Skip to main content

Corn fiber hydrolysis by Thermobifida fusca extracellular enzymes

Abstract.

Thermobifida fusca was grown on cellulose (Solka-Floc), xylan or corn fiber and the supernatant extracellular enzymes were concentrated. SDS gels showed markedly different protein patterns for the three different carbon sources. Activity assays on a variety of synthetic and natural substrates showed major differences in the concentrated extracellular enzyme activities. These crude enzyme preparations were used to hydrolyze corn fiber, a low-value biomass byproduct of the wet milling of corn. Approximately 180 mg of reducing sugar were produced per gram of untreated corn fiber. When corn fiber was pretreated with alkaline hydrogen peroxide, up to 429 mg of reducing sugars were released per gram of corn fiber. Saccharification was enhanced by the addition of β-glucosidase or by the addition of a crude xylanase preparation from Aureobasidium sp.

This is a preview of subscription content, access via your institution.

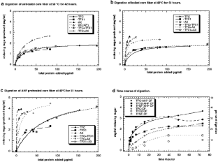
Fig. 1a, b.
Fig. 2.
Fig. 3.
Fig. 4.

References

  • Bernier R, Stutzenberger F (1988) Extracellular and cell-associated forms of beta-glucosidase in Thermomonospora curvata. Lett Appl Microbiol 7:103–107

    CAS  Google Scholar 

  • Bonner MA, Stutzenberger F (1988) Cell surface changes in Thermomonospora curvata during cellulase induction and repression. Lett Appl Microbiol 6:59–62

    CAS  Google Scholar 

  • Bradford M (1976) A rapid and sensitive method for the quantitation of microgram quantities of protein utilizing the principle of protein–dye binding. Anal Biochem 72:248–252

    Article  CAS  PubMed  Google Scholar 

  • Busch JE, Stutzenberger FJ (1997) Repression and inactivation of alpha-amylase in Thermomonospora species during growth on cellulose. Microbiology 143:2021–2026

    CAS  Google Scholar 

  • Chirico WJ, Brown RD (1985) Separation of [1-3H] cellulooligosaccharides by thin-layer chromatography: assay for cellulolytic enzymes. Anal Biochem 150:264–272

    CAS  PubMed  Google Scholar 

  • Ferchak JD, Hägerdal B, Pye EK (1980) Saccharification of cellulose by the cellulolytic enzyme system of Thermomonospora sp. II. Hydrolysis of cellulosic substrates. Biotechnol Bioeng 22:1527–1542

    CAS  Google Scholar 

  • Ghose TK (1987) Measurement of cellulase activities. Pure Appl Chem 59:257–268

    CAS  Google Scholar 

  • Gould JM (1984) Alkaline peroxide delignification of agricultural residues to enhance enzymatic saccharification. Biotechnol Bioeng 26:46–52

    CAS  Google Scholar 

  • Gulati M, Kohlmann K, Ladisch MR, Hespell R, Bothast RJ (1996) Assessment of ethanol production options for corn products. Bioresour Technol 58:253–264

    Article  CAS  Google Scholar 

  • Hägerdahl BGR, Ferchak JD, Pye EK (1978) Cellulolytic enzyme system of Thermomonospora sp. grown on microcrystalline cellulose. Appl Environ Microbiol 36:606–612

    Google Scholar 

  • Hespell RB (1998) Extraction and characterization of hemicellulose from the corn fiber produced by corn wet-milling processes. J Agric Food Chem 46:2615–2619

    Article  CAS  Google Scholar 

  • Hespell RB, O'Bryan PJ, Moniruzzaman M, Bothast RJ (1997) Hydrolysis by commercial enzyme mixtures of AFEX-treated corn fiber and isolated xylans. Appl Biochem Biotechnol 62:87–97

    CAS  Google Scholar 

  • Hostalka F, Moultrie A, Stutzenberger F (1992) Influence of carbon source on cell surface topology of Thermomonospora curvata. J Bacteriol 174:7048–7052

    CAS  PubMed  Google Scholar 

  • Irwin D, Walker L, Spezio M, Wilson D (1993) Activity studies of eight purified cellulases: specificity, synergism, and binding domain effects. Biotechnol Bioeng 42:1002–1013

    CAS  Google Scholar 

  • Irwin D, Jung E, Wilson DB (1994) Characterization and sequence of a Thermomonospora fusca xylanase. Appl Environ Microbiol 60:763–770

    CAS  PubMed  Google Scholar 

  • Irwin DC, Zhang S, Wilson DB (2000) Cloning, expression and characterization of a family 48 exocellulase, Cel48A, from Thermobifida fusca. Eur J Biochem 267:4988–4997

    Article  CAS  PubMed  Google Scholar 

  • Jung ED, Lao G, Irwin D, Barr BK, Benjamin A, Wilson DB (1993) DNA sequences and expression in Streptomyces lividans of an exoglucanase gene and an endoglucanase gene from Thermomonospora fusca. Appl Environ Microbiol 59:3032–3043

    CAS  PubMed  Google Scholar 

  • Kukolya J, Szabó L, Hornok L (2001) Surface structures of new and lesser known species of Thermobifida as revealed by scanning electron microscopy. Acta Biol Hung 52:211–221

    CAS  PubMed  Google Scholar 

  • Leathers TD (1998) Upgrading fuel ethanol coproducts. Soc Ind Microbiol News 48:210–217

    Google Scholar 

  • Leathers TD, Gupta SC (1996) Saccharification of corn fiber using enzymes from Aureobasidium sp. strain NRRL Y-2311-1. Appl Biochem Biotechnol 59:337–347

    CAS  Google Scholar 

  • Lowry OH, Rosebrough NJ, Farr AL, Randall RJ (1951) Protein measurement with the Folin phenol reagent. J Biol Chem 193:265–275

    CAS  Google Scholar 

  • May JB (1987) Wet milling: process and products. In: Ramstad PE (ed) Corn: chemistry and technology. American Association of Cereal Chemists, St. Paul, Minn., pp 377–397

    Google Scholar 

  • Saulnier L, Marot C, Chanliaud E, Thibault JF (1995) Cell wall polysaccharide interactions in maize bran. Carbohydr Polym 26:279–287

    Article  CAS  Google Scholar 

  • Shoemaker SP, Raymond JC, Bruner R (1981) Cellulases: diversity amongst improved Trichoderma strains. In: Hollander A (ed) Trends in the biology of fermentations for fuels and chemicals. Plenum, New York, pp 89–109

  • Spiridonov NA, Wilson DB (1999) Characterization and cloning of CelR, a transcriptional regulator of cellulase genes from Thermomonospora fusca. J Biol Chem 274:13127–13132

    Article  CAS  Google Scholar 

  • Spiridonov NA, Wilson DB (2001) Cloning and biochemical characterization of BglC, a beta-glucosidase from the cellulolytic actinomycete Thermobifida fusca. Curr Microbiol 42:295–301

    Article  CAS  Google Scholar 

  • Stutzenberger FJ (1991) Cellulose degradation by thermophilic aerobic bacteria. In: Weimer PJ (ed) Biosynthesis and biodegradation of cellulose. Dekker, New York, pp 445–490

Download references

Acknowledgements.

This work was conducted under Specific Cooperative Agreement 58-3620-9-117 between Cornell University and the Agricultural Research Service of the United States Department of Agriculture (USDA). The authors are grateful for the expert technical contributions of Melinda S. Nunnally and Mark Cheng. Product names are necessary to report factually on available data. However, the USDA neither guarantees nor warrants the standard of the product; and the use of the name by USDA implies no approval of the product to the exclusion of others that may also be suitable.

Author information

Affiliations

Authors

Corresponding author

Correspondence to D. B. Wilson.

Rights and permissions

Reprints and Permissions

About this article

Cite this article

Irwin, D., Leathers, T.D., Greene, R.V. et al. Corn fiber hydrolysis by Thermobifida fusca extracellular enzymes. Appl Microbiol Biotechnol 61, 352–358 (2003). https://doi.org/10.1007/s00253-002-1210-6

Download citation

  • Received:

  • Revised:

  • Accepted:

  • Published:

  • Issue Date:

  • DOI: https://doi.org/10.1007/s00253-002-1210-6

Keywords

  • Cellulase
  • Cellobiose
  • Fusca
  • Corn Fiber
  • Total Reduce Sugar