Skip to main content

Global metabolic regulation analysis for Escherichia coli K12 based on protein expression by 2-dimensional electrophoresis and enzyme activity measurement

Abstract

Regulation of the main metabolic pathways of Escherichia coli K12 was investigated based on 2-dimensional electrophoresis (2DE) and the measurement of enzyme activities. The cells were grown aerobically in different carbon sources, such as glucose, acetate, gluconate or glycerol. Microaerobic cultivation was also conducted with glucose as a carbon source. Fifty-two proteins could be identified based on 2DE, and 26 enzyme activities from the main metabolic pathways—including glycolysis, pentose phosphate pathway, TCA cycle, Entner-Doudoroff pathway and fermentative pathway—were assayed. These enzyme activities, together with global and quantitative protein expression, gave us a clear picture of metabolic regulation. The results show that, compared with the control experiment with glucose as a carbon source under aerobic conditions, glycolytic enzymes were slightly up-regulated (<2-fold), TCA cycle enzymes were significantly down-regulated (2- to 10-fold), and fermentative enzymes such as pfl and adhE were highly up-regulated (>10-fold) under microaerobic conditions in glucose medium. When acetate was used as a carbon source, pfkA, pykF, ppc and zwf were down-regulated, while fbp, pckA, ppsA and mez were significantly up-regulated. Glyoxylate enzymes such as aceA and aceB were strongly up-regulated (>10-fold) and TCA-cycle-related enzymes were also up-regulated to some extent. With gluconate as a carbon source, edd, eda, fbp and TCA cycle enzymes were up-regulated. With glycerol as a carbon source, fbp and TCA cycle enzymes were up-regulated, while ackA was significantly down-regulated. Protein abundance obtained by 2DE correlated well with enzyme activity, with a few exceptions (e.g., isocitrate dehydrogenase), during aerobic growth on acetate.

This is a preview of subscription content, access via your institution.

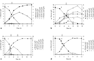
Fig. 1a–d.
Fig. 2.
Fig. 3a–d.
Fig. 4.

References

  • Alexeeva S, Kort B, Sawers G, Hellingwerf KJ (2000) Effect of limited aeration and of the arcAB system on intermediary pyruvate catabolism in Escherichia coli. J Bacteriol 182:4934–4940

    Article  CAS  PubMed  Google Scholar 

  • Amarasingham CR, Davis BD (1965) Regulation of α-ketoglutarate dehydrogenase formation in Escherichia coli. J Biol Chem 240:3664–3667

    CAS  PubMed  Google Scholar 

  • Anderson NL, Anderson NG (1998) Proteome and proteomics: new technologies, new concepts, and new words. Electrophoresis 19:1853–1861

    CAS  PubMed  Google Scholar 

  • Bock A, Sawers G (1999) Fermentation. In: Neidhardt FC et al (eds) Escherichia coli and Salmonella: cellular and molecular biology, 2nd edn. AMS Press, Washington D.C.

  • Campos G, Guixe V, Babul J (1984) Kinetic mechanism of phosphofructokinase-2 from Escherichia coli. A mutant enzyme with a different mechanism. J Biol Chem 259:6147–6152

    CAS  PubMed  Google Scholar 

  • Canonaco F, Hess TA, Heri S, Wang TT (2001) Metabolic flux response to phosphoglucose isomerase knock-out in Escherichia coli and impact of overexpression of the soluble transhydrogenase UdhA. FEMS Microbiol Lett 204:247–252

    Article  CAS  PubMed  Google Scholar 

  • Chung T, Klumpp DJ, LaPorte DC (1988) Glyoxylate bypass operon of Escherichia coli: cloning and determination. J Bacteriol 170:386–392

    CAS  PubMed  Google Scholar 

  • Conway T (1992) The Entner-Doudoroff pathway: history, physiology, and molecular biology. FEMS Microbiol Rev 103:1–27

    CAS  Google Scholar 

  • Cronan JE Jr, LaPorte D (1999) Tricarboxylic acid cycle and glyoxylate bypass. In: Neidhardt FC et al (eds) Escherichia coli and Salmonella: cellular and molecular biology, 2nd edn. AMS Press, Washington D.C., pp 343–357

  • Epstein W, Rothman-Denes L, Hesse J (1975) Adenosine 3′:5′-cyclic monophosphate as mediator of catabolite repression in Escherichia coli. Proc Natl Acad Sci USA 72:2300–2304

    CAS  PubMed  Google Scholar 

  • Esienberg RC, Dobrogosz WJ (1967) Gluconate metabolism in Escherichia coli. J Bacteriol 93:941–949

    PubMed  Google Scholar 

  • Fox DK, Presper KA, Adhya S, Roseman S, Ganges S (1992) Evidence for two promoters upstream of the pts operon: regulation by the cAMP receptor protein regulatory complex. Proc Natl Acad Sci USA 89:7056–7059

    CAS  PubMed  Google Scholar 

  • Gancedo JA, Gancedo C (1971) Fructose-1, 6-diphosphatase, phosphofructokinase and glucose-6-phosphate dehydrogenase from fermenting and non fermenting yeasts. Arch Microbiol 76:132–138

    CAS  Google Scholar 

  • Guixe V, Babul J (1985) Effect of ATP on fructokinase-2 from Escherichia coli. A mutant enzyme altered in the allosteric site for MqATP2−. J Biol Chem 260:1101–1106

    Google Scholar 

  • Gunsalus RP, Park SJ (1996) Aerobic-anaerobic gene regulation in Escherichia coli: control by arcAB and fnr regulons. Forum Microbiol 12:437–450

    Google Scholar 

  • Gygi SP, Corthals GL, Zhang Y, Rochon Y, Aebersold R (2000a) Evaluation of two-dimensional gel electrophoresis-based proteome analysis technology. Proc Natl Acad Sci USA 97:9390–9395

    CAS  PubMed  Google Scholar 

  • Gygi SP, Rist B, Aebersold R (2000b) Measuring gene expression by quantitative proteome analysis. Curr Opin Biotechnol 11:396–401

    Article  CAS  PubMed  Google Scholar 

  • Holms WH (1988) Control of flux through the citrate acid cycle and the glyoxylate bypass in Escherichia coli. Biochem Soc Symp 54:17–31

    Google Scholar 

  • Kiley PJ, Beinert H (1999) Oxygen sensing by the global regulator, FNR: the role of the iron-sulfur cluster. FEMS Microbiol Rev 22:341–352

    Article  Google Scholar 

  • Lamed R, Zeikus JG (1980) Glucose fermentation pathway of Thermonaerobium brockii. J Bacteriol 141:1251–1257

    CAS  PubMed  Google Scholar 

  • Lessie TG, Whiteley HR (1969) Properties of threonine deaminase from a bacterium able to utilize threonine as sole source of carbon. J Bacteriol 100:878–889

    CAS  PubMed  Google Scholar 

  • Lowry OH, Carter J, Ward JB, Glaser L (1971) The effect of carbon and nitrogen source on the level of metabolite intermediates in Escherichia coli. J Biol Chem 246:6511–6521

    CAS  PubMed  Google Scholar 

  • Martin BR (1987) The regulation of enzyme activity. In: Martin BR (ed) Metabolic regulation, a molecular approach. Blackwell Scientific, Oxford, pp 12–27

  • Mat-Jan F, Alam KY, Clark DP (1989) Mutants of Escherichia coli deficient in the fermentative lactate dehydrogenase. J Bacteriol 171:342–348

    CAS  PubMed  Google Scholar 

  • McCleary WR, Stock JB (1994) Acetyl phosphate and the activation of two-component response regulators. J Biol Chem 269:31567–31572

    CAS  PubMed  Google Scholar 

  • O'Farrell PH (1975) High-resolution two-dimensional electrophoresis of proteins. J Biol Chem 250:4007–4021

    PubMed  Google Scholar 

  • Oh MK, Liao JC (2000) Gene expression profiling by DNA microarray and metabolic fluxes in Escherichia coli. Biotechnol Prog 16:278–286

    Article  CAS  PubMed  Google Scholar 

  • Oh MK, Rohlin L, Kao K, Liao JC (2002) Global expression profiling of acetate-grown E. coli. J Biol Chem 277:13175–13183

    Article  CAS  PubMed  Google Scholar 

  • Park SJ, Gunsalus RP (1995) Oxygen, iron, carbon, and superoxide control of the fumarase fumA and fumC genes of Escherichia coli: role of the arcA, fnr, and soxR gene products. J Bacteriol 177:6255–6262

    CAS  PubMed  Google Scholar 

  • Park SJ, McCabe J, Turna J, Gunsalus RP (1994) Regulation of citrate synthase (gltA) gene of Escherichia coli in response to anaerobic and carbon supply. J Bacteriol 176:5086–5092

    CAS  PubMed  Google Scholar 

  • Park SJ, Cotter PA, Gunsalus RP (1995a) Regulation of malate dehydrogenase (mdh) gene expression in Escherichia coli in response to oxygen, carbon, and heme availability. J Bacteriol 177:6652–6656

    CAS  PubMed  Google Scholar 

  • Park SJ, Tseng CP, Gunsalus RP (1995b) Regulation of succinate dehydrogenase (sdhCDAB) operon expression in Escherichia coli in response to carbon supply and anaerobiosis: role of ArcA and Fnr. Mol Microbiol 15:473–482

    Article  CAS  PubMed  Google Scholar 

  • Parvin R (1969) Citrate synthase from rat liver. In: Lowenstein JM (ed) Methods in enzymology, vol 13. pp 16–19

  • Pease AJ, Wolf RE Jr (1994) Determination of the growth rate-regulated steps in expression of the Escherichia coli K-12 gnd gene. J Bacteriol 176:115–122

    CAS  PubMed  Google Scholar 

  • Plaut GWE (1969) Isocitrate dehydrogenase. In: Lowenstein JM (ed) Methods in enzymology, vol 13. pp 34–41

  • Plumbridge J (1999) Expression of the phosphotransferase system both mediates and is mediated by Mlc regulation in Escherichia coli. Mol Microbiol 33:260–273

    CAS  PubMed  Google Scholar 

  • Ramseier TM, Bledig S, Michotey V, Feghali R, Saier MH Jr (1995) The global regulatory protein fruR modulating the direction of carbon flow in Escherichia coli. Mol Microbiol 16:1157–1169

    CAS  PubMed  Google Scholar 

  • Reed LJ, Mukherjee BB (1969) α-Ketoglutarate dehydrogenase. In: Lowenstein JM (ed) Methods in enzymology, vol 13. pp 55–61

  • Reuse HD, Danchin A (1988) The ptsH, ptsI, and crr genes of the Escherichia coli phosphoenolpyruvate-dependent phosphotransferase system: a complex operon with several modes of transcription. J Bacteriol 170:3827–3837

    PubMed  Google Scholar 

  • Saier MH, Ramseier TM (1996) The catabolite repressor/activator (cra) protein of enteric bacteria. J Bacteriol 178:3411–3417

    CAS  PubMed  Google Scholar 

  • Salas M, Vinuela E, Sols A (1965) Spontaneous and enzymatically catalyzed anomerization of glucose-6-phosphate and anomeric specificity of related enzymes. J Biol Chem 240:561–568

    CAS  Google Scholar 

  • Samuelov NS, Lamed R, Lowe S, Zeikus JG (1991) Influence of CO2-HCO3 levels and pH on growth, succinate production, and enzyme activities of Anaerobiospirillum succiniciproducens. Appl Environ Microbiol 57:3013–3019

    CAS  Google Scholar 

  • Sawers G, Suppmann B (1992) Anaerobic induction of pyruvate formate-lyase gene expression is mediated by the arcA and fnr protein. J Bacteriol 174:3474–3478

    CAS  PubMed  Google Scholar 

  • Sridhar J, Eiteman M, Wiegel JW (2000) Elucidation of enzymes in fermentation pathways used by Clostridium thermosuccino genes growing on inulin. J Environ Microbiol 66:246–251

    CAS  Google Scholar 

  • Sugimoto S, Shiio I (1987) Regulation of 6-phosphogluconate dehydrogenase in Brevibacterium flavum. Agric Biol Chem 51:1257–1263

    CAS  Google Scholar 

  • Tseng CP, Yu CC, Lin HH, Chang CY, Kuo JT (2001) Oxygen-and growth rate-dependent regulation of Escherichia coli fumarase (fumA, fumB, and fumC) activity. J Bacteriol 183:461–467

    Article  CAS  PubMed  Google Scholar 

  • Unden G, Duchene A (1987) On the role of cyclic AMP and fnr protein in Escherichia coli growing anaerobically. Arch Microbiol 147:195–200

    CAS  PubMed  Google Scholar 

  • Van der Werf MJ, Guettle MV, Jain MK, Zeikus JG (1997) Environmental and physiological factors affecting the succinate product ratio during carbohydrate fermentation by Actinobacillus sp. 130Z. Arch Microbiol 167:332–342

    PubMed  Google Scholar 

  • Wanner BL, Wilmes-Riesenberg MR (1992) Involvement of phosphotransacetylase, acetate kinase, and acetyl phosphate synthesis in control of the phosphate regulon in Escherichia coli. J Bacteriol 174:2124–2130

    CAS  PubMed  Google Scholar 

  • Wolf RE Jr, Prather DM, Shea FM (1979) Growth-rate-dependent alteration of 6-phosphogluconate dehydrogenase and glucose 6-phosphate dehydrogenase levels in Escherichia coli K-12. J Bacteriol 139:1093–1096

    CAS  PubMed  Google Scholar 

  • Yang C, Hua Q, Shimizu K (2002a) Integration of the information from gene expression and metabolic fluxes for the analysis of the regulatory mechanism in Synechocystis. Appl Microbiol Biotechnol 58:813–822

    CAS  PubMed  Google Scholar 

  • Yang C, Hua Q, Shimizu K (2002b) Quantitative analysis of intracellular metabolic fluxes using GC-MS and two-dimensional NMR spectroscopy. J Biosci Bioeng 93:78–87

    Article  CAS  Google Scholar 

  • Zhao J, Shimizu K (2002) Metabolic flux analysis of Escherichia coli K12 grown on 13C-labeled acetate and glucose using GC-MS and powerful flux calculation method. J Biotechnol (in press)

Download references

Acknowledgement

It is acknowledged that the research was supported in part by a grant from New Energy and Industrial Technology Development Organization (NEDO) of the Ministry of Economy, Trade and Industry of Japan (Development of Technological Infrastructure for Industrial Bioprocess Project).

Author information

Affiliations

Authors

Corresponding author

Correspondence to K. Shimizu.

Rights and permissions

Reprints and Permissions

About this article

Cite this article

Peng, L., Shimizu, K. Global metabolic regulation analysis for Escherichia coli K12 based on protein expression by 2-dimensional electrophoresis and enzyme activity measurement. Appl Microbiol Biotechnol 61, 163–178 (2003). https://doi.org/10.1007/s00253-002-1202-6

Download citation

  • Received:

  • Revised:

  • Accepted:

  • Published:

  • Issue Date:

  • DOI: https://doi.org/10.1007/s00253-002-1202-6

Keywords

  • Protein Expression Level
  • Gluconate
  • Glucose Medium
  • Triose Phosphate Isomerase
  • Microaerobic Condition