Skip to main content

Kinetics of stearic acid transfer between human serum albumin and sterically stabilized liposomes

Abstract

The kinetics of the transfer of stearic acids between human serum albumin (HSA) and long circulating sterically stabilised liposomes (SSL) composed of dipalmitoylphosphatidylcholine (DPPC) and of submicellar content of the polymer-lipid poly(ethylene glycol:2000)-dipalmitoylphosphatidylethanolamine (PEG:2000-DPPE) have been studied by fluorescence spectroscopy. The study exploits the fact that HSA has a single tryptophan (Trp) residue and that the intrinsic Trp-emission intensity is quenched by the presence of doxyl spin-labelled stearic acids (SASL). Protein/lipid dispersions are considered in which SASL molecules are inserted either in the protein or in the SSL, and the transfer of SASL between the protein and SSL is conveniently monitored by the time variation of the inherent Trp-fluorescence intensity of HSA. It was found that the transfer of fatty acids between HSA and SSL depends on the type of donor and acceptor matrix, on the temperature (i.e., on the physical state of the lipid bilayers) and on the grafting density of the PEG-lipids at the lipid/protein interface. In the absence of polymer-lipids, the rate of transfer increases with temperature in both directions of transfer, and it is higher for the passage from DPPC bilayers to HSA. The presence of polymer-lipids reduces the rate of transfer both in the mushroom and in the brush regime of the polymer chains, especially at low grafting density and for lipid membranes in the fluid phase.

This is a preview of subscription content, access via your institution.

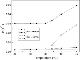
Fig. 1
Fig. 2
Fig. 3
Fig. 4

References

  • Abreu MSC, Estronca LMBB, Moreno MJ, Vaz WLC (2003) Binding of a fluorescent lipid amphiphile to albumin and its transfer to lipid bilayer membranes. Biophys J 84:386–399

    Article  CAS  PubMed  Google Scholar 

  • Bartucci R, Pantusa M, Marsh D, Sportelli L (2002) Interaction of human serum albumin with membranes containing polymer-grafted lipids: spin label ESR studies in the mushroom and brush regimes. Biochim Biophys Acta 1564:237–242

    Article  CAS  PubMed  Google Scholar 

  • Brecher P, Saouaf R, Sugarman JM, Eisenberg D, LaRosa K (1984) Fatty acid transfer between multilamellar liposomes and fatty acid-binding proteins. J Biol Chem 259:13401–13995

    Google Scholar 

  • Carley AN, Kleinfeld AM (2009) Flip-flop is the rate-limiting step for transport of free fatty acids across lipid vesicle membranes. Biochemistry 48:10437–10445

    Article  CAS  PubMed  Google Scholar 

  • Curry S, Brick P, Franks NP (1999) Fatty acid binding to human serum albumin: new insights from crystallographic studies. Biochim Biophys Acta 1441:131–140

    CAS  PubMed  Google Scholar 

  • Daniels C, Noy N, Zakim D (1985) Rates of hydration of fatty acids bound to unilamellar vesicles of phosphatidylcholine or to albumin. Biochemistry 24:3286–3292

    Article  CAS  PubMed  Google Scholar 

  • Efremova NV, Bondurant B, O’Brien DF, Leckband DE (2000) Measurements of interbilayer forces and protein adsorption on uncharged lipid bilayers displaying poly(ethylene glycol) chains. Biochemistry 39:3441–3451

    Article  CAS  PubMed  Google Scholar 

  • Estronca LMBB, Moreno MJ, Laranjinha JAN, Almeida LM, Vaz WLC (2005) Kinetics and thermodynamics of lipid amphiphile exchange between lipoproteins and albumin in serum. Biophys J 88:557–565

    Article  CAS  PubMed  Google Scholar 

  • Falomir-Lockhart LJ, Laborde L, Kahn PC, Storch J, Corsico B (2006) Protein-membrane interaction and fatty acid transfer from intestinal fatty acid-binding protein to membranes. J. Biol. Chem 281:13979–13989

    Article  CAS  PubMed  Google Scholar 

  • Falomir-Lockhart LJ, Burgardt NI, Ferreyra RG, Ceolin M, Ermàcora MR, Corsico B (2009) Fatty acid transfer from yarrowia lipolytica sterol carrier protein 2 to phospholipids membranes. Biophys J 97:248–256

    Article  PubMed  Google Scholar 

  • Glatz JFC, van der Vusse GJ (1996) Cellular fatty acid-binding proteins: their function and physiological significance. Prog Lipid Res 35:243–282

    Article  CAS  PubMed  Google Scholar 

  • Hamilton JA (1998) Fatty acid transport: difficult or easy? J Lipid Research 39:467–481

    CAS  Google Scholar 

  • Hamilton JA, Cistola DP, Morriset JD, Sparrow JT, Small DM (1984) Interaction of myristic acid with bovine serum albumin: a 13C NMR study. Proc Natl Acad Sci USA 81:3718–3722

    Article  CAS  PubMed  Google Scholar 

  • Lasic DD (1993) Liposomes: from physics to applications. Elsevier, Amsterdam

    Google Scholar 

  • Lasic DD, Martin F (1995) Stealth liposomes. CRC Press, Boca Raton

    Google Scholar 

  • Marsh D, Bartucci R, Sportelli L (2003) Lipid membranes with grafted polymers: physicochemical aspects. Biochim Biophys Acta 1615:33–59

    Article  CAS  PubMed  Google Scholar 

  • Massey JB, Bick DH, Pownall HJ (1997) Spontaneous transfer of monoacyl amphiphiles between lipid and protein surfaces. Biophys J 72:1732–1743

    Article  CAS  PubMed  Google Scholar 

  • Montesano G, Bartucci R, Belsito S, Marsh D, Sportelli L (2001) Lipid membrane expansion and micelle formation by polymer-grafted lipids: scaling with polymer length studied by spin-label electron spin resonance. Biophys J 80:1372–1383

    Article  CAS  PubMed  Google Scholar 

  • Nichols JW (1988) Kinetics of fluorescent-labeled phosphatidylcholine transfer between nonspecific lipid transfer protein and phospholipid vesicles. Biochemistry 27:1889–1896

    Article  CAS  PubMed  Google Scholar 

  • Pantusa M, Bartucci R, Marsh D, Sportelli L (2003) Shifts in chain-melting transition temperature of liposomal membranes by polymer-grafted lipids. Biochim Biophys Acta 1614:165–170

    Article  CAS  PubMed  Google Scholar 

  • Pantusa M, Sportelli L, Bartucci R (2005) Transfer of stearic acids from albumin to polymer-grafted lipid containing membranes probed by spin-label electron spin resonance. Biophys Chem 114:121–127

    Article  CAS  PubMed  Google Scholar 

  • Pantusa M, Stirpe A, Sportelli L, Bartucci R (2009) Spontaneous transfer of stearic acids between human serum albumin and PEG:2000-grafted DPPC membranes. Eur Biohys J. doi:10.1007/s00249-009-0442-0

  • Peters T (1997) All about albumin: biochemistry, genetics and medical applications. Academic Press, San Diego

    Google Scholar 

  • Pownall HJ (2001) Cellular transport of nonesterified fatty acids. J Mol Neurosci 16:109–115

    Article  CAS  PubMed  Google Scholar 

  • Spector AA, Fletcher JE (1978) Transport of fatty acids in the circulation. In: Dietschy JM, Gotto AM, Ontko JA (eds) Disturbances in lipid and lipoprotein metabolism. Am Physiol Soc, Bethesda, pp 229–249

    Google Scholar 

  • Storch J, Kleinfeld AM (1986) Transfer of long-chain fluorescent free fatty acids between unilamellar vesicles. Biochemistry 25:1717–1726

    Article  CAS  PubMed  Google Scholar 

  • Thomas RM, Baici A, Werder M, Schulthess G, Hauser H (2002) Kinetics and mechanism of long-chain fatty acid transport into phosphatidylcholine vesicles from various donor systems. Biochemistry 41:1591–1601

    Article  CAS  PubMed  Google Scholar 

  • Weisiger RA, Zucker SD (2002) Transfer of fatty acids between intracellular membranes: roles of soluble binding proteins, distance and time. Am J Physiol Gastrointest Liver Physiol 282:105–115

    Google Scholar 

  • Yuann JMP, Morse RPDII (1999) Determination by photoreduction of flip-flop kinetics of spin-labeled stearic acids across phospholipid bilayers. Biochim Biophys Acta 1416:135–144

    Article  CAS  PubMed  Google Scholar 

  • Zucker SD (2001) Kinetic model of protein-mediated ligand transport. Influence of soluble binding proteins on the intermembrane diffusion of a fluorescent fatty acid. Biochemistry 40:977–986

    Article  CAS  PubMed  Google Scholar 

Download references

Acknowledgments

This work was financially supported by the University of Calabria. The authors thank Prof. L. Sportelli for reading the manuscript.

Author information

Affiliations

Authors

Corresponding author

Correspondence to Rosa Bartucci.

Rights and permissions

Reprints and Permissions

About this article

Cite this article

Pantusa, M., Bartucci, R. Kinetics of stearic acid transfer between human serum albumin and sterically stabilized liposomes. Eur Biophys J 39, 1351–1357 (2010). https://doi.org/10.1007/s00249-010-0589-8

Download citation

  • Received:

  • Revised:

  • Accepted:

  • Published:

  • Issue Date:

  • DOI: https://doi.org/10.1007/s00249-010-0589-8

Keywords

  • Human serum albumin
  • DPPC
  • PEG:2000-DPPE
  • Sterically stabilised liposomes
  • Fluorescence
  • Lipid transfer