Abstract
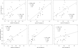
Total mercury (THg) concentrations were measured in wild alligators inhabiting a coastal marsh in southern Louisiana, to determine the tissue distribution of THg among various body organs and tissue compartments. Concentrations of THg in claws and dermal tail scutes were compared to those in blood, brain, gonad, heart, kidney, liver, and skeletal muscle to determine if the former tissues, commonly available by non-lethal sampling, could be used as measures of body burdens in various internal organs. Mercury was found in all body organs and tissue compartments. However, overall, THg concentrations measured in alligators were below the FDA action level for fish consumption and were comparable to previous data reported from southwestern Louisiana. Our results suggest consumption of meat from alligators found in this region may be of little public health concern. However, the extended period of time between sampling (in this study) and the present-day highlight the need for continuous, additional, and more recent sampling to ensure consumer safety. Total mercury concentrations were highest in the kidney (3.18 ± 0.69 mg/kg dw) and liver (3.12 ± 0.76 mg/kg dw). THg levels in non-lethal samples (blood, claws, and dermal tail scutes) were positively correlated with all tissue THg concentrations (blood: R2 = 0.513–0.988; claw: R2 = 0.347–0.637, scutes: R2 = 0.333–0.649). Because THg concentrations from blood, claws, and scutes were correlated with those of the internal organs, non-lethal sampling methods may be a viable method of estimating levels of THg in other body tissues.


Similar content being viewed by others
References
Arnold BS (2000) Distribution of mercury within different trophic levels of the Okefenokee Swamp, within tissues of top level predators, and reproductive effects of methyl mercury in the Nile Tilapia. Dissertation, University of Georgia, Athens
Burger J, Gochfeld M, Rooney AA, Orlando EF, Woodward AR, Guillette LJ (2000) Metal and metalloids in tissues of American alligators in three Florida lakes. Arch Environ Contam Toxicol 38:501–508
Chang LW, Cockerham L (1994) Toxic metals in the environment. In: Cockerham LW, Shane BS (eds) Basic environmental toxicology. CRC Press Inc, Boca Raton, pp 109–132
Chumchal MM, Rainwater TP, Osborn SC, Roberts AP, Abel MT, Cobb GP, Smith PN, Bailey FC (2011) Mercury speciation and biomagnification in the food web of Caddo Lake, Texas and Louisiana, USA, a subtropical freshwater ecosystem. Environ Toxicol Chem 30:1153–1162
Delany MF, Bell JU, Sundlof SF (1988) Concentrations of contaminants in muscle of the American alligator in Florida. J Wildl Dis 24:62–68
Eisler R (1987) Mercury hazards to fish, wildlife, and invertebrates: a synoptic review. U.S. Fish and Wildlife Service Biological Report 85(1.1).
Elsey RM, Lance VA, Campbell L (1999) Mercury levels in alligator meat in South Louisiana. Bull Environ Contam Toxicol 63:598–603
Facemire C, Augspurger T, Bateman D, Brim M, Conzelmann P, Delchamps S, Douglas E, Inmon L, Looney K, Lopez F, Masson G, Morrison D, Morse N, Robison A (1995) Impacts of mercury contamination in the Southeastern United States. Water Air Soil Pollut 80:923–926
Faust DR, Hooper MJ, Cobb GP, Barnes M, Shaver D, Ertolacci S, Smith PN (2014) Inorganic elements in green sea turtles (Chelonia mydas): relationships among external and internal tissues. Environ Toxicol Chem 33:2020–2027
Finger JW Jr, Gogal RM Jr (2013) Endocrine-disrupting chemical exposure and the American alligator: a review of the potential role of environmental estrogens on the immune system of a top trophic carnivore. Arch Environ Contam Toxicol 65:704–714
Finger JW Jr, Hamilton MT, Glenn TC, Tuberville TD (2017a) Dietary selenomethionine administration in the American alligator (Alligator mississippiensis): hepatic and renal Se accumulation and its effects on growth and body condition. Arch Environ Contam Toxicol 72:439–448. https://doi.org/10.1007/s00244-017-0370-4
Finger JW Jr, Botero J, Zhang Y, Still SE, Hoffman AJ, Kavazis AN, Cristol DA, Wada H (2017b) No effect of lifelong methylmercury exposure on oxidative status in zebra finches (Taeniopygia guttata): a demonstration of methylmercury-induced selection? Bull Environ Contam Toxicol 99:668–672
Hall RJ (1980) Effects of environmental contaminants on reptiles: a review. U.S. Dept. of interior, Fish and wildlife service special scientific report. Wildlife No. 228:12
Hamilton MA, Rode PW, Merchant ME, Sneddon J (2008) Determination and comparison of heavy metals in selected seafood, water, vegetation and sediments by inductively coupled plasma-optical emission spectrometry from an industrialized and pristine waterway in Southwest Louisiana. Microchem J 88:52–55
Haskins DL, Gogal RM, Tuberville TD (2019) Snakes as novel biomarkers of mercury contamination: a review. Rev Environ Contam Toxicol 249:133–152
Haskins DL, Brown MK, Qin CXuX, Pilgrim MA, Tuberville TD (2021) Multi-decadal trends in mercury and methylmercury concentrations in the brown watersnake (Nerodia taxispilota). Environ Pollut 276:116722
Heaton-Jones TG, Homer BL, Heaton-Jones DL, Sundlof SF (1997) Mercury distribution in American alligators (Alligator mississippiensis) in Florida. J Zoo Wildl Med 28:62–70
Heinz GH, Percival HF, Jennings ML (1991) Contaminants in American alligator eggs from Lake Apopka, Lake Griffin, and Lake Okeechobee, Florida. Environ Monit Assess 16:277–285
Hord LJ, Jennings M, Brunelli A (1990) Mercury contamination in Florida alligators, pp 229–240. In: Proceedings of the tenth working meeting, IUCN/SSC crocodile specialists group. IUCN-The World Conservation Union, Gland, Switzerland
Jagoe CH, Arnold-Hill B, Yanochko GM, Winger PV, Brisbin IL Jr (1998) Mercury in alligators (Alligator mississippiensis) in the southeastern United States. Sci Total Environ 213:255–262
Joanen T (1969) Nesting ecology of alligators in Louisiana. Proc Annu Conf Southeast Assoc Fish Wildl Agencies 23:141–151
Joanen T, McNease L (1970) A telemetric study of nesting female alligators on Rockefeller Refuge, Louisiana. Proc Annu Conf Southeast Assoc Fish Wildl Agencies 26:252–275
Joanen T, McNease L (1972) A telemetric study of adult male alligators on Rockefeller Refuge, Louisiana. Proc Annu Conf Southeast Assoc Fish Wildl Agencies 1972:252–275
Joanen T, Merchant M, Griffith R, Linscombe J, Guidry A (2021) Evaluation of effects of harvest on alligator populations in Louisiana. J Wildl Managem 85:696–705
Khan B, Tansel B (2000) Mercury bioconcentration factors in American alligators (Alligator mississippiensis) in the Florida Everglades. Ecotoxicol Environ Saf 47:54–58
Lance VA (2003) Alligator physiology and life history: the importance of temperature. Exp Gerontol 38:801–805
Louisiana Department of Wildlife and Fisheries and Louisiana State University LDWF (2011) Best management practices for louisiana alligator farming. LSU, Louisiana
Nilsen FM, Bowden JA, Rainwater TR, Brunell AM, Kassim BL, Wilkinson PM, Guillette LJ Jr, Long SE, Schock TB (2019) Examining toxic trace element exposure in American alligators. Environ Int 128:324–334
Peters LJ (1983) Mercury accumulation in the American Alligator, Alligator mississippiensis. Thesis, University of Florida, Florida
Petre SJ, Sackett DK, Aday DD (2012) Do national advisories serve local consumers: an assessment of mercury in economically important North Carolina fish. J Envion Monit 14:1410–1416
Pooley AC, Gans C (1976) The Nile crocodile. Sci Am 234:114–124
R Core Team (2020) R: a language and environment for statistical computing. R Foundation for Statistical Computing, Austria, Vienna. http://R-project.org
Reyes-Avila AD, Laws EA, Herrmann AD, DeLaune RD, Blanchard TP (2019) Mercury and selenium levels, and Se: Hg molar ratios in freshwater fish from South Louisiana. J Environ Sci Health A 54:238–245
Ruckel SW (1993) Mercury concentrations in alligator meat in Georgia. Proc Annu Conf Southeast Assoc Fish Wildl Agencies 47:287–292
Rumbold DG, Fink LE, Laine KA, Niemczyk SL, Chandrasekhar T, Wankel SD, Kendall C (2002) Levels of mercury in alligators (Alligator mississippiensis) collected along a transect through the Florida Everglades. Sci Total Environ 297:239–252
Scheuhammer AM, Meyer MW, Sandheinrich MB, Murray MW (2007) Effects of environmental methylmercury on the health of wild birds, mammals, and fish. Ambio 36:12–18. https://doi.org/10.1579/0044-7447(2007)36
Schneider L, Maher W, Green A, Vogt RC (2013) Mercury contamination in reptiles: an emerging problem with consequences for wild life and human health. In: Kim KH, Brown RJC (eds) Mercury: sources, applications and health impacts. Nova Science Publishers, Hauppauge, pp 173–232
Tipton JJ, Guillette LJ, Lovelace S, Parrott B, Rainwater TR, Reiner JL (2017) Analysis of PFAAs in American alligators part 2: potential dietary exposure of South Carolina hunters from recreationally harvested alligator meat. J Environ Sci 61:31–38
Tuberville TD, Scott DE, Metts BS, Finger JW Jr, Hamilton MT (2016) Hepatic and renal trace element concentrations in American alligators (Alligator mississippiensis) following chronic dietary exposure to coal fly ash contaminated prey. Environ Pollut 214:680–689. https://doi.org/10.1016/j.envpol.2016.04.003
US Environmental Protection Agency (USEPA) (1998) Test methods for evaluating solid waste, physical/chemical methods. SW-846. US Government Printing Office, Washington
US Environmental Protection Agency (2001) Human health criteria—methylmercury fish tissue criterion. https://www.epa.gov/wqc/human-health-criteria-methylmercury. Accessed 23 Sept 2021
Varian-Ramos CW, Swaddle JP, Cristol DA (2014) Mercury reduces avian reproductive success and imposes selection: an experimental study with adult- or lifetime-exposure in zebra finch. PLoS ONE 9:e95674
Wolfe MF, Schwarzbach S, Sulaiman RA (1998) Effects of mercury on wildlife: a comprehensive review. Environ Toxicol Chem 17:146–160
Yanochko GM, Jagoe CH, Brisbin IL Jr (1997) Tissue mercury concentrations in alligators (Alligator mississippiensis) from the Florida Everglades and the Savannah River Site, South Carolina. Arch Environ Contam Toxicol 32:323–328
Acknowledgements
We thank Phillip Trosclair III and Julie Glenn for assistance in capturing and processing the alligators used in this study. We also thank Heather Brandt, Christopher Romanek, Lindy Paddock and our other colleagues at the University of Georgia’s Savannah River Ecology Laboratory for assistance with data collection. This research was supported by a funding from the US Department of Energy through Cooperative Agreement number DE-FC09-07SR22506 with the University of Georgia Research Foundation.
Author information
Authors and Affiliations
Corresponding author
Ethics declarations
Conflict of interest
The authors declare no conflicting interests.
Additional information
Publisher's Note
Springer Nature remains neutral with regard to jurisdictional claims in published maps and institutional affiliations.
Disclaimer This report was prepared as an account of work sponsored by an agency of the United States Government. Neither the United States Government, nor any agency thereof, nor any of their employees makes any warranty, express or implied, or assumes any legal liability or responsibility for the accuracy, completeness, or usefulness of any information, apparatus, product, or process disclosed or represents that its use would not infringe privately owned rights. Reference herein to any specific commercial product, process, or service by trade name, trademark, manufacturer, or otherwise does not necessarily constitute or imply its endorsement, recommendation, or favoring by the United States Government or any agency thereof. The views and opinions of authors expressed herein do not necessarily state or reflect those of the United States Government or any agency thereof.
Rights and permissions
About this article
Cite this article
Moore, L.A., Finger, J.W., Haskins, D.L. et al. Tissue Distribution of Mercury in the Bodies of Wild American Alligators (Alligator mississippiensis) from a Coastal Marsh in Louisiana (USA). Arch Environ Contam Toxicol 83, 13–20 (2022). https://doi.org/10.1007/s00244-022-00938-3
Received:
Accepted:
Published:
Issue Date:
DOI: https://doi.org/10.1007/s00244-022-00938-3


