Skip to main content

Concentrations, Sources, and TEQ of PCDD/Fs in Sediments from the Liaohe River Protected Areas

Abstract

A preliminary study was conducted to examine the contamination of polychlorinated dibenzo-p-dioxins and dibenzofurans (PCDD/Fs) in surface sediments collected from the Liaohe River. The contamination levels of PCDD/Fs ranged from 317.3 to 509.3 pg/g dw. According to the calculated WHO-TEQ (Toxic Equivalent Quantity of World Health Organization), the range of PCDD/Fs is 13.87–40.88 pg/g dw. A principal component analysis and a cluster analysis suggested that PCDD/Fs in the sediments were mainly from gasoline/diesel vehicle emissions and solid waste incineration. The study revealed that the establishment of protected areas did not markedly reduced the ecological risk caused by PCDD/Fs in the Liaohe River protected areas sediments. It is necessary to study further the environmental impact of PCDD/Fs on the environment.

This is a preview of subscription content, access via your institution.

Fig. 1
Fig. 2
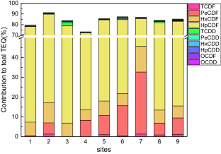
Fig. 3
Fig. 4
Fig. 5

References

  • Alcock RE, Sweetman AJ, Jones KC (2001) A congener-specific PCDD/F emissions inventory for the UK: do current estimates account for the measured atmospheric burden. Chemosphere 43(2):183–194

    CAS  Article  Google Scholar 

  • Burniston DA, Klawunn P, Hill B et al (2015) Polychlorinated dibenzo-p-dioxins and dibenzofurans in Niagara River suspended sediments. Chemosphere 123:71–78

    CAS  Article  Google Scholar 

  • Cai M, Hong Q, Sun J et al (2016a) Concentrations, distribution and sources of polychlorinated dibenzo-p-dioxins and dibenzofurans and dioxin-like polychlorinated biphenyls in coastal sediments from Xiamen, China. Mar Chem 185:74–81

    CAS  Article  Google Scholar 

  • Cai M, Liu Y, Chen K et al (2016b) Quantitative analysis of anthropogenic influences on coastal water: a new perspective. Ecol Ind 67:673–683

    CAS  Article  Google Scholar 

  • Canadian Council of Ministries of the Environment (2001) Canadian sediment quality guidelines for the protection of aquatic life

  • Chen CM et al (2004) The emission inventory of PCDD/PCDF in Taiwan. Chemosphere 54(10):1413–1420

    CAS  Article  Google Scholar 

  • Government of Japan (2012) Dioxins

  • Hilscherova K, Kannan K, Nakata H et al (2003) Polychlorinated dibenzo-p-dioxin and dibenzofuran concentration profiles in sediments and flood-plain soils of the Tittabawassee River, Michigan. Environ Sci Technol 37(3):468

    CAS  Article  Google Scholar 

  • Hu J, Wan Y, Shao B et al (2005) Occurrence of trace organic contaminants in Bohai Bay and its adjacent Nanpaiwu River, North China. Mar Chem 95(1):1–13

    CAS  Article  Google Scholar 

  • Hui YM, Zheng MH, Liu ZT et al (2009) PCDD/Fs and dioxin-like PCBs in sediments from Yellow Estuary and Yangtze Estuary, China. Bull Environ Contam Toxicol 83(4):614–619

    CAS  Article  Google Scholar 

  • Jonathan E, Naile A, Khim JS et al (2011) Sources and distribution of polychlorinated-dibenzo-p-dioxins and -dibenzofurans in soil and sediment from the Yellow Sea region of China and Korea. Environ Pollut 159:907–917

    Article  CAS  Google Scholar 

  • Ke X, Wang C, Zhang H et al (2015) Characterization of estrogenic receptor agonists and evaluation of estrogenic activity in the sediments of Liaohe River protected areas. Mar Pollut Bull 100(1):176–181

    CAS  Article  Google Scholar 

  • Ke X, Gui S, Huang H et al (2017) Ecological risk assessment and source identification for heavy metals in surface sediment from the Liaohe River protected area, China. Chemosphere 175:473

    CAS  Article  Google Scholar 

  • Lammel G, Audy O, Besis A et al (2015) Air and seawater pollution and air–sea gas exchange of persistent toxic substances in the Aegean Sea: spatial trends of PAHs, PCBs, OCPs and PBDEs. Environ Sci Pollut Res 22(15):11301

    CAS  Article  Google Scholar 

  • Lee WS, Chang-Chien GP, Wang LC et al (2004) Source identification of PCDD/Fs for various atmospheric environments in a highly industrialized city. Environ Sci Technol 38(19):4937

    CAS  Article  Google Scholar 

  • Li H, Sheng Y, Ye J et al (2016) Baseline survey of sediments and marine organisms in Liaohe Estuary: heavy metals, polychlorinated biphenyls and organ chlorine pesticides. Mar Pollut Bull 114(1):555

    Article  CAS  Google Scholar 

  • Liu X, Ren G, Fan Z et al (2010) Trends of precipitation extremes in the Haihe River Basin during 1961–2007. J Arid Land Resour Environ 24(8):85–90

    CAS  Google Scholar 

  • Maskaoui K, Zhou JL, Hong HS et al (2002) Contamination by polycyclic aromatic hydrocarbons in the Jiulong River Estuary and Western Xiamen Sea, China. Environ Pollut 118(1):109–122

    CAS  Article  Google Scholar 

  • Micheletti C, Critto A, Marcomini A (2007) Assessment of ecological risk from bioaccumulation of PCDD/Fs and dioxin-like PCBs in a coastal lagoon. Environ Int 33(1):45

    CAS  Article  Google Scholar 

  • Motelaymassei A, Ollivon D, Garban B et al (2007) PAHs in the bulk atmospheric deposition of the Seine river basin: source identification and apportionment by ratios, multivariate statistical techniques and scanning electron microscopy. Chemosphere 67(2):312–321

    CAS  Article  Google Scholar 

  • Muñoz-Arnanz J, Roscales JL, Ros M et al (2016) Towards the implementation of the Stockholm convention in Spain: five-year monitoring (2008–2013) of POPs in air based on passive sampling. Environ Pollut 217:107–113

    Article  CAS  Google Scholar 

  • Nunes MC, Reis RC, Colosimo EA et al (2011) Risk estimation approach in Chagas disease is still needed. Int J Cardiol 147(2):294–296

    Article  Google Scholar 

  • Omwoma S, Lalah JO, Virani M et al (2015) Dioxin-like PCBs and PCDD/Fs in surface sediments near the shore of Winam Gulf, Lake Victoria. Chemosphere 118C(1):143–147

    Article  CAS  Google Scholar 

  • Ren M, Peng P, Chen D et al (2009) Patterns and sources of PCDD/Fs and dioxin-like PCBs in surface sediments from the East River, China. J Hazard Mater 170(1):473

    CAS  Article  Google Scholar 

  • Stronkhorst J, Leonards P et al (2002) Using the dioxin receptor-CALUX in vitro bioassay to screen marine harbor sediments for compounds with a dioxin-like mode of action. Environ Toxicol Chem 21:2552–2561

    CAS  Google Scholar 

  • Sundqvist KL, Tysklind M, Cato I et al (2009a) Levels and homologue profiles of PCDD/Fs in sediments along the Swedish coast of the Baltic Sea. Environ Sci Pollut Res 16(4):396–409

    Article  Google Scholar 

  • Sundqvist KL, Tysklind M, Geladi P et al (2009b) Congener fingerprints of tetra- through octa-chlorinated dibenzo-p-dioxins and dibenzofurans in Baltic surface sediments and their relations to potential sources. Chemosphere 77(5):612–620

    CAS  Article  Google Scholar 

  • Sundqvist KL, Tysklind M, Geladi P et al (2010) PCDD/F source apportionment in the Baltic Sea using positive matrix factorization. Environ Sci Technol 44(5):1690–1697

    CAS  Article  Google Scholar 

  • Suzuki G, Someya M, Matsukami H et al (2016) Comprehensive evaluation of dioxins and dioxin-like compounds in surface soils and river sediments from e-waste-processing sites in a village in northern Vietnam: heading towards the environmentally sound management of e-waste. Emerg Contam 2(2):98–108

    Article  Google Scholar 

  • Tysklind M, Walker N et al (2006) The 2005 WHO reevaluation of human and mammalian toxic equivalency factors for dioxin and dioxin-like compounds. Toxicol Sci 93(2):223–241

    Article  CAS  Google Scholar 

  • US EPA (2001) Database of sources of environmental releases of dioxin like compounds in the United States (EPA/600/C-01/012). Office of Research and Development, Washington

    Google Scholar 

  • Berg MVD, Birnbaum L, Bosveld A et al (1998) Toxic equivalency factors (TEFs) for PCBs, PCDDs, PCDFs for humans and wildlife. Environ Health Perspect 106(12):775–792

    Article  Google Scholar 

  • Wang JB, Wang MS, Wu MY et al (2008) Approaches adopted to assess environmental impacts of PCDD/F emissions from a municipal solid waste incinerator. J Hazard Mater 152(3):968–975

    CAS  Article  Google Scholar 

  • Wei X, Leung KS, Wong MH et al (2011) Assessment of risk of PCDD/Fs and dioxin-like PCBs in marine and freshwater fish in Pearl River Delta, China. Mar Pollut Bull 63(5–12):166–171

    CAS  Article  Google Scholar 

  • Wen S, Hui Y, Yang FX et al (2008) Polychlorinated dibenzo-p-dioxins (PCDDs) and dibenzofurans (PCDFs) in surface sediment and bivalve from the Changjiang Estuary, China. Chin J Oceanol Limnol 26(1):35–44

    CAS  Article  Google Scholar 

  • Yan B, Abrajano TA, Bopp RF et al (2005) Molecular tracers of saturated and polycyclic aromatic hydrocarbon inputs into Central Park Lake, New York City. Environ Sci Technol 39(18):7012–7019

    CAS  Article  Google Scholar 

  • Zhang Y, Ke X, Gui S et al (2017) Evaluation of AhR-agonists and AhR-agonist activity in sediments of Liaohe River protected areas, China. Mar Pollut Bull 115(1–2):292

    CAS  Article  Google Scholar 

  • Zheng GJ, Leung AO, Jiao LP et al (2008) Polychlorinated dibenzo-p-dioxins and dibenzofurans pollution in China: sources, environmental levels and potential human health impacts. Environ Int 34(7):1050–1061

    CAS  Article  Google Scholar 

Download references

Acknowledgements

This study was supported by the Major Science and Technology Program for Water Pollution Control and Treatment (Grant No. 2012ZX07202-004-02).

Author information

Affiliations

Authors

Corresponding author

Correspondence to Xin Ke.

Rights and permissions

Reprints and Permissions

About this article

Verify currency and authenticity via CrossMark

Cite this article

Ke, X., Qi, Y., Bao, Q. et al. Concentrations, Sources, and TEQ of PCDD/Fs in Sediments from the Liaohe River Protected Areas. Arch Environ Contam Toxicol 76, 171–177 (2019). https://doi.org/10.1007/s00244-018-0567-1

Download citation

  • Received:

  • Accepted:

  • Published:

  • Issue Date:

  • DOI: https://doi.org/10.1007/s00244-018-0567-1