wu Y, Yang X, Shen X, Molin S, Danchin A, Jiang H, Qu D (2006) Structure-based discovery of inhibitors of the YycG histidine kinase: new chemical leads to combat Staphylococcus epidermidis infections. BMC Microbiol 6:96

    Article  Google Scholar 

  • Sagara Y, Vanhnasy J, Maher P (2004) Induction of PC12 cell differentiation by flavonoids is dependent upon extracellular signal-regulated kinase activation. J Neurochem 90:1144–1155

    Article  CAS  Google Scholar 

  • Shen J, Xu X, Cheng F, Liu H, Luo X, Shen J, Chen K, Zhao W, Shen X, Jiang H (2003) Virtual screening on natural products for discovering active compounds and target information. Curr Med Chem 10:2327–2342

    Article  CAS  Google Scholar 

  • Silván A, Abad M, Bermejo P, Sollhuber M, Villar A (1996) Antiinflammatory activity of coumarins from Santolina oblongifolia. J Nat Prod 59:1183–1185

    Article  Google Scholar 

  • Speziale P, Visai L, Rindi S, Pietrocola G, Provenza G, Provenzano M (2008) Prevention and treatment of Staphylococcus biofilms. Curr Med Chem 15:3185–3195

    Article  CAS  Google Scholar 

  • Stagg GV, Millin DJ (1975) The nutritional and therapeutic value of tea—a review. J Sci Food Agric 26:1439–1459

    Article  CAS  Google Scholar 

  • Syed DN, Suh Y, Afaq F, Mukhtar H (2008) Dietary agents for chemoprevention of prostate cancer. Cancer Lett 265:167–176

    Article  CAS  Google Scholar 

  • Tanimoto T (1957) IBM internal report. Technical report, IBM

    Google Scholar 

  • Warren JW (2001) Catheter-associated urinary tract infections. Int J Antimicrob Agents 17:299–303

    Article  CAS  Google Scholar 

  • Yam TS, Shah S, Hamilton-Miller JMT (1997) Microbiological activity of whole and fractionated crude extracts of tea (Camellia sinensis), and of tea components. FEMS Microbiol Lett 152:169–174

    Article  CAS  Google Scholar 

  • Zeng Z, Qian L, Cao L, Tan H, Huang Y, Xue X, Shen Y, Zhou S (2008) Virtual screening for novel quorum sensing inhibitors to eradicate biofilm formation of Pseudomonas aeruginosa. Appl Microbiol Biotechnol 79:119–126

    Article  CAS  Google Scholar 

Download references

Acknowledgements

We thank Birthe Jul Jørgensen for expert technical assistance and Olivier Taboureau for fruitful discussions and critical comments. This work was supported by grants from the Danish Medical Research Council (Grant 271-07-0291), the Danish Research Council for Technology and Production Sciences (Grant 274-06-0301), and Lundbeckfonden (Grant R19-A2191).

Author information

Affiliations

Authors

Corresponding author

Correspondence to Per Klemm.

Electronic supplementary materials

Below is the link to the electronic supplementary material.

Fig. S1
figure 5

1st-generation hits from CNPD with a higher than 90% similarity to query natural compound ellagic acid (Tanimoto coefficient ≥0.9).CAS registry numbers in brackets [] correspond to hits with chemical structures that are close analogs to the structure depicted. (GIF 263 kb)

Fig. S2
figure 6

2nd-generation hits from CNPD with a higher than 90% similarity to query natural compound esculetin (Tanimoto coefficient ≥0.9). CAS registry numbers in brackets [] correspond to chemical structures that are close analogs to the structure depicted. (When more than two analog compounds are found, their CAS registry numbers are given as footnote.) (GIF 296 kb)

High-resolution image (EPS 1621 kb)

High-resolution image (EPS 1564 kb)

Rights and permissions

Reprints and Permissions

About this article

Cite this article

Dürig, A., Kouskoumvekaki, I., Vejborg, R.M. et al. Chemoinformatics-assisted development of new anti-biofilm compounds. Appl Microbiol Biotechnol 87, 309–317 (2010). https://doi.org/10.1007/s00253-010-2471-0

Download citation

  • Received:

  • Revised:

  • Accepted:

  • Published:

  • Issue Date:

  • DOI: https://doi.org/10.1007/s00253-010-2471-0

Keywords

  • Anti-biofilm drugs
  • Bacterial biofilms
  • Chemoinformatics
  • Dietary plant components
  • Staphylococcus aureus
  • Streptococcus dysgalactiae