Skip to main content

Paediatric cardiac CT examinations: impact of the iterative reconstruction method ASIR on image quality – preliminary findings

Abstract

Background

Radiation dose exposure is of particular concern in children due to the possible harmful effects of ionizing radiation. The adaptive statistical iterative reconstruction (ASIR) method is a promising new technique that reduces image noise and produces better overall image quality compared with routine-dose contrast-enhanced methods.

Objective

To assess the benefits of ASIR on the diagnostic image quality in paediatric cardiac CT examinations.

Materials and methods

Four paediatric radiologists based at two major hospitals evaluated ten low-dose paediatric cardiac examinations (80 kVp, CTDIvol 4.8-7.9 mGy, DLP 37.1-178.9 mGy·cm). The average age of the cohort studied was 2.6 years (range 1 day to 7 years). Acquisitions were performed on a 64-MDCT scanner. All images were reconstructed at various ASIR percentages (0–100%). For each examination, radiologists scored 19 anatomical structures using the relative visual grading analysis method. To estimate the potential for dose reduction, acquisitions were also performed on a Catphan phantom and a paediatric phantom.

Results

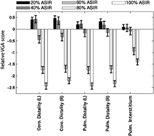
The best image quality for all clinical images was obtained with 20% and 40% ASIR (p < 0.001) whereas with ASIR above 50%, image quality significantly decreased (p < 0.001). With 100% ASIR, a strong noise-free appearance of the structures reduced image conspicuity. A potential for dose reduction of about 36% is predicted for a 2- to 3-year-old child when using 40% ASIR rather than the standard filtered back-projection method.

Conclusion

Reconstruction including 20% to 40% ASIR slightly improved the conspicuity of various paediatric cardiac structures in newborns and children with respect to conventional reconstruction (filtered back-projection) alone.

This is a preview of subscription content, access via your institution.

Fig. 1
Fig. 2
Fig. 3
Fig. 4
Fig. 5
Fig. 6
Fig. 7

References

  1. Pierce DA, Shimizu Y, Preston DL et al (1996) Studies of the mortality of atomic bomb survivors. Report 12, Part I. Cancer: 1950-1990. Radiat Res 146:1–27

    PubMed  Article  CAS  Google Scholar 

  2. Brenner DJ, Hall EJ (2007) Computed tomography: an increasing source of radiation exposure. N Engl J Med 357:2277–2284

    PubMed  Article  CAS  Google Scholar 

  3. McCollough CH, Bruesewitz MR, Kolfer JM (2006) CT dose reduction and dose management tools: overview of available options. Radiographics 26:503–512

    PubMed  Article  Google Scholar 

  4. Coursey C, Frush DP, Yoshizumi T et al (2008) Pediatric chest MDCT using tube current modulation: effect on radiation dose with breast shielding. AJR 190:W54–W61

    PubMed  Article  Google Scholar 

  5. Gunn MLD, Kohr JR (2009) State of the art: technologies for computed tomography dose reduction. Emerg Radiol 17:209–218

    PubMed  Article  Google Scholar 

  6. Silva AC, Lawder HJ, Hara A et al (2010) Innovations in CT dose reduction strategy: application of the adaptive statistical iterative reconstruction algorithm. AJR 194:191–199

    PubMed  Article  Google Scholar 

  7. Hara AK, Paden RG, Silva AC et al (2009) Iterative reconstruction technique for reducing body radiation dose at CT: feasibility study. AJR 193:764–771

    PubMed  Article  Google Scholar 

  8. Marin D, Nelson RC, Schindera ST et al (2010) Low-tube-voltage, high-tube-current multidetector abdominal CT: improved image quality and decreased radiation dose with adaptive statistical iterative reconstruction algorithm – initial clinical experience. Radiology 254:145–153

    PubMed  Article  Google Scholar 

  9. Leipsic J, LaBounty TM, Heilbron B et al (2010) Adaptive statistical iterative reconstruction: assessment of image noise and image quality in coronary CT angiography. AJR 195:649–654

    PubMed  Article  Google Scholar 

  10. Thibault JB, Sauer KD, Bouman CA et al (2007) A three-dimensional statistical approach to improved image quality for multislice helical CT. Med Phys 34:4526–4544

    PubMed  Article  Google Scholar 

  11. Hsieh J (2009) Computed tomography: principles, design, artifacts, and recent advances, 2nd edn. SPIE, Bellingham, WA

    Google Scholar 

  12. Swiss Federal Office for Public Health (2010) Notice R-06-06. Bern, Switzerland. http://www.bag.admin.ch/themen/strahlung/02839/index.html?lang=fr. Accessed 17 May 2011

  13. Verdun FR, Gutierrez D, Vader JP et al (2008) CT radiation dose in children: a survey to establish age-based diagnostic reference levels in Switzerland. Eur Radiol 18:1980–1986

    PubMed  Article  Google Scholar 

  14. International Electrotechnical Committee (1994) Medical diagnostic X-ray equipment – radiation conditions for use in the determination of characteristics. Standard IEC 61267, Geneva

  15. International Electrotechnical Committee (1999) Medical diagnostic X-ray equipment – particular requirements for the safety of X-ray equipment for CT. Standard IEC 0601-2-44, Geneva

  16. International Electrotechnical Committee (2002) Medical diagnostic X-ray equipment – particular requirements for the safety of X-ray equipment for CT, 2nd edn. Standard IEC 60601-2-44, Geneva

  17. Miéville FA, Ayestaran P, Argaud C et al (2010) Potential benefit of the CT adaptive statistical iterative reconstruction method for pediatric cardiac diagnosis. Proc SPIE 7622:76222D

    Article  Google Scholar 

  18. Månson LG (2000) Methods for the evaluation of image quality: a review. Radiat Prot Dosim 90:89–99

    Google Scholar 

  19. European Commission (1999) EUR 16262: European guidelines on quality criteria for computed tomography. Office for Official Publications of the European Communities, Luxembourg

  20. Båth M (2010) Evaluating imaging systems: practical applications. Radiat Prot Dosim 139:26–36

    Article  Google Scholar 

  21. Sund P, Båth M, Kheddache S et al (2004) Comparison of visual grading analysis and determination of detective quantum efficiency for evaluating system performance in digital chest radiography. Eur Radiol 14:48–58

    PubMed  Article  Google Scholar 

  22. Tingberg A, Hermann C, Lanhede B et al (2000) Comparison of two methods for evaluation of the image quality of lumbar spine radiographs. Radiat Prot Dosim 90:165–168

    Google Scholar 

  23. Båth M, Månson LG (2007) Visual grading characteristics (VGC) analysis: a non-parametric rank-invariant statistical method for image quality evaluation. Br J Radiol 80:169–176

    PubMed  Article  Google Scholar 

  24. Leipsic J, Nguyen G, Brown J et al (2010) A prospective evaluation of dose reduction and image quality in chest CT using adaptive statistical iterative reconstruction. AJR 195:1095–1099

    PubMed  Article  Google Scholar 

  25. Paul JF, Abada HT (2007) Strategies for reduction of radiation dose in cardiac multislice CT. Eur Radiol 17:2028–2037

    PubMed  Article  Google Scholar 

  26. Li X, Samei E, Segars WP et al (2008) Patient-specific dose estimation for pediatric chest CT. Med Phys 35:5821–5828

    PubMed  Article  Google Scholar 

  27. Herzog C, Mulvihill DM, Nguyen SA et al (2008) Pediatric cardiovascular CT angiography: radiation dose reduction using automatic anatomic tube current modulation. AJR 190:1232–1240

    PubMed  Article  Google Scholar 

  28. Singh SS, Kalra MK, Moore MA et al (2009) Dose reduction and compliance with pediatric CT protocols adapted to patient size, clinical indication, and number of prior studies. Radiology 252:200–208

    PubMed  Article  Google Scholar 

  29. Paul JF, Abada HT, Sigal-Cinqualbre A (2004) Should low-kilovoltage chest CT protocols be the rule for pediatric patients? AJR 138:1172; author reply 1172

    Google Scholar 

  30. Vock P (2005) CT dose reduction in children. Eur Radiol 15:2330–2340

    PubMed  Article  Google Scholar 

  31. Strauss KJ, Goske MJ, Kaste SC et al (2010) Image gently: Ten steps you can take to optimize image quality and lower CT dose for pediatric patients. AJR 194:868–873

    PubMed  Article  Google Scholar 

Download references

Acknowledgments

We would like to thank GE Healthcare and especially Christophe Argaud and Paul Ayestaran for their assistance in image reconstruction; Christel Elandoy and Martine Bernasconi for their help with image acquisitions and for providing the machine time required to perform the study, and Leonor Alamo, Elodie Senggen and Rafael Duran for their participation in this study.

This research was supported by a Swiss National Science Foundation grant [no. 320030-120382].

Author information

Affiliations

Authors

Corresponding author

Correspondence to Frédéric A. Miéville.

Rights and permissions

Reprints and Permissions

About this article

Cite this article

Miéville, F.A., Gudinchet, F., Rizzo, E. et al. Paediatric cardiac CT examinations: impact of the iterative reconstruction method ASIR on image quality – preliminary findings. Pediatr Radiol 41, 1154–1164 (2011). https://doi.org/10.1007/s00247-011-2146-8

Download citation

  • Received:

  • Revised:

  • Accepted:

  • Published:

  • Issue Date:

  • DOI: https://doi.org/10.1007/s00247-011-2146-8

Keywords

  • Adaptive statistical iterative reconstruction
  • Iterative reconstruction
  • Paediatric cardiac CT
  • Visual grading analysis