Skip to main content

Effect of fish oil supplement in maintenance hemodialysis patients: a systematic review and meta-analysis of published randomized controlled trials

Abstract

Purpose

The purpose of this study was to systematically assess the efficacy of fish oil therapy on maintenance hemodialysis patients (MHD).

Methods

Electronic databases, including PubMed, Cochrane library, EMBase, and Web of Science, were searched for randomized controlled trials (RCTs) of fish oil versus placebo or no treatment in MHD patients. The study selection and data extraction were conducted independently by two reviewers, and statistical analysis was performed using RevMan software, version 5.2.

Results

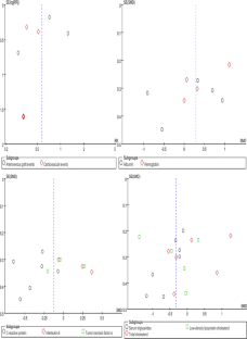
A total of thirteen eligible RCTs involving 916 subjects (461 in the experimental group and 455 in the control group) were included. The meta-analysis showed that fish oil significantly reduced arteriovenous graft (AV-graft) events [risk ratio (RR) 0.71, 95 % confidence interval (CI) were (0.52, 0.97)] and cardiovascular events [RR (95 %CI) were 0.41 (0.26, 0.66)] in the fish oil group. In addition, compared with the control group, fish oil significantly decreased the Beck Depression Inventory (BDI) score [weighted mean difference (WMD) (95 %CI) were −11.91 (−15.88, −7.95)], serum intact parathyroidism (iPTH), C-reactive protein (CRP), and triglycerides (TG) [standard mean difference (SMD) (95 %CI) were −0.56 (−0.89, −0.23); −0.36 (−0.63, −0.09), and −0.41 (−0.68, −0.14), respectively]. However, the fish oil group did not differ significantly from the control group in albumin (ALB), hemoglobin (Hb), interleukin-6 (IL-6), tumor necrosis factor-α (TNF-α), total cholesterol (TC), low-density lipoprotein cholesterol (LDL-c), and mortality.

Conclusions

Fish oil reduced the risk of AV-graft events and cardiovascular events, and alleviated depression symptoms in MHD patients. It can also improve secondary hyperparathyroidism, micro-inflammation, and hypertriglyceridemia. But there is no evidence that fish oil can improve nutritional status and renal anemia.

This is a preview of subscription content, access via your institution.

Fig. 1
Fig. 2
Fig. 3
Fig. 4
Fig. 5
Fig. 6

References

  1. Kalender B, Ozdemir AC, Koroglu G (2006) Association of depression with markers of nutrition and inflammation in chronic kidney disease and end-stage renal disease. Nephron Clin Pract 102:c115–c121

    PubMed  CAS  Article  Google Scholar 

  2. Friedman A, Moe S (2006) Review of the effects of omega-3 supplementation in dialysis patients. Clin J Am Soc Nephrol 47:1064–1071

    CAS  Google Scholar 

  3. De Caterina R (2011) n-3 fatty acids in cardiovascular disease. N Engl J Med 364:2439–2450

    PubMed  Article  Google Scholar 

  4. Cohen SD, Norris L, Acquaviva K et al (2007) Screening, diagnosis, and treatment of depression in patients with end stage renal disease. Clin J Am Soc Nephrol 2:1332–1342

    PubMed  CAS  Article  Google Scholar 

  5. Vernaglione L, Cristofano C, Chimienti S (2008) Omega-3 polyunsaturated fatty acids and proxies of cardiovascular disease in hemodialysis: a prospective cohort study. J Nephrol 21:99–105

    PubMed  CAS  Google Scholar 

  6. Rizos EC, Ntzani EE, Bika E et al (2012) Association between omega-3 fatty acid supplementation and risk of major cardiovascular disease events: a systematic review and meta-analysis. JAMA 308(10):1024–1033

    PubMed  CAS  Article  Google Scholar 

  7. Kwak SM, Myung SK, Lee YJ et al (2012) Efficacy of omega-3 fatty acid supplements (eicosapentaenoic acid and docosahexaenoic acid) in the secondary prevention of cardiovascular disease: a meta-analysis of randomized, double-blind, placebo-controlled trials. Arch Intern Med 172(9):686–694

    PubMed  CAS  Article  Google Scholar 

  8. Rasic-Milutinovic Z, Perunicic G, Pljesa S et al (2007) Effects of n-3 PUFAs supplementation on insulin resistance and inflammatory biomarkers in hemodialysispatients. Ren Fail 29:321–329

    PubMed  CAS  Article  Google Scholar 

  9. Bowden RG, Wilson RL, Deike E et al (2009) Fish oil supplementation lowers C-reactive protein levels independent of triglyceride reduction in patients with end-stage renal disease. Nutr Clin Pract 24:508–512

    PubMed  Article  Google Scholar 

  10. Tayyebi-Khosroshahi H, Houshyar J, Dehgan-Hesari R et al (2012) Effect of treatment with omega-3 fatty acids on C-reactive protein and tumor necrosis factor-alfa in hemodialysis patients. Saudi J Kidney Dis Transpl 23(3):500–506

    PubMed  Google Scholar 

  11. Perunicic-Pekovic GB, Rasic ZR, Pljesa SI et al (2007) Effect of n-3 fatty acids on nutritional status and inflammatory markers in haemodialysis patients. Nephrology (Carlton) 12:331–336

    CAS  Article  Google Scholar 

  12. Noori N, Dukkipati R, Kovesdy CP et al (2011) Dietary omega-3 fatty acid, ratio of omega-6 to omega-3 intake, inflammation, and survival in long-term hemodialysis patients. Am J Kidney Dis 58:248–256

    PubMed  CAS  PubMed Central  Article  Google Scholar 

  13. Szklarek-Kubicka M, Fijałkowska-Morawska J, Zaremba-Drobnik D et al (2009) Effect of intradialytic intravenous administration of omega-3 fatty acids on nutritional status and inflammatory response in hemodialysis patients: a pilot study. J Ren Nutr 19(6):487–493

    PubMed  CAS  Article  Google Scholar 

  14. Jadad AR, Moore RA, Carroll D et al (1996) Assessing the quality of reports of randomized clinical trials: is blinding necessary? Control Clin Trials 17:1–12

    PubMed  CAS  Article  Google Scholar 

  15. Moher D, Pham B, Jones A, Cook DJ, Jadad AR, Moher M et al (1998) Does quality of reports of randomised trials affect estimates of intervention efficacy reported in meta-analyses? Lancet 352:609–613

    PubMed  CAS  Article  Google Scholar 

  16. Review Manager (RevMan) [Computer program] (2012) Version 5.2. Copenhagen: the Nordic Cochrane centre, the Cochrane collaboration

  17. Svensson M, Schmidt EB, Jørgensen KA et al (2008) The effect of n-3 fatty acids on lipids and lipoproteins in patients treated with chronic haemodialysis: a randomized placebo-controlled intervention study. Nephrol Dial Transplant 23(9):2918–2924

    PubMed  CAS  Article  Google Scholar 

  18. Schmitz PG, McCloud LK, Reikes ST et al (2002) Prophylaxis of hemodialysis graft thrombosis with fish oil: double-blind, randomized, prospective trial. J Am Soc Nephrol 13(1):184–90

    PubMed  CAS  Google Scholar 

  19. Tayebi-Khosroshahi H, Dehgan R, Habibi Asl B et al (2013) Effect of omega-3 supplementation on serum level of homocysteine in hemodialysis patients. Iran J Kidney Dis 7(6):479–84

    PubMed  Google Scholar 

  20. Saifullah A, Watkins BA, Saha C et al (2007) Oral fish oil supplementation raises blood omega-3 levels and lowers C-reactive protein in haemodialysis patients–a pilot study. Nephrol Dial Transplant 22(12):3561–7

    PubMed  CAS  Article  Google Scholar 

  21. Svensson M, Schmidt EB, Jørgensen KA et al (2006) n-3 fatty acids as secondary prevention against cardiovascular events in patients who undergo chronic hemodialysis: a randomized, placebo-controlled intervention trial. Clin J Am Soc Nephrol 1(4):780–786

    PubMed  CAS  Article  Google Scholar 

  22. Poulia KA, Panagiotakos DB, Tourlede E et al (2011) Omega-3 fatty acids supplementation does not affect serum lipids in chronic hemodialysis patients. J Ren Nutr 21(6):479–484

    PubMed  CAS  Article  Google Scholar 

  23. Lok CE, Moist L, Hemmelgarn BR et al (2012) Effect of fish oil supplementation on graft patency and cardiovascular events among patients with new synthetic arteriovenous hemodialysis grafts: a randomized controlled trial. JAMA 307(17):1809–16

    PubMed  CAS  PubMed Central  Article  Google Scholar 

  24. Daud ZA, Tubie B, Adams J et al (2012) Effects of protein and omega-3 supplementation, provided during regular dialysis sessions, on nutritional and inflammatory indices in hemodialysis patients. Vasc Health Risk Manag 8:187–195

    PubMed  PubMed Central  Google Scholar 

  25. Gharekhani A, Khatami MR, Dashti-Khavidaki S et al (2014) The effect of omega-3 fatty acids on depressive symptomsand inflammatorymarkers in maintenance hemodialysis patients: a randomized, placebo-controlled clinical trial. Eur J Clin Pharmacol 70:655–666

    PubMed  CAS  Article  Google Scholar 

  26. Kooshki A, Taleban FA, Tabibi H et al (2011) Effects of marine omega-3 fatty acids on serum systemic and vascular inflammation markers and oxidative stress in hemodialysis patients. Ann Nutr Metab 58(3):197–202

    PubMed  CAS  Article  Google Scholar 

  27. Hung AM, Booker C, Ellis CD et al (2015) Omega-3 fatty acids inhibit the up-regulation of endothelial chemokines in maintenance hemodialysis patients. Nephrol Dial Transplant 30(2):266–274

    PubMed  Article  Google Scholar 

  28. Bowden RG, Wilson RL, Gentile M et al (2007) Effects of omega-3 fatty acid supplementation on vascular access thrombosis in polytetrafluorethylene grafts. J Ren Nutr 17(2):126–131

    PubMed  Article  Google Scholar 

  29. Dashti-Khavidaki S, Gharekhani A, Khatami MR et al (2014) Effects of omega-3 fatty acids on depression and quality of life in maintenance hemodialysis patients. Am J Ther 21(4):275–287

    PubMed  Google Scholar 

  30. Yevzlin AS, Chan MR, Becker YT et al (2010) “Venopathy” at work: recasting neointimal hyperplasia in a new light. Transl Res 156:216–25

    PubMed  PubMed Central  Article  Google Scholar 

  31. He K, Song Y, Daviglus M et al (2004) Accumulated evidence on fish consumption and coronary heart disease mortality: a meta-analysis of cohort studies. Circulation 109:2705–2711

    PubMed  Article  Google Scholar 

  32. Enns JE, Yeganeh A, Zarychanski R et al (2014) The impact of omega-3 polyunsaturated fatty acid supplementation on the incidence of cardiovascular events and complications in peripheral arterial disease: a systematic review and meta-analysis. BMC Cardiovasc Disord 14:70

    PubMed  PubMed Central  Article  Google Scholar 

  33. Taraz M, Khatami MR, Gharekhani A et al (2012) Relationship between a pro- and anti-inflammatory cytokine imbalance and depression in hemodialysis patients. Eur Cytokine Netw 23:179–186

    PubMed  CAS  Google Scholar 

  34. Chilcot J, Wellsted D, Farrington K (2010) Depression in end-stage renal disease: current advances and research. Semin Dial 23:74–82

    PubMed  Article  Google Scholar 

  35. Vaváková M, Ďuračková Z, Trebatická J (2015) Markers of oxidative stress and neuroprogression in depression disorder. Oxid Med Cell Longev 2015:898393

    PubMed  PubMed Central  Article  Google Scholar 

  36. Chalon S (2006) Omega-3 fatty acids and monoamine neurotransmission. Prostaglandins Leukot Essent Fatty Acids 75:259–269

    PubMed  CAS  Article  Google Scholar 

  37. Farooqui AA, Ong WY, Horrocks LA (2006) Inhibitors of brain phospholipase A2 activity: their neuropharmacological effects and therapeutic importance for the treatment of neurologic disorders. Pharmacol Rev 58:591–620

    PubMed  CAS  Article  Google Scholar 

  38. Ewers B, Riserus U, Marckmann P (2009) Effects of unsaturated fat dietary supplements on blood lipids, and on markers of malnutrition and inflammation in hemodialysis patients. J Ren Nutr 19(5):401–411

    PubMed  CAS  Article  Google Scholar 

  39. Gharekhani A, Khatami MR, Dashti-Khavidaki S et al (2014) Effects of oral supplementation with omega-3 fatty acids on nutritional state and inflammatory markers in maintenance hemodialysis patients. J Ren Nutr 24(3):177–185

    PubMed  CAS  Article  Google Scholar 

  40. Young P, Lombi F, Finn BC et al (2011) “Malnutrition-inflammation complex syndrome” in chronic hemodialysis. Med B Aires 71(1):66–72

    Google Scholar 

  41. Gebauer SK, Psota TL, Harris WS et al (2006) n-3 fatty acid dietary recommendations and food sources to achieve essentiality and cardiovascular benefits. Am J Clin Nutr 83(Suppl 6):1526S–1535S

    PubMed  CAS  Google Scholar 

Download references

Acknowledgments

This work was supported by the National Natural Science Foundation of China (Grant No. 81000304) and the Hubei Provincial Natural Science Foundation of China (Grant No. 2010CDB00402).

Author’s contributions

Lei He and Ping Gao contributed to the study design, data analysis and manuscript. Meng-si Li, Mei Lin, and Tian-ya Zhao performed the article review, Meng-si Li and Mei Lin helped with the data analysis. All authors read and approved the final manuscript.

Author information

Affiliations

Authors

Corresponding author

Correspondence to Ping Gao.

Ethics declarations

Conflict of interest

The authors declare that they have no competing of interests.

Rights and permissions

Reprints and Permissions

About this article

Verify currency and authenticity via CrossMark

Cite this article

He, L., Li, Ms., Lin, M. et al. Effect of fish oil supplement in maintenance hemodialysis patients: a systematic review and meta-analysis of published randomized controlled trials. Eur J Clin Pharmacol 72, 129–139 (2016). https://doi.org/10.1007/s00228-015-1976-y

Download citation

  • Received:

  • Accepted:

  • Published:

  • Issue Date:

  • DOI: https://doi.org/10.1007/s00228-015-1976-y

Keywords

  • Fish oil
  • Maintenance hemodialysis
  • Meta-analysis
  • Randomized controlled trial