Skip to main content

Impact of Heavy Metals (Copper, Zinc, and Lead) on the Chlorophyll Content of Some Mosses

Abstract

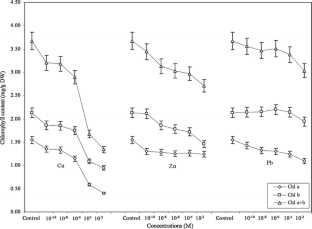
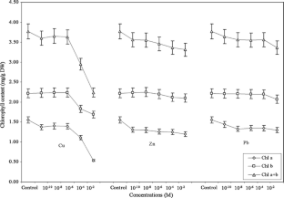
The effects of the heavy metals copper (Cu), zinc (Zn), and lead (Pb) on the chlorophyll content of two mosses Thuidium delicatulum (L.) Mitt. and T. sparsifolium (Mitt.) Jaeg., as well as leafy liverwort Ptychanthus striatus (Lehm. & Linderb.) were examined to understand the impact of metal accumulation on the chlorophyll content of mosses and leafy liverwort, which are found only in uncontaminated sites of the Kathmandu valley. These plants were treated with different concentrations of CuCl2, ZnCl2, and Pb(NO3)2, ranging from 10−10 M to 10−2 M, in isolation and in combination under experimental conditions. Metal accumulation in the plant bodies increased with metal concentrations. Cu accumulation showed a significant inhibitory effect on chlorophyll-a, chlorophyll-b, and total chlorophyll in the mosses and the leafy liverwort. An insignificant decrease in chlorophyll content in both Thuidium species, but a significant decrease in leafy liverwort, was observed after Zn and Pb accumulation. Chlorophyll-a decreased significantly in T. sparsifolium; chlorophyll-b and total chlorophyll decreased significantly in T. delicatulum; and all chlorophyll contents decreased insignificantly in P. striatus after accumulation of Cu+Zn+Pb ions together from mixed metal solution. The ratio of chlorophyll-a to -b decreased more rapidly in both Thuidium species, with higher concentrations occurring when Cu+Zn+Pb ions were together than when Cu, Zn, or Pb ions were alone. This indicated a more destructive effect of Cu metals on the chlorophyll contents of both Thuidium species. High concentrations of Cu are known to activate oxidative damage and alter cell-membrane properties by lipid peroxidation, thereby demonstrating the inhibitory effect on the enzymes involved in chlorophyll production. The greater loss of chlorophyll from heavy-metal accumulation in P. striatus than in T. delicatulum and T. sparsifolium may have been caused by relatively more K+ efflux in leafy liverwort than in the mosses, thus indicating their differences in membrane integrity.

This is a preview of subscription content, access via your institution.

Fig. 1
Fig. 2
Fig. 3
Fig. 4
Fig. 5

References

  • Aceto M, Abollino O, Conca R, Malandrino M, Mentasti E, Sarzanini C (2003) The use of mosses as environmental metal pollution indicators. Chemosphere 50:333–342

    Article  Google Scholar 

  • Ascaso C, Galvan J (1976) The ultrastructure of the symbionts of Rhizocarpon geographicum, Parmelia conspersa and Umbilicaira pustulata growing under dryness conditions. Protoplasma 87:409–418

    Article  Google Scholar 

  • Azeez PA, Banerjee DK (1986) Effect of copper and cadmium on carbon assimilation and uptake of metals by algae. Toxicol Environ Chem 12:77–87

    CAS  Google Scholar 

  • Backor M, Vaczi P (2002) Copper tolerance in the lichen photobiont Trebouxia erici (Chlorophyta). Environ Exp Bot 48(1):11–20

    Article  CAS  Google Scholar 

  • Barnes JD, Balaguer L, Manrique E, Elvira S, Davison AW (1992) A reappraisal of the use of DMSO for the extraction and determination of chlorophyll a and b in lichens and higher plants. Environ Exp Bot 32:85–100

    Article  CAS  Google Scholar 

  • Bidwell RGS (1979) Plant physiology, 2nd ed. Collier MacMillan, London, UK

    Google Scholar 

  • Branquinho C, Brown DH, Maguas C, Catarino F (1997) Lead (Pb) uptake and its effects on membrane integrity and chlorophyll fluorescence in different lichen species. Environ Exp Bot 37:95–105

    Article  CAS  Google Scholar 

  • Brown DH (1984) Uptake of mineral elements and their use in pollution monitoring. In: Dyer AF, Duckett JG (eds) The experimental biology of bryophytes. Academic, New York, NY, pp 229–255

    Google Scholar 

  • Brown DH, Buck GW (1985) The cellular location of metals in two bryophytes and a lichen. Cryptogam Bryol Lichenol 6:279–286

    CAS  Google Scholar 

  • Brown DH, Wells JM (1990) Physiological effects of heavy metals on the moss Rhytidiadelphus squarrosus. Ann Bot 66:641–647

    CAS  Google Scholar 

  • Brown DH, Brumelis G (1996) A biomonitoring method using the cellular distribution of metals in moss. Sci Total Environ 187:153–161

    Article  CAS  Google Scholar 

  • Burton MAS, Leseuer P, Puckett KJ (1981) Copper, nickel and thallium uptake by the lichen Cladina rangiferina. Can J Bot 59:91–100

    CAS  Google Scholar 

  • Carginale V, Sorbo S, Capasso C, Trinchella F, Cafiero G, Basile A (2004) Accumulation, localization and toxic effects of cadmium in the liverwort Lunularia cruciata. Protoplasma 223:53–61

    Article  CAS  Google Scholar 

  • Chettri MK, Sawidis T, Zachariadis GA, Stratis JA (1997a) Uptake of heavy metals by living and dead Cladonia thalli. Environ Exp Bot 37:39–52

    Article  CAS  Google Scholar 

  • Chettri MK, Sawidis T, Karataglis S (1997b) Lichens as a tool for biogeochemical prospecting. Ecotoxicol Environ Saf 38:322–335

    Article  CAS  Google Scholar 

  • Chettri MK, Cook CM, Vardaka E, Sawidis T, Lanaras T (1998) The effects of Cu, Zn and Pb on the chlorophyll content of the lichens Cladonia convoluta and Cladonia rangiformis. Environ Exp Bot 39:1–10

    Article  CAS  Google Scholar 

  • Choudhury S, Panda SK (2004a) Induction of oxidative stress and ultra structural changes in moss Taxithelium nepalense (Schwaegr.) Broth. under lead (Pb) and arsenic (As) phytotoxicity. Curr Sci 87:342–348

    CAS  Google Scholar 

  • Cumming JR, Taylor CJ (1990) Mechanisms of metal tolerance in plants: Physiological adaptations for exclusions of metal ions from the cytoplasm. In: Allen NS (ed) Stress responses in plants: Adaptation and acclimation. New York, Liss, pp 328–356

    Google Scholar 

  • Ernst WHO, Verkleij JAC, Schat H (1992) Metal tolerance in plants. Acta Bot Neer 141:229–248

    Google Scholar 

  • Fernandez JA, Ederra A, Nunez E, Martinez-Abaigar J, Infante M, Heras P, et al. (2002) Biomonitoring of metal deposition in northern Spain by moss analysis. Sci Total Environ 300:115–127

    Article  CAS  Google Scholar 

  • Garty J, Karary Y, Harel J (1992) Effect of low pH, heavy metals and anions on chlorophyll degradation in the lichen Ramalina duriaei (De Not.) Bagl. Environ Exp Bot 32:229–241

    Article  CAS  Google Scholar 

  • Guschina IA, Harwood JL (2002) Lipid metabolism in the moss Rhytidiadelphus squarrosus (Hedw.) Warnst. from lead-contaminated and non-contaminated populations. J Exp Bot 53:455–463

    Article  CAS  Google Scholar 

  • Hampp R, Lendzian K (1974) Effect of lead ions on chlorophyll synthesis. Naturwissensenschaften 61:218–219

    Article  CAS  Google Scholar 

  • Hart BA, Scaife BT (1977) Toxicity and bioaccumulation of cadmium in Chlorella pyrenoidosa. Environ Res 14:401–413

    Article  CAS  Google Scholar 

  • Kastori R, Plesnicar M, Sakac D, Pankovic D, Arsenihjevic-Maksimovic D (1998) Effect of excess lead on sunflower growth and photosynthesis. J Plant Nutr 21(1):75–85

    CAS  Google Scholar 

  • Knight AH, Crook WM, Inkson HE (1961) Cation exchange capacities of tissues of higher and lower plants and their related uronic acid content. Nature 192:142–143

    Article  CAS  Google Scholar 

  • Krupa Z, Baranowska M, Orzol D (1996) Can anthocyanins be considered as heavy metal indicator in higher plants? Acta Physiol Plant 18(2):147–151

    CAS  Google Scholar 

  • Kupper H, Kupper F, Spiller M (1998) In situ detection of heavy metal substituted chlorophylls in water plants. Photosynth Res 58:123–133

    Article  CAS  Google Scholar 

  • Kupper H, Setlik I, Spiller M, Kupper FC, Prasil O (2002) Heavy metal-induced inhibition of photosynthesis: Targets of in vivo heavy metal chlorophyll formation. J Phycol 38:429–441

    Article  CAS  Google Scholar 

  • Markert B, Herpin U, Siewers U, Berlekamp J, Lieth H (1996) The German heavy metal survey by means of mosses. Sci Total Environ 182:159–168

    Article  CAS  Google Scholar 

  • McGrath SP (1982) The uptake and translocation of trivalent and hexavalent chromium and effects on the growth of oat in flowering nutrient solution and in soil. New Phytol 92:381–390

    Article  CAS  Google Scholar 

  • Mocquot B, Vangronsveld J, Clijsters H, Mench M (1996) Copper toxicity in young maize (Zea mays L.) plants: effects on growth, mineral and chlorophyll contents and enzyme activities. Plant Soil 182:287–300

    CAS  Google Scholar 

  • Monni S, Uhlig C, Hansen E, Magel E (2001) Ecophysiological responses of Empetrum nigrum to heavy metal pollution. Environ Pollut 112:121–129

    Article  CAS  Google Scholar 

  • Nieboer E, Richardson DHS, Lavoie P, Padovan D (1979) The role of metal-ion binding in modifying the toxic effects of sulphur dioxide on the lichen Umbilicaria muhlenbergii II: Potassium efflux studies. New Phytol 82:621–632

    Article  CAS  Google Scholar 

  • Nieboer E, Richardson DHS (1980) The replacement of non-descript term “heavy metals” by a biologically and chemically significant classification of metal ions. Environ Pollut 1:3–26

    CAS  Google Scholar 

  • Niewiadomska E, Jarowiecka D, Czanota P (1998) Effect of different levels of air pollution on photosynthetic activity of some lichens. Acta Soc Bot Pol Pol Tow Bot 67:259–262

    Google Scholar 

  • Pakarinen P (1978) Distribution of heavy metals in the Sphagnum mosses in NW Europe. Ann Bot Fennici 18:281–292

    Google Scholar 

  • Panda SK, Patra HK (1998) Role of nitrate and ammonium ions on chromium toxicity in developing wheat seedlings. Proc Nat Acad Sci India 70:75–80

    Google Scholar 

  • Panda SK, Chaudhury I, Khan MH (2003) Heavy metals induce lipid peroxidation and affect antioxidants in wheat leaves. Biol Plant 46:289–294

    Article  CAS  Google Scholar 

  • Panda SK, Choudhury S (2005) Chromium stress in plants. Braz. J Plant Physiol 17:131–136

    Google Scholar 

  • Patsikka E, Kairavuo M, Sersen F, Aro E-M, Tyystjarvi E (2002) Excess copper predisposes photosystem II to photoinhibition in vivo by outcompeting iron and causing decrease in leaf chlorophyll. Plant Physiol 129:1359–1367

    Article  CAS  Google Scholar 

  • Popper ZA, Fry SC (2003) Primary cell wall composition of Bryophytes and Charophytes. Ann Bot 91:1–12

    Article  CAS  Google Scholar 

  • Puckett KJ (1976) The effect of heavy metals on some aspects of lichen physiology. Can J Bot 54:2695–2703

    CAS  Google Scholar 

  • Puckett KJ (1988) Bryophytes and lichens as monitors of metal deposition. In: Nash TH, Wirth V (eds) Lichens, bryophytes and air quality. J Cramer, Berlin

    Google Scholar 

  • Quartacci MF, Cosi E, Navari-Izzo F (2001) Lipids and NADPH dependent superoxide production in plasma membrane vesicle from roots of wheat grown under copper deficiency or excess. J Exp Bot 52:77–84

    Article  CAS  Google Scholar 

  • Ruhling A, Tyler G (1970) Sorption and retention of heavy metals in the woodland moss Hylocomium splendens (Hedw.) Br Et Sch Oikos 21:92–97

    Article  CAS  Google Scholar 

  • Samecka-Cymerman A, Kolon K, Kempers A, Jansen J, Boonen B (2005) Bioaccumulation of elements in bryophytes from Serra da Estrela, Portugal, and Veluwezoom, the Netherlands. Environ Sci Pollut Res 12(2):71–79

    Article  CAS  Google Scholar 

  • Sandmann G, Boger O (1980) Copper-mediated lipid peroxidation processes in photosynthetic membranes. Plant Physiol 66:797–800

    CAS  Article  Google Scholar 

  • Sawidis T, Zachariadis G, Stratis J, Ladoukakis E (1993) Mosses as biological indicators for monitoring of heavy metal pollution. Fresenius Environ Bull 2:193–199

    CAS  Google Scholar 

  • Shakya K, Chettri MK, Sawidis T (2004) Appraisal of some mosses for biomonitoring air borne heavy metals in Kathmandu valley. Ecoprint 2(1):35–49

    Google Scholar 

  • Tarhanen S, Metsarinne S, Holopainen T, Oksanen J (1999) Membrane permeability response of lichen Bryoria fuscescens to wet deposited heavy metals and acid rain. Environ Pollut 104:121–129

    Article  CAS  Google Scholar 

  • Tremper AH, Agneta M, Burton S, Higgs DEB (2004) Field and laboratory exposures of two moss species to low level metal pollution. J Atom Chem 49(1–3):111–120

    Article  CAS  Google Scholar 

  • Tyler G (1970) Moss analysis―A method for surveying heavy metal deposition. In: England HM, Berry WT (eds) Proceedings of the Second International Clean Air Congress. Academic, New York, NY

    Google Scholar 

  • Tyler G (1989) Uptake, retention and toxicity of heavy metals in lichens. Water Air Soil Pollut 47:321–333

    Article  CAS  Google Scholar 

  • Tyler G (1990) Bryophytes and heavy metals: A literature review. Bot J Linn Soc 104:231–253

    Article  Google Scholar 

  • Vajpayee P, Tripati RD, Rai UN, Ali MB, Singh SN (2000) Chromiun accumulation reduces chlorophyll biosynthesis, nitrate reductase activity and protein content of Nymphaea alba. Chemosphere 41:1075–1082

    Article  CAS  Google Scholar 

  • Van Assche F, Clijsters H (1990) Effects of heavy metals on enzyme activity in plants. Plant Cell Environ 13:195–206

    Article  Google Scholar 

  • Welz B (1985) Atomic absorption spectrometry. VCH Weinheim, Germany

    Google Scholar 

  • Wolterbeek H, Kuik P, Verburg TG, Herpin U, Markert B, Thoni L (1995) Moss interspecies comparisons in trace element concentrations. Environ Monit Assess 35:263–286

    Article  CAS  Google Scholar 

  • Woolhouse HW (1983) Toxicity and tolerance in the responses of plants to metals. In: Lange OL, Nobel PS, Osmond CB, Ziegler H (eds) Encyclopedia of plant physiology. Springer-Verlag, Berlin, Germany, pp 245–300

    Google Scholar 

  • Wozny A, Krzeslowska M (1993) Plant cell response to Pb. Acta Soc Bot Pol Pol Tow Bot 62:101–105

    CAS  Google Scholar 

  • Zechmeister HG (1998) Annual growth of four pleurocarpous moss species and their applicability for biomonitoring heavy metals. Environmental Monit Assess 52:441–451

    Article  CAS  Google Scholar 

Download references

Acknowledgments

The scholarship provided to the first investigator by the Nepal Academy for Science and Technology (Khumaltar, Lalitpur) is gratefully acknowledged. We thank the Department of Botany, Amrit campus, Tribhuvan University, Kathmandu, and Nepal Bureau of Standards and Metrology (Balaju, Kathmandu) for providing laboratory facilities. Sincere thanks are given to V. and D. C. Zhang for moss identification.

Author information

Affiliations

Authors

Corresponding author

Correspondence to K. Shakya.

Rights and permissions

Reprints and Permissions

About this article

Cite this article

Shakya, K., Chettri, M.K. & Sawidis, T. Impact of Heavy Metals (Copper, Zinc, and Lead) on the Chlorophyll Content of Some Mosses. Arch Environ Contam Toxicol 54, 412–421 (2008). https://doi.org/10.1007/s00244-007-9060-y

Download citation

  • Published:

  • Issue Date:

  • DOI: https://doi.org/10.1007/s00244-007-9060-y

Keywords

  • Heavy Metal
  • Chlorophyll
  • Chlorophyll Content
  • Total Chlorophyll
  • Total Chlorophyll Content