Skip to main content

The Quantitative and Qualitative Responses of Platelets in Pediatric Patients Undergoing Cardiopulmonary Bypass Surgery

Abstract

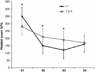
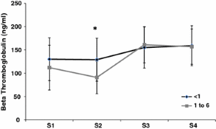
This prospective, single-center study aimed to evaluate the platelet response during cardiopulmonary bypass (CPB) surgery in a large cohort of children up to 6 years of age. Blood samples were drawn at four time points: after induction of anesthesia, after initiation of the CPB, before protamine, and immediately after chest closure. The study recruited 60 children requiring CPB for surgical repair of congenital heart defects. The platelet count decreased throughout CPB surgery, but during the same period, platelet activity increased. The more pronounced decrease in platelet count observed in children younger than 1 year compared with that of children 1 to 6 years of age was not associated with an age-specific change in platelet activity. The overall increase in platelet function observed in this study could provide a mechanism that compensates for the decrease in platelet count. This study provides a new foundation for future studies investigating requirements of platelet supplementation in the setting of pediatric CPB surgery.

This is a preview of subscription content, access via your institution.

Fig. 1
Fig. 2
Fig. 3

References

  1. Boks RH, van Herwerden LA, Takkenberg JJ et al (2001) Is the use of albumin in colloid prime solution of cardiopulmonary bypass circuit justified? Ann Thorac Surg 72:850–853

    PubMed  Article  CAS  Google Scholar 

  2. Boldt J, Knothe C, Zickmann B et al (1993) Aprotinin in pediatric cardiac operations: platelet function, blood loss, and use of homologous blood. Ann Thorac Surg 55:1460–1466

    PubMed  Article  CAS  Google Scholar 

  3. Codispoti M, Ludlam CA, Simpson D et al (2001) Individualized heparin and protamine management in infants and children undergoing cardiac operations. Ann Thorac Surg 71:922–927

    PubMed  Article  CAS  Google Scholar 

  4. Flaujac C, Pouard P, Boutouyrie P et al (2007) Platelet dysfunction after normothermic cardiopulmonary bypass in children: effect of high-dose aprotinin. Thromb Haemost 98:385–391

    PubMed  CAS  Google Scholar 

  5. Guay J, Ruest P, Lortie L (2004) Cardiopulmonary bypass induces significant platelet activation in children undergoing open heart surgery. Eur J Anaest 21:953–956

    Google Scholar 

  6. Hezard N, Potron G, Schlegel N et al (2003) Unexpected persistence of platelet hyporeactivity beyond the neonatal period: a flow cytometric study in neonates, infants, and older children. Thromb Haemost 90:116–123

    PubMed  CAS  Google Scholar 

  7. Ichinose F, Uezono S, Muto R et al (1999) Platelet hyporeactivity in young infants during cardiopulmonary bypass. Anesth Analg 88:258–262

    PubMed  CAS  Google Scholar 

  8. Kaplan KL, Owen J (1981) Plasma levels of β-thromboglobulin and platelet factor 4 as indices of platelet activation in vivo. Blood 57:199–202

    Google Scholar 

  9. Kern FH, Morana NJ, Sears JJ et al (1992) Coagulation defects in neonates during cardiopulmonary bypass. Ann Thorac Surg 54:541–546

    PubMed  Article  CAS  Google Scholar 

  10. Matzdorff AC, Kemkes-Matthes B, Voss R et al (1996) Comparison of beta-thromboglobulin, flow cytometry, and platelet aggregometry to study platelet activation. Haemostasis 26:98–106

    PubMed  CAS  Google Scholar 

  11. Miller BE, Mochizuki T, Levy JH et al (1997) Predicting and treating coagulopathies after cardiopulmonary bypass in children. 85(6):1196–1202

  12. Misawa Y, Konishi H, Kawahito K et al (2001) Platelet activation and aggregation during normothermic cardiopulmonary bypass. Jpn J Thorac Cardiovasc Surg 49:21–28

    PubMed  Article  CAS  Google Scholar 

  13. Monagle P, Barnes C, Ignjatovic V et al (2006) Developmental haemostasis: impact for clinical haemostasis laboratories. Thromb Haemost 95:362–372

    PubMed  CAS  Google Scholar 

  14. Teran LM, Davies DE (1996) The chemokines: their potential role in allergic inflammation. Clin Exp Allergy 26:1005–1019

    Google Scholar 

  15. Williams GD, Bratton SL, Riley EC et al (1999) Coagulation tests during cardiopulmonary bypass correlate with blood loss in children undergoing cardiac surgery. J Cardiothorac Vasc Anesth 13:398–404

    PubMed  Article  CAS  Google Scholar 

Download references

Acknowledgments

The authors acknowledge the assistance of the cardiothoracic surgical unit, particularly that of Martin Bennett. Internal funding was provided by the Haematology Research Group.

Author information

Affiliations

Authors

Corresponding author

Correspondence to Vera Ignjatovic.

Rights and permissions

Reprints and Permissions

About this article

Cite this article

Ignjatovic, V., Than, J., Summerhayes, R. et al. The Quantitative and Qualitative Responses of Platelets in Pediatric Patients Undergoing Cardiopulmonary Bypass Surgery. Pediatr Cardiol 33, 55–59 (2012). https://doi.org/10.1007/s00246-011-0079-5

Download citation

  • Received:

  • Accepted:

  • Published:

  • Issue Date:

  • DOI: https://doi.org/10.1007/s00246-011-0079-5

Keywords

  • Beta-thromboglobulin
  • Cardiopulmonary bypass
  • Children
  • Platelet activation