Skip to main content

Combination paracetamol and ibuprofen for pain relief after oral surgery: a dose ranging study

Abstract

Purpose

Combined paracetamol and ibuprofen has been shown to be more effective than either constituent alone for acute pain in adults, but the dose-response has not been confirmed. The aim of this study was to define the analgesic dose-response relationship of different potential doses of a fixed dose combination containing paracetamol and ibuprofen after third molar surgery.

Methods

Patients aged 16 to 60 years with moderate or severe pain after the removal of at least two impacted third molars were randomised to receive double-blind study medication as two tablets every 6 h for 24 h of either of the following: two tablet, combination full dose (paracetamol 1000 mg and ibuprofen 300 mg); one tablet, combination half dose (paracetamol 500 mg and ibuprofen 150 mg); half a tablet, combination quarter dose (paracetamol 250 mg and ibuprofen 75 mg); or placebo. The primary outcome measure was the time-adjusted summed pain intensity difference over 24 h (SPID 24) calculated from the 100-mm VAS assessments collected over multiple time points for the study duration.

Results

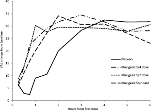
Data from 159 patients were included in the analysis. Mean (SD) time-adjusted SPID over 24 h were full-dose combination 20.1 (18.0), half dose combination 20.4 (20.8), quarter dose combination 19.3 (20.0) and placebo 6.6 (19.8). There was a significant overall effect of dose (p = 0.002) on the primary outcome. Planned pairwise comparisons showed that all combination dose groups were superior to placebo (full dose vs. placebo p = 0.004, half dose vs. placebo p = 0.002, quarter dose vs. placebo p = 0.002). The overall effect of dose was also significant for maximum VAS pain intensity score (p = 0.048), response rate (p = 0.0094), percentage of participants requiring rescue (p = 0.025) and amount of rescue (p < 0.001). No significant dose effect was found for time to peak reduction in VAS or time to meaningful pain relief. The majority of adverse events recorded were of mild (52.75 %) or moderate (40.16 %) severity and not related (30.7 %) or unlikely related (57.5 %) to the study medication.

Conclusion

All doses of the combination provide safe superior pain relief to placebo in adult patients following third molar removal surgery.

This is a preview of subscription content, access via your institution.

Fig. 1
Fig. 2
Fig. 3

References

  1. Altman RD (2004) A rationale for combining acetaminophen and NSAIDs for mild-to-moderate pain. Clin Exp Rheumatol 22(1):110–117

    CAS  PubMed  Google Scholar 

  2. Lee WM (2004) Acetaminophen and the U.S. Acute Liver Failure Study Group: lowering the risks of hepatic failure. Hepatol Baltim Md 40(1):6–9

    Article  CAS  Google Scholar 

  3. Anderson BJ (2013) Is it farewell to codeine? Arch Dis Child 98:986–988

    Article  PubMed  Google Scholar 

  4. Herr K (2002) Chronic pain in ther older patient: management strategies. J Gerontol Nurs 28(2):28–34

    Article  PubMed  Google Scholar 

  5. Bloor M, Paech M (2013) Nonsteroidal anti-inflammatory drugs during pregnancy and the initiation of lactation. Anesth Analg 116(5):1063–1075

    Article  CAS  PubMed  Google Scholar 

  6. EMEA/CHMP/410051/2006. Opinion of the committee for Medicinal Products for Human Use Pursuant to Articles 5 (3) of Regulation (EC) No 726/2004 FNN-s [Internet]. [cited 2015 Jan 26]. Available from: http://www.ema.europa.eu/docs/en_GB/document_library/Other/2010/01/WC500054342.pdf

  7. Marcum ZA, Hanlon JT (2010) Recognizing the risks of chronic nonsteroidal anti-inflammatory drug use in older adults. Ann Long Term Care Off J Am Med Dir Assoc 18(9):24

    Google Scholar 

  8. Merry AF, Gibbs RD, Edwards J, Ting GS, Frampton C, Davies E et al (2010) Combined acetaminophen and ibuprofen for pain relief after oral surgery in adults: a randomized controlled trial. Br J Anaesth 104(1):80–88

    Article  PubMed Central  CAS  PubMed  Google Scholar 

  9. Cooper SA, Desjardins PJ (2010) The value of the dental impaction pain model in drug development. Methods Mol Biol Clifton NJ 617:175–190

    Article  CAS  Google Scholar 

  10. Singla NK, Desjardins PJ, Chang PD (2014) A comparison of the clinical and experimental characteristics of four acute surgical pain models: dental extraction, bunionectomy, joint replacement, and soft tissue surgery. Pain 155(3):441–456

    Article  PubMed  Google Scholar 

  11. Urquhart E (1994) Analgesic agents and strategies in the dental pain model. J Dent 22(6):336–341

    Article  CAS  PubMed  Google Scholar 

  12. Nørholt SE (1998) Treatment of acute pain following removal of mandibular third molars. Use of the dental pain model in pharmacological research and development of a comparable animal model. Int J Oral Maxillofac Surg 27(Suppl 1):1–41

    Article  PubMed  Google Scholar 

  13. Desjardins P, Black P, Papageorge M, Norwood T, Shen DD, Norris L et al (2002) Ibuprofen arginate provides effective relief from postoperative dental pain with a more rapid onset of action than ibuprofen. Eur J Clin Pharmacol 58(6):387–394

    Article  CAS  PubMed  Google Scholar 

  14. Schou S, Nielsen H, Nattestad A, Hillerup S, Ritzau M, Branebjerg PE et al (1998) Analgesic dose-response relationship of ibuprofen 50, 100, 200, and 400 mg after surgical removal of third molars: a single-dose, randomized, placebo-controlled, and double-blind study of 304 patients. J Clin Pharmacol 38(5):447–454

    Article  CAS  PubMed  Google Scholar 

  15. Derry C, Derry S, Moore RA, McQuay HJ (2009) Single dose oral ibuprofen for acute postoperative pain in adults. Cochrane Database Syst Rev 3, CD001548

    PubMed  Google Scholar 

  16. Barden J, Edwards JE, McQuay HJ, Andrew Moore R (2004) Pain and analgesic response after third molar extraction and other postsurgical pain. Pain 107(1–2):86–90

    Article  PubMed  Google Scholar 

  17. CPMP/ICH/378/95 (1994) Dose-response information to support drug registration E4. Dose-response. E4

  18. RxList. The top 200 prescriptions by numbe rof US prescriptions dispensed [Internet]. [cited 2015 Jan 26]. Available from: http://www.rxlist.com/script/main/hp.asp

Download references

Acknowledgments

We are most grateful to the participants who volunteered to take part in this research. We wish to thank Mr Christopher Seeley, Mrs Anneke Marais, Mrs Julia Matheson and Ms Ali Maoate for administration of the study protocol and data collection. We are grateful to Dr. Jennifer Zhang for trial monitoring, Dr. Amanda Potts for her assistance in drafting this manuscript and Mrs. Ioana Stanescu for reviewing the manuscript.

Author information

Affiliations

Authors

Corresponding author

Correspondence to Chris Frampton.

Rights and permissions

Reprints and Permissions

About this article

Verify currency and authenticity via CrossMark

Cite this article

Atkinson, H.C., Currie, J., Moodie, J. et al. Combination paracetamol and ibuprofen for pain relief after oral surgery: a dose ranging study. Eur J Clin Pharmacol 71, 579–587 (2015). https://doi.org/10.1007/s00228-015-1827-x

Download citation

  • Received:

  • Accepted:

  • Published:

  • Issue Date:

  • DOI: https://doi.org/10.1007/s00228-015-1827-x

Keywords

  • Paracetamol
  • Ibuprofen
  • Combination
  • Analgesia