Abstract
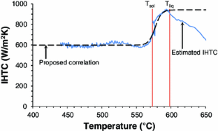
Interfacial heat transfer coefficient at the metal–mold interface (IHTC) was estimated by an iterative algorithm based on the function specification method. An Al–9 wt% Si alloy plate casting was made in a sand mold prepared by CO2 process. Thermal history obtained from the experiment was used to solve an inverse heat conduction problem. Acquired transient IHTC values are then given in function of the casting surface temperature at the interface. By comparing the obtained results with previous findings, the influence of grain fineness number and consequently of mold roughness on maximum IHTC values is revealed.








Similar content being viewed by others
Abbreviations
- A :
-
Surface area (m2)
- c p :
-
Specific heat (J kg−1 °C−1)
- F O :
-
Fourier number
- h :
-
Interfacial heat transfer coefficient (W m−2 °C−1)
- k :
-
Thermal conductivity (W m−1 °C−1)
- M :
-
Number of considered measurements
- n :
-
Iteration number
- N :
-
Number of cells in the mold subdomain
- q :
-
Heat flux at the metal–mold interface (W m−2)
- Ra :
-
Average roughness (μm)
- S :
-
Objective function
- T :
-
Calculated temperature (°C)
- V :
-
Volume (m3)
- x :
-
Cartesian coordinate (m)
- X :
-
Sensitivity coefficient
- Y :
-
Measured value of temperature (°C)
- Δx :
-
Cell width (m)
- t :
-
Thermocouple response time (s)
- Δτ:
-
Time increment (s)
- ρ :
-
Density (kg m−3)
- τ :
-
Time (s)
- ε :
-
Incremental value
- CS :
-
Casting surface
- I, II and III :
-
Mold subdomains
- ini :
-
Initial
- liq :
-
Liquidus temperature
- m :
-
Nodal point considered
- m2, m3 and m4:
-
Nodal points corresponding to locations of thermocouples TC2, TC3 and TC4 respectively
- MS :
-
Mold surface
- r :
-
Considered subdomain
- sol :
-
Solidus temperature
- TC :
-
Thermocouple
- f :
-
Number of future time steps for which the heat flux is constant
- p :
-
Time step
- j :
-
Time step of internal regularization loop
References
Lewis RW, Manzari MT, Ransing RS, Gethin DT (2000) Casting shape optimisation via process modeling. Mater Des 21:381–386
Kim Y-C, Kang C-S, Cho J-I, Jeong C-Y, Choi S-W, Hong S-K (2008) Die casting mold design of the thin-walled aluminum case by computational solidification simulation. J Mater Sci Technol 34:383–388
Sun Z, Zhang X, Niu X, Yu A, Hu H (2011) Numerical simulation of heat transfer in pressurized solidification of magnesium alloy AM50. Heat Mass Transf 47:1241–1249
Sadat M, Gheysari AH, Sadat S (2011) The effects of casting speed on steel continuous casting process. Heat Mass Transf 47:1601–1609
Griffiths WD (1999) The heat-transfer coefficient during the unidirectional solidification of an Al–Si alloy casting. Metall Mater Trans B 30B:473–482
Griffiths WD, Kawai K (2010) The effect of increased pressure on interfacial heat transfer in the aluminium gravity die casting process. J Mater Sci 45:2330–2339
Narayan Prabhu K, Ravishankar BN (2003) Effect of modification melt treatment on casting/chill interfacial heat transfer and electrical conductivity of Al–13% Si alloy. Mater Sci Eng A360:293–298
Kim H-S, Cho I-S, Shin J-S, Lee S-M, Moon B-M (2005) Solidification parameters dependent on interfacial heat transfer coefficient between aluminum casting and copper mold. ISIJ Int 45:192–198
Meneghini A, Tomesani L (2005) Chill material size effects on HTC evolution in sand casting of aluminum alloys. J Mater Process Technol 162–163:534–539
Arunkumar S, Sreenivas Rao KV, Prasanna Kumar TS (2008) Spatial variation of heat flux at the metal–mold interface due to mold filling effects in gravity die-casting. Int J Heat Mass Transf 51:2676–2685
Hamasaiid A, Dargusch MS, Davidson CJ, Tovar S, Loulou T, Rezai-Aria F, Dour G (2007) Effect of mold coating materials and thickness on heat transfer in permanent mold casting of aluminum alloys. Metall Mater Trans A 38A:1303–1316
Griffiths WD, Kayikci R (2007) The effect of varying chill surface roughness on interfacial heat transfer during casting solidification. J Mater Sci 42:4036–4043
Prasanna Kumar TS, Kamath HC (2004) Estimation of multiple heat-flux components at the metal/mold interface in bar and plate aluminum alloy castings. Metall Mater Trans B 35B:575–585
Coates B, Argyropoulos SA (2007) The effects of surface roughness and metal temperature on the heat-transfer coefficient at the metal mold interface. Metall Mater Trans B 38B:243–255
Sahin HM, Kocatepe K, Kayikci R, Akar N (2006) Determination of unidirectional heat transfer coefficient during unsteady-state solidification at metal casting–chill interface. Energy Convers Manag 47:19–34
Rajaraman R, Velraj R (2008) Comparison of interfacial heat transfer coefficient estimated by two different techniques during solidification of cylindrical aluminum alloy casting. Heat Mass Transf 44:1025–1034
Trovant M, Argyropoulos S (2000) Finding boundary conditions: a coupling strategy for the modeling of metal casting processes: part I. Experimental study and correlation development. Metall Mater Trans B 31B:75–86
Anderson JT, Gethin DT, Lewis RW, Cross JT (1997) Experimental investigation and finite element modeling in gravity die casting. Proc Inst Mech Eng 211B:93–107
Kovačević L, Terek P, Kakaš D, Miletić A (2012) A correlation to describe interfacial heat transfer coefficient during solidification of Al–Si alloy casting. J Mater Process Technol 212:1856–1861
Kovačević L, Terek P, Kakaš D, Miletić A, Kukuruzović D (2013) Determination of metal–mold heat transfer coefficient during CO2 sand casting. In: Proceedings and book of abstracts of metallurgical and materials engineering congress of South-East Europe, Belgrade, Serbia, 312–319
Woodbury KA (1990) Effect of thermocouple sensor dynamics on surface heat flux predictions obtained via inverse heat transfer analysis. Int J Heat Mass Transf 33:2641–2649
Caron E, Daun KJ, Wells MA (2013) Experimental characterization of heat transfer coefficients during hot forming die quenching of boron steel. Metall Mater Trans B 44B:332–343
Beck JV, Blackwell B, St. Clair CR Jr (1985) Inverse heat conduction: ill-posed problems. Wiley-Interscience, New York
Yu K-O (2002) Modeling for casting and solidification processing. Marcel Dekker, New York
Dour G, Dargusch M, Davidson C (2006) Recommendations and guidelines for the performance of accurate heat transfer measurements in rapid forming processes. Int J Heat Mass Transf 49:1773–1789
Cellini GS, Tomesani L (2008) Metal head-dependent HTC in sand casting simulation of aluminium alloys. J Achiev Mater Manuf Eng 2:47–52
Lewis RW, Ransing RS (1998) A correlation to describe interfacial heat transfer during solidification simulation and its use in the optimal feeding design of castings. Metall Mater Trans B 29B:437–448
Acknowledgments
The authors gratefully acknowledge financial support provided by the Serbian Ministry of Education, Science and Technological Development.
Author information
Authors and Affiliations
Corresponding author
Rights and permissions
About this article
Cite this article
Kovačević, L., Terek, P., Miletić, A. et al. Dependence of interfacial heat transfer coefficient on casting surface temperature during solidification of Al–Si alloy castings cast in CO2 sand mold. Heat Mass Transfer 50, 1115–1124 (2014). https://doi.org/10.1007/s00231-014-1326-0
Received:
Accepted:
Published:
Issue Date:
DOI: https://doi.org/10.1007/s00231-014-1326-0


