Abstract
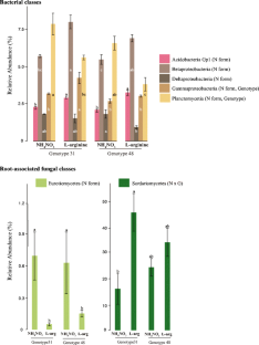
A central challenge in community ecology is understanding the role that phenotypic variation among genotypes plays in structuring host-associated communities. While recent studies have investigated the relationship between plant genotype and the composition of soil microbial communities, the effect of genotype-by-environment interactions on the plant microbiome remains unclear. In this study, we assessed the influence of tree genetics (G), nitrogen (N) form and genotype-by-environment interaction (G x N) on the composition of the root microbiome. Rhizosphere communities (bacteria and fungi) and root-associated fungi (including ectomycorrhizal and saprotrophic guilds) were characterised in two genotypes of Pinus radiata with contrasting physiological responses to exogenous organic or inorganic N supply. Genotype-specific responses to N form influenced the composition of the root microbiome. Specifically, (1) diversity and composition of rhizosphere bacterial and root-associated fungal communities differed between genotypes that had distinct responses to N form, (2) shifts in the relative abundance of individual taxa were driven by the main effects of N form or host genotype and (3) the root microbiome of the P. radiata genotype with the most divergent growth responses to organic and inorganic N was most sensitive to differences in N form. Our results show that intraspecific variation in tree response to N form has significant consequences for the root microbiome of P. radiata, demonstrating the importance of genotype-by-environment interactions in shaping host-associated communities.







Similar content being viewed by others
Explore related subjects
Discover the latest articles and news from researchers in related subjects, suggested using machine learning.References
Abdala-Roberts L, Mooney KA (2013) Environmental and plant genetic effects on tri-trophic interactions. Oikos 122(8):1157–1166. https://doi.org/10.1111/j.1600-0706.2012.00159.x
Abenavoli MR, Longo C, Lupini A, Miller AJ, Araniti F, Mercati F, Princi MP, Sunseri F (2016) Phenotyping two tomato genotypes with different nitrogen use efficiency. Plant Physiol Biochem 107:21–32. https://doi.org/10.1016/j.plaphy.2016.04.021
Abuzinadah R, Read D (1988) Amino acids as nitrogen sources for ectomycorrhizal fungi: utilization of individual amino acids. Trans Br Mycol Soc 91(3):473–479. https://doi.org/10.1016/S0007-1536(88)80124-4
Bardgett RD, Mommer L, De Vries FT (2014) Going underground: root traits as drivers of ecosystem processes. Trends Ecol Evol 29(12):692–699. https://doi.org/10.1016/j.tree.2014.10.006
Bazghaleh N, Hamel C, Gan Y, Tar’an B, Knight JD (2015) Genotype-Specific Variation in the structure of root fungal communities is related to chickpea plant productivity. Appl Environ Microbiol 81 (7):2368–2377. https://doi.org/10.1128/AEM.03692-14
Beets PN (1977) Determination of the fascicle surface area for Pinus radiata. N Z J For Sci 7(3):397–407
Berendsen RL, Pieterse CMJ, Bakker PAHM (2012) The rhizosphere microbiome and plant health. Trends Plant Sci 17(8):478–486. https://doi.org/10.1016/j.tplants.2012.04.001
Blazewicz SJ, Schwartz E, Firestone MK (2014) Growth and death of bacteria and fungi underlie rainfall-induced carbon dioxide pulses from seasonally dried soil. Ecol 95(5):1162–1172. https://doi.org/10.1890/13-1031.1
Bonfante P, Anca IA (2009) Plants, mycorrhizal fungi, and bacteria: a network of interactions. Annu Rev Microbiol 63(1):363–383. https://doi.org/10.1146/annurev.micro.091208.073504
Brundrett M, Bougher N, Dell B, Grove T, Malajczuk N (1996) Working with mycorrhizas in forestry and agriculture. Australian Centre for International Agricultural Research, Canberra
Bulgarelli D, Schlaeppi K, Spaepen S, van Themaat EVL, Schulze-Lefert P (2013) Structure and functions of the bacterial microbiota of plants. Annu Rev Plant Biol 64(1):807–838. https://doi.org/10.1146/annurev-arplant-050312-120106
Cambui CA, Svennerstam H, Gruffman L, Nordin A, Ganeteg U, Näsholm T (2011) Patterns of plant biomass partitioning depend on nitrogen source. PLOS ONE 6(4):e19,211. https://doi.org/10.1371/journal.pone.0019211
Chu-Chou M (1979) Mycorrhizal fungi of Pinus radiata in New Zealand. Soil Biol Biochem 11(6):557–562. https://doi.org/10.1016/0038-0717(79)90021-X
Corcuera L, Gil-Pelegrin E, Notivol E (2012) Differences in hydraulic architecture between mesic and xeric Pinus pinaster populations at the seedling stage. Tree Physiol 32(12):1442–1457. https://doi.org/10.1093/treephys/tps103
Corrêa A, Gurevitch J, Martins-Loução MA, Cruz C (2012) C allocation to the fungus is not a cost to the plant in ectomycorrhizae. Oikos 121(3):449–463. https://doi.org/10.1111/j.1600-0706.2011.19406.x
da Costa PB, Beneduzi A, de Souza R, Schoenfeld R, Vargas LK, Passaglia LMP (2013) The effects of different fertilization conditions on bacterial plant growth promoting traits: guidelines for directed bacterial prospection and testing. Plant Soil 368(1-2):267–280. http://doi.org/10.1007/s11104-012-1513-z
Edgar RC (2013) UPARSE: Highly accurate OTU sequences from microbial amplicon reads. Nat Methods 10 (10):996–998. https://doi.org/10.1038/nmeth.2604
Eilers KG, Lauber CL, Knight R, Fierer N (2010) Shifts in bacterial community structure associated with inputs of low molecular weight carbon compounds to soil. Soil Biol Biochem 42(6):896–903. https://doi.org/10.1016/j.soilbio.2010.02.003
Franklin O, Näsholm T, Högberg P, Högberg MN (2014) Forests trapped in nitrogen limitation—an ecological market perspective on ectomycorrhizal symbiosis. New Phytol 203(2):657–666. https://doi.org/10.1111/nph.12840
Gehring C, Flores-Rentería D, Sthultz CM, Leonard TM, Flores-Rentería L, Whipple AV, Whitham TG (2014) Plant genetics and interspecific competitive interactions determine ectomycorrhizal fungal community responses to climate change. Mol Ecol 23(6):1379–1391. https://doi.org/10.1111/mec.12503
Haichar F e Z, Marol C, Berge O, Rangel-Castro JI, Prosser JI, Balesdent J, Heulin T, Achouak W (2008) Plant host habitat and root exuyears shape soil bacterial community structure. ISME J 2(12):1221–1230. https://doi.org/10.1038/ismej.2008.80
Hodge A, Alexander IJ, Gooday GW (1995) Chitinolytic enzymes of pathogenic and ectomycorrhizal fungi. Mycol Res 99(8):935–941. https://doi.org/10.1016/S0953-7562(09)80752-1
Hodge A, Robinson D, Fitter A (2000) Are microorganisms more effective than plants at competing for nitrogen? Trends Plant Sci 5(7):304–308. http://doi.org/10.1016/S1360-1385(00)01656-3
Högberg M N, Briones MJI, Keel SG, Metcalfe DB, Campbell C, Midwood AJ, Thornton B, Hurry V, Linder S, Näsholm T, Högberg P (2010) Quantification of effects of season and nitrogen supply on tree below-ground carbon transfer to ectomycorrhizal fungi and other soil organisms in a boreal pine forest. New Phytol 187(2):485–493. https://doi.org/10.1111/j.1469-8137.2010.03274.x
Ingestad T (1979) Mineral nutrient requirements of Pinus silvestris and Picea abies seedlings. Physiol Plant 45(4):373–380. https://doi.org/10.1111/j.1399-3054.1979.tb02599.x
Jones DL, Hodge A (1999) Biodegradation kinetics and sorption reactions of three differently charged amino acids in soil and their effects on plant organic nitrogen availability. Soil Biol Biochem 31(9):1331–1342. https://doi.org/10.1016/S0038-0717(99)00056-5
Jones DL, Kielland K (2002) Soil amino acid turnover dominates the nitrogen flux in permafrost-dominated taiga forest soils. Soil Biol Biochem 34(2):209–219. https://doi.org/10.1016/S0038-0717(01)00175-4
Kielland K, McFarland J, Olson K (2006) Amino acid uptake in deciduous and coniferous taiga ecosystems. Plant Soil 288(1-2):297–307. https://doi.org/10.1007/s11104-006-9117-0
Klindworth A, Pruesse E, Schweer T, Peplies J, Quast C, Horn M, Glöckner F O (2013) Evaluation of general 16S ribosomal RNA gene PCR primers for classical and next-generation sequencing-based diversity studies. Nucleic Acids Res 41(1):1–11. https://doi.org/10.1093/nar/gks808
Kruse J, Hȧnsch R, Mendel RR, Rennenberg H (2010) The role of root nitrate reduction in the systemic control of biomass partitioning between leaves and roots in accordance to the C/N-status of tobacco plants. Plant Soil 332(1-2):387–403. https://doi.org/10.1007/s11104-010-0305-6
Kuzyakov Y, Xu X (2013) Competition between roots and microorganisms for nitrogen: mechanisms and ecological relevance. New Phytol 198(3):656–669. https://doi.org/10.1111/nph.12235
Lau JA, Lennon JT (2012) Rapid responses of soil microorganisms improve plant fitness in novel environments. Proc Natl Acad Sci 109 (35):14,058–14,062. https://doi.org/10.1073/pnas.1202319109
Lebeis SL, Paredes SH, Lundberg DS, Breakfield N, Gehring J, McDonald M, Malfatti S, Glavina del Rio T, Jones CD, Tringe SG, Dangl JL (2015) Salicylic acid modulates colonization of the root microbiome by specific bacterial taxa. Science 349(6250):860–864. https://doi.org/10.1126/science.aaa8764
Legay N, Baxendale C, Grigulis K, Krainer U, Kastl E, Schloter M, Bardgett RD, Arnoldi C, Bahn M, Dumont M, Poly F, Pommier T, Clément J C, Lavorel S (2014) Contribution of above- and below-ground plant traits to the structure and function of grassland soil microbial communities. Ann Bot 114 (5):1011–1021. https://doi.org/10.1093/aob/mcu169
Lenth RV (2016) Least-squares means: the R package lsmeans. J Stat Softw 69(1):1–33. https://doi.org/10.18637/jss.v069.i01
Lundberg DS, Lebeis SL, Paredes SH, Yourstone S, Gehring J, Malfatti S, Tremblay J, Engelbrektson A, Kunin V, del Rio TG, Edgar RC, Eickhorst T, Ley RE, Hugenholtz P, Tringe SG, Dangl JL (2012) Defining the core Arabidopsis thaliana root microbiome. Nature 488(7409):86–90. https://doi.org/10.1038/nature11237
Mead D (2013) Sustainable management of Pinus radiata plantations. Food and agriculture organization of the United nations (FAO), Roma
Miller RO, Kissel DE (2010) Comparison of soil pH methods on soils of North America. Soil Sci Soc Am J 74(1):310–316. https://doi.org/10.2136/sssaj2008.0047
Müller T, Avolio M, Olivi M, Benjdia M, Rikirsch E, Kasaras A, Fitz M, Chalot M, Wipf D (2007) Nitrogen transport in the ectomycorrhiza association: the Hebeloma cylindrosporum-Pinus pinaster model. Phytochem 68(1):41–51. http://doi.org/10.1016/j.phytochem.2006.09.021
Näsholm T, Ekblad A, Nordin A, Giesler R, Högberg M, Högberg P (1998) Boreal forest plants take up organic nitrogen. Nature 392(6679):914–916. https://doi.org/10.1038/31921
Näsholm T, Kielland K, Ganeteg U (2009) Uptake of organic nitrogen by plants. New Phytol 182 (1):31–48. http://doi.org/10.1111/j.1469-8137.2008.02751.x
Näsholm T, Högberg P, Franklin O, Metcalfe D, Keel SG, Campbell C, Hurry V, Linder S, Högberg M N (2013) Are ectomycorrhizal fungi alleviating or aggravating nitrogen limitation of tree growth in boreal forests? New Phytol 198(1):214–221. https://doi.org/10.1111/nph.12139
Nguyen NH, Song Z, Bates ST, Branco S, Tedersoo L, Menke J, Schilling JS, Kennedy PG (2016) FUNGuild: An open annotation tool for parsing fungal community datasets by ecological guild. Fungal Ecol 20:241–248. https://doi.org/10.1016/j.funeco.2015.06.006
Nicotra AB, Atkin OK, Bonser SP, Davidson AM, Finnegan EJ, Mathesius U, Poot P, Purugganan MD, Richards CL, Valladares F, van Kleunen M (2010) Plant phenotypic plasticity in a changing climate. Trends in Plant Sci 15(12):684–692. 1002 https://doi.org/10.1016/j.tplants.2010.09.008
Oksanen J, Blanchet FG, Kindt R, Legendre P, Minchin PR, O’Hara RB, Simpson GL, Solymos P, Stevens MHH, Wagner H (2016) vegan: Community Ecology Package
Persson J, Gardeström P, Näsholm T (2006) Uptake, metabolism and distribution of organic and inorganic nitrogen sources by Pinus sylvestris. J Exp Bot 57(11):2651–2659. https://doi.org/10.1093/jxb/erl028
Phillips RP, Brzostek E, Midgley MG (2013) The mycorrhizal-associated nutrient economy: a new framework for predicting carbon-nutrient couplings in temperate forests. New Phytol 199 (1):41–51. https://doi.org/10.1111/nph.12221
Poorter H, Niklas KJ, Reich PB, Oleksyn J, Poot P, Mommer L (2012) Biomass allocation to leaves, stems and roots: meta-analyses of interspecific variation and environmental control. New Phytol 193(1):30–50. https://doi.org/10.1111/j.1469-8137.2011.03952.x
Raab TK, Lipson DA, Monson RK (1996) Non-mycorrhizal uptake of amino acids by roots of the alpine sedge Kobresia myosuroides: implications for the alpine nitrogen cycle. Oecologia 108(3):488–494. https://doi.org/10.1007/BF00333725
Ridl J, Kolar M, Strejcek M, Strnad H, Stursa P, Paces J, Macek T, Uhlik O (2016) Plants rather than mineral fertilization shape microbial community structure and functional potential in legacy contaminated soil. Front Microbiol 7(995):1–10. https://doi.org/10.3389/fmicb.2016.00995
Rinaldi AC, Comandini O, Kuyper TW (2008) Ectomycorrhizal fungal diversity: separating the wheat from the chaff. Fungal Divers 33:1–45
Schimel JP, Bennett J (2004) Nitrogen mineralization: challenges of a changing paradigm. Ecol 85 (3):591–602. http://doi.org/10.1890/03-8002
Schmidt PA, Bälint M, Greshake B, Bandow C, Römbke J, Schmitt I (2013) Illumina metabarcoding of a soil fungal community. Soil Biol Biochem 65:128–132. https://doi.org/10.1016/j.soilbio.2013.05.014
Schweitzer JA, Bailey JK, Rehill BJ, Martinsen GD, Hart SC, Lindroth RL, Keim P, Whitham TG (2004) Genetically based trait in a dominant tree affects ecosystem processes. Ecol Lett 7(2):127–134. https://doi.org/10.1111/j.1461-0248.2003.00562.x
Schweitzer JA, Bailey JK, Fischer DG, LeRoy CJ, Lonsdorf EV, Whitham TG, Hart SC (2008) Plant-soil-microorganism interactions: Heritable relationship between plant genotype and associated soil microorganisms. Ecol 89(3):773–781. https://doi.org/10.1890/07-0337.1
Shi S, Richardson AE, O’Callaghan M, DeAngelis KM, Jones EE, Stewart A, Firestone MK, Condron LM (2011) Effects of selected root exuyear components on soil bacterial communities. FEMS Microbiol Ecol 77 (3):600–610. https://doi.org/10.1111/j.1574-6941.2011.01150.x
Sivolodskii EP (2009) Application of the profiles of amino acid utilization as the sole carbon and nitrogen sources for pseudomonad taxonomy. Microbiology 78(6):711–716. http://doi.org/10.1134/S0026261709060071
Sthultz CM, Whitham TG, Kennedy K, Deckert R, Gehring CA (2009) Genetically based susceptibility to herbivory influences the ectomycorrhizal fungal communities of a foundation tree species. New Phytol 184(3):657–667. https://doi.org/10.1111/j.1469-8137.2009.03016.x
Talbot JM, Treseder KK (2010) Controls over mycorrhizal uptake of organic nitrogen. Pedobiologia 53 (3):169–179. http://doi.org/10.1016/j.pedobi.2009.12.001
Talbot JM, Bruns TD, Smith DP, Branco S, Glassman SI, Erlandson S, Vilgalys R, Peay KG (2013) Independent roles of ectomycorrhizal and saprotrophic communities in soil organic matter decomposition. Soil Biol Biochem 57:282–291. https://doi.org/10.1016/j.soilbio.2012.10.004
Toju H, Tanabe AS, Yamamoto S, Sato H (2012) High-coverage ITS primers for the DNA-based identification of ascomycetes and basidiomycetes in environmental Samples. PLOS ONE 7(7):e40,863. https://doi.org/10.1371/journal.pone.0040863
Urbanová M, Šnajdr J, Baldrian P (2015) Composition of fungal and bacterial communities in forest litter and soil is largely determined by dominant trees. Soil Biol Biochem 84:53–64. https://doi.org/10.1016/j.soilbio.2015.02.011
Velmala SM, Rajala T, Haapanen M, Taylor AFS, Pennanen T (2013) Genetic host-tree effects on the ectomycorrhizal community and root characteristics of Norway spruce. Mycorrhiza 23(1):21–33. https://doi.org/10.1007/s00572-012-0446-y
Wagner MR, Lundberg DS, del Rio TG, Tringe SG, Dangl JL, Mitchell-Olds T (2016) Host genotype and age shape the leaf and root microbiomes of a wild perennial plant. Nat Commun 7:1–15. https://doi.org/10.1038/ncomms12151
Walbert K, Ramsfield TD, Ridgway HJ, Jones EE (2010) Ectomycorrhizal species associated with Pinus radiata in New Zealand including novel associations determined by molecular analysis. Mycorrhiza 20(3):209–215. https://doi.org/10.1007/s00572-009-0277-7
Wang Q, Garrity GM, Tiedje JM, Cole JR (2007) Naïve bayesian classifier for rapid assignment of rRNA sequences into the new bacterial taxonomy. Appl Environ Microbiol 73(16):5261–5267. https://doi.org/10.1128/AEM.00062-07
White T, Bruns T, Lee S, Taylor J (1990) Amplification and direct sequencing of fungal ribosomal RNA genes for phylogenetics. In: PCR Protocols. https://doi.org/10.1016/B978-0-12-372180-8.50042-1. Elsevier, San Diego, chap Part three, pp 315–322
Whitham TG, Bailey JK, Schweitzer JA, Shuster SM, Bangert RK, LeRoy CJ, Lonsdorf EV, Allan GJ, DiFazio SP, Potts BM, Fischer DG, Gehring CA, Lindroth RL, Marks JC, Hart SC, Wimp GM, Wooley SC (2006) A framework for community and ecosystem genetics: from genes to ecosystems. Nat Rev Genet 7(7):510–523. https://doi.org/10.1038/nrg1877
Zhang X, Wei H, Chen Q, Han X (2014) The counteractive effects of nitrogen addition and watering on soil bacterial communities in a steppe ecosystem. Soil Biol Biochem 72:26–34. https://doi.org/10.1016/j.soilbio.2014.01.034
Acknowledgements
This research was supported by the Growing Confidence in Forestry’s Future programme, which is jointly funded by the New Zealand Ministry of Business, Innovation and Employment (contract No C04X1306) and the Forest Growers Levy Trust. The author was supported by a scholarship of the New Zealand Forest Research Institute (SCION) and the University of Canterbury. We thank Alan Leckie, Dave Conder, Dr Juan Rodriguez-Gamir and Dr Audrey Lustig for their kind advice and valuable technical skills.
Author information
Authors and Affiliations
Corresponding author
Electronic supplementary material
Below is the link to the electronic supplementary material.
Rights and permissions
About this article
Cite this article
Gallart, M., Adair, K.L., Love, J. et al. Host Genotype and Nitrogen Form Shape the Root Microbiome of Pinus radiata . Microb Ecol 75, 419–433 (2018). https://doi.org/10.1007/s00248-017-1055-2
Received:
Accepted:
Published:
Issue Date:
DOI: https://doi.org/10.1007/s00248-017-1055-2

