Abstract
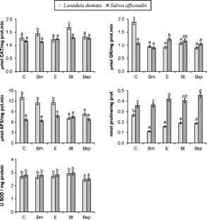
The effectiveness of autochthonous plant growth-promoting rhizobacteria was studied in Lavandula dentata and Salvia officinalis growing in a natural arid Mediterranean soil under drought conditions. These bacteria identified as Bacillus megaterium (Bm), Enterobacter sp. (E), Bacillus thuringiensis (Bt), and Bacillus sp. (Bsp). Each bacteria has different potential to meliorate water limitation and alleviating drought stress in these two plant species. B. thuringiensis promoted growth and drought avoidance in Lavandula by increasing K content, by depressing stomatal conductance, and it controlled shoot proline accumulation. This bacterial effect on increasing drought tolerance was related to the decrease of glutathione reductase (GR) and ascorbate peroxidase (APX) that resulted sensitive indexes of lower cellular oxidative damage involved in the adaptative drought response in B. thuringiensis-inoculated Lavandula plants. In contrast, in Salvia, having intrinsic lower shoot/root ratio, higher stomatal conductance and lower APX and GR activities than Lavandula, the bacterial effects on nutritional, physiological and antioxidant enzymatic systems were lower. The benefit of bacteria depended on intrinsic stress tolerance of plant involved. Lavadula demonstrated a greater benefit than Salvia to control drought stress when inoculated with B. thuringiensis. The bacterial drought tolerance assessed as survival, proline, and indolacetic acid production showed the potential of this bacteria to help plants to grow under drought conditions. B. thuringiensis may be used for Lavandula plant establishment in arid environments. Particular characteristic of the plant species as low shoot/root ratio and high stomatal conductance are important factors controlling the bacterial effectiveness improving nutritional, physiological, and metabolic plant activities.




Abbreviations
- PGPR:
-
Plant growth promoting rhizobacteria
- GR:
-
Glutathione reductase
- APX:
-
Ascorbate peroxidase
- SOD:
-
Superoxide dismutase
- CAT:
-
Catalase
- IAA:
-
Indolacetic acid
- Bm:
-
Bacillus megaterium
- E:
-
Enterobacter sp.
- Bt:
-
Bacillus thuringiensis
- Bsp:
-
Bacillus sp.
References
Dimkpa C, Weinand T, Asch F (2009) Plant–rhizobacteria interactions alleviate abiotic stress conditions. Plant Cell Environ 32:1682–1694
Haferburg G, Kothe E (2007) Microbes and metals: interactions in the environment. J Basic Microbiol 47:453–467
Marulanda A, Barea JM, Azcón R (2006) An indigenous drought-tolerant strain of Glomus intraradices associated with a native bacterium improves water transport and root development in Retama sphaerocarpa. Microb Ecol 52:670–678
Marulanda A, Barea JM, Azcón R (2009) Stimulation of plant growth and drought tolerance by native microorganisms (AM fungi and bacteria) from dry environments. Mechanisms related to bacterial effectiveness. J Plant Growth Regul 28:115–124
Kasim WA, Osman ME, Omar MN, Abd El-Daim IA, Bejai S, Meijer J (2013) Control of drought stress in wheat using plant-growth-promoting bacteria. J Plant Growth Regul 32:122–130
Barea JM, Azcón R, Azcón-Aguilar C (2002) Mycorrhizosphere interactions to improve plant fitness and soil quality. Anton Leeuw Int J G 81:343–351
Medina A, Azcón R (2012) Reclamation strategies of semiarid Mediterranean soil: improvement of the efficiency of arbuscular mycorrhizal fungi by inoculation of plant growth promoting microorganisms and organic amendments. In: Hafidi M, Duponnois R (eds) The mycorrhizal symbiosis in Mediterranean environment: importance in ecosystem stability and in soil rehabilitation strategies. Nova Science, New York, pp 87–106
Marulanda A, Azcón R, Ruíz-Lozano JM (2003) Contribution of six arbuscular mycorrhizal fungal isolates to water uptake by Lactuca sativa plants under drought stress. Physiol Plant 119:526–533
Zahir ZA, Arshad M, Frankenberger WT (2004) Plant growth promoting rhizobacteria: applications and perspectives in agriculture. Adv Agron 81:97–168
Nowak J (1998) Benefits of in vitro “biotization” of plant tissue cultures with microbial inoculants. In Vitro Cell Dev Biol Plant 34:122–130
Potters G, Horemans N, Jansen MAK (2010) The cellular redox state in plant stress biology—a charging concept. Plant Physiol Biochemistry 48:292–300
Benabdellah K, Abbas Y, Abourouh M, Aroca R, Azcon R (2011) Influence of two bacterial isolates from degraded and non-degraded soils and arbuscular mycorrhizae fungi isolated from semi-arid zone on the growth of Trifolium repens under drought conditions: mechanisms related to bacterial effectiveness. Eur J Soil Biol 47:303–309
Ruíz-Sánchez M, Aroca R, Munoz Y, Polon R, Ruíz-Lozano JM (2010) The arbuscular mycorrhizal symbiosis enhances the photosynthetic efficiency and the antioxidative response of rice plants subjected to drought stress. J Plant Physiol 167:862–869
Csonka LN (1989) Physiological and genetic responses of bacteria to osmotic-stress. Microbiol Rev 53:121–147
Glick BR (1995) The enhancement of plant-growth by free-living bacteria. Can J Microbiol 41:109–117
Phillips JM, Hayman DS (1970) Improved procedure of clearing roots and staining parasitic and vesicular–arbuscular mycorrhizal fungi for rapid assessment of infection. Trans Br Mycol Soc 55:159–161
Giovannetti M, Mosse B (1980) Evaluation of techniques for measuring vesicular arbuscular mycorrhizal infection in roots. New Phytol 84:489–500
Wright SF, Upadhyaya A (1996) Extraction of an abundant and unusual protein from soil and comparison with hyphal protein of arbuscular mycorrhizal fungi. Soil Sci 161:575–586
Aroca R, Irigoyen JJ, Sánchez-Díaz M (2003) Drought enhances maize chilling tolerance. II. Photosynthetic traits and protective mechanisms against oxidative stress. Physiol Plant 117:540–549
Burd GI, Dixon DG, Glick BR (2000) Plant growth promoting bacteria that decreased heavy metal toxicity in plants. Can J Microbiol 46:237–245
Aebi H (1984) Catalase in vitro. Methods Enzymol 105:121–126
Amako K, Chen GX, Asada K (1994) Separate assays specific for ascorbate peroxidase and guaiacol peroxidase and for the chloroplastic and cytosolic isozymes of ascorbate peroxidase in plants. Plant Cell Physiol 35:497–504
Carlberg I, Mannervik B (1985) Glutathione reductase. Methods Enzymol 113:484–489
Bradford MM (1976) Rapid and sensitive method for quantitation of microgram quantities of protein utilizing principle of protein-dye binding. Anal Biochem 72:248–254
Bligh EG, Dyer WJ (1959) A rapid method of total lipid extraction and purification. Can J Biochem Physiol 37:911–917
Bates LS, Waldren RP, Teare ID (1973) Rapid determination of free proline for water-stress studies. Plant Soil 39:205–207
Gordon SA, Paleg LG (1957) Observations on the quantitative determination of indoleacetic acid. Physiol Plant 10:39–47
Duncan DB (1955) Multiple range and multiple F tests. Biometrics 11:1–42
Loutfy N, El-Tayeb MA, Hassanen AM, Moustafa MFM, Sakuma Y, Inouhe M (2012) Changes in the water status and osmotic solute contents in response to drought and salicylic acid treatments in four different cultivars of wheat (Triticum aestivum). J Plant Res 125:173–184
Shaul-Keinan O, Gadkar V, Ginzberg I, Grunzweig JM, Chet I, Elad Y, Wininger S, Belausov E, Eshed Y, Arzmon N, Ben-Tal Y, Kapulnik Y (2002) Hormone concentrations in tobacco roots change during arbuscular mycorrhizal colonization with Glomus intraradices. New Phytol 154:501–507
Rodríguez RJ, Henson J, Van Volkenburgh E, Hoy M, Wright L, Beckwith F, Kim Y-O, Redman RS (2008) Stress tolerance in plants via habitat-adapted symbiosis. ISME J 2:404–416
Ashraf M, Foolad MR (2007) Roles of glycine betaine and proline in improving plant abiotic stress resistance. Environ Exp Bot 59:206–216
Egamberdieva D, Kamilova F, Validov S, Gafurova L, Kucharova Z, Lugtenberg B (2008) High incidence of plant growth-stimulating bacteria associated with the rhizosphere of wheat grown on salinated soil in Uzbekistan. Environ Microbiol 10:1–9
Mayak S, Tirosh T, Glick BR (2004) Plant growth-promoting bacteria that confer resistance to water stress in tomatoes and peppers. Plant Sci 166:525–530
Belimov AA, Dodd IC, Hontzeas N, Theobald JC, Safronova VI, Davies WJ (2009) Rhizosphere bacteria containing 1-aminocyclopropane-1-carboxylate deaminase increase yield of plants grown in drying soil via both local and systemic hormone signalling. New Phytol 181:413–423
Yuwono T, Handayani D, Soedarsono J (2005) The role of osmotolerant rhizobacteria in rice growth under different drought conditions. Aust J Agric Res 56:715–721
Sakamoto M, Munemura I, Tomita R, Kobayashi K (2008) Involvement of hydrogen peroxide in leaf abscission signaling, revealed by analysis with an in vitro abscission system in Capsicum plants. Plant J 56:13–27
Yang J, Kloepper JW, Ryu C-M (2009) Rhizosphere bacteria help plants tolerate abiotic stress. Trends Plant Sci 14:1–4
Creus CM, Sueldo RJ, Barassi CA (2004) Water relations and yield in Azospirillum-inoculated wheat exposed to drought in the field. Can J Bot 82:273–281
Zhang Y, Wang Z, Zhang L, Cao Y, Huang D, Tang K (2006) Molecular cloning and stress-dependent regulation of potassium channel gene in Chinese cabbage (Brassica rapa ssp Pekinensis). J Plant Physiol 163:968–978
Koussevitzky S, Suzuki N, Huntington S, Armijo L, Sha W, Cortes D, Shulaev V, Mittler R (2008) Ascorbate peroxidase 1 plays a key role in the response of Arabidopsis thaliana to stress combination. J Biol Chem 283:34197–34203
Gong HJ, Zhu XY, Chen KM, Wang SM, Zhang CL (2005) Silicon alleviates oxidative damage of wheat plants in pots under drought. Plant Sci 169:313–321
Orvar BL, Ellis BE (1997) Transgenic tobacco plants expressing antisense RNA for cytosolic ascorbate peroxidase show increased susceptibility to ozone injury. Plant J 11:1297–1305
Farooq M, Wahid A, Kobayashi N, Fujita D, Basra SMA (2009) Plant drought stress: effects, mechanisms and management. Agron Sustain Dev 29:185–212
Miller KJ, Wood JM (1996) Osmoadaptation by rhizosphere bacteria. Annu Rev Microbiol 50:101–136
Jiménez A, Hernández JA, del Rio LA, Sevilla F (1997) Evidence for the presence of the ascorbate–glutathione cycle in mitochondria and peroxisomes of pea leaves. Plant Physiol 114:275–284
Kohler J, Hernández JA, Caravaca F, Roldán A (2009) Induction of antioxidant enzymes is involved in the greater effectiveness of a PGPR versus AM fungi with respect to increasing the tolerance of lettuce to severe salt stress. Environ Exp Bot 65:245–252
Kohler J, Hernández JA, Caravaca F, Roldán A (2008) Plant-growth-promoting rhizobacteria and arbuscular mycorrhizal fungi modify alleviation biochemical mechanisms in water-stressed plants. Funct Plant Biol 35:141–151
Miller G, Suzuki N, Ciftci-Yilmaz S, Mittler R (2010) Reactive oxygen species homeostasis and signalling during drought and salinity stresses. Plant Cell Environ 33:453–467
Vendruscolo ECG, Schuster I, Pileggi M, Scapim CA, Correa Molinari HB, Marur CJ, Esteves Vieira LG (2007) Stress-induced synthesis of proline confers tolerance to water deficit in transgenic wheat. J Plant Physiol 164:1367–1376
Azcón R, Medina A, Aroca R, Ruíz-Lozano R (2013) Abiotic stress remediation by the arbuscular mycorrhizal symbiosis and rhizosphere bacteria/yeast interactions. In: de Bruijn FJ (ed) Molecular microbial ecology of the rhizosphere. Wiley, Hoboken, pp 991–1002
Acknowledgments
E. Armada was financed by Ministerio de Ciencia e Innovación. This work was carried out in the framework of the project reference AGL2009-12530-C02-02. We thank the Instrumentation Service (EEZ) for the plant analysis.
Author information
Authors and Affiliations
Corresponding author
Rights and permissions
About this article
Cite this article
Armada, E., Roldán, A. & Azcon, R. Differential Activity of Autochthonous Bacteria in Controlling Drought Stress in Native Lavandula and Salvia Plants Species Under Drought Conditions in Natural Arid Soil. Microb Ecol 67, 410–420 (2014). https://doi.org/10.1007/s00248-013-0326-9
Received:
Accepted:
Published:
Issue Date:
DOI: https://doi.org/10.1007/s00248-013-0326-9