Abstract
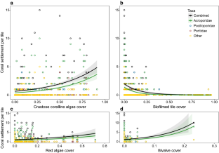
Depth gradients are known to drive patterns of adult and juvenile coral distribution, but the influence on early successional communities and subsequent interactions with coral larvae settlement are poorly understood. We studied how early successional communities changed across a 40 m depth gradient to test whether patterns of coral larvae settlement could be explained by changes in preferred settlement substrates. Light decreased 83-fold from 3 to 40 m, and coral settlement orientation switched from tile undersides at 3 and 8 m to tile topsides at 25 and 40 m as expected. Regardless of the reduction in light, community composition on the topsides of settlement tiles did not change across depths, being dominated by turf algae (49%), crustose coralline algae (CCA; 29%), and biofilmed tile (12%). In contrast, settlement tile undersides were dominated by coralline and fleshy algae at 3 m, transitioning to ascidians and bryozoans at 8 m and 25 m, and biofilmed tile (80%) at 40 m. Following multiple regression analysis from an initial 21 bio-physical variables (R2 = 0.34), the optimal reduced model for predicting coral settlement included just five variables and explained most of the variability (R2 = 0.29). CCA contributed an R2 of 0.14 to the model and was positively correlated with Acroporidae settlement, biofilmed tile contributed an R2 of 0.09 to the model and was negatively correlated with Acroporidae settlement, while the other predictors explained nominal model variance. As assessed using electivity indices, Acroporidae switched settlement preference from CCA at shallower depths to biofilmed tile in deeper environments. In addition to the influence of light on larval settlement behaviour as described in previous research, our results show that CCA also provide an important facilitator of coral settlement behaviour across depth gradients. However, as in shallow reefs environments, further work is required to elucidate whether changes occurring at a finer taxonomic resolution within the CCA community can help to further explain switches in coral larval settlement behaviour in light-limited environments.





Explore related subjects
Discover the latest articles and news from researchers in related subjects, suggested using machine learning.References
Abelson A, Gaines S (2005) A call for standardized protocol of coral recruitment research and outlines for its conception. Mar Pollut Bull 50:1745–1748
Anderson MJ, Gorley RN, Clarke KR (2008) PERMANOVA+ for PRIMER: guide to software and statistical methods. PRIMER-E, Plymouth
Babcock RC, Mundy C (1996) Coral recruitment: consequences of settlement choice for early growth and survivorship in two scleractinians. J Exp Mar Bio Ecol 206:179–201
Baird AH, Babcock RC, Mundy CP (2003) Habitat selection by larvae influences the depth distribution of six common coral species. Mar Ecol Prog Ser 252:289–293
Bak RPM, Engel MS (1979) Distribution, abundance and survival of juvenile hermatypic corals (scleractinia) and the importance of life-history strategies in the parent coral community. Mar Biol 54:341–352
Bates D, Maechler M, Bolker B, Walker S (2015) Fitting linear mixed-effects models using lme4. J Stat Softw 67:1–48
Booij N, Ris RC, Holthuijsen LH (1999) A third-generation wave model for coastal regions: 1. Model description and validation. J Geophys Res: Oceans 104:7649–7666
Burnham KP, Anderson DR (2004) Multimodel inference: understanding AIC and BIC in model selection. Sociol Method Res 33:261–304
Carlon DB (2001) Depth-related patterns of coral recruitment and cryptic suspension-feeding invertebrates on Guana Island, British Virgin Islands. Bull Mar Sci 68:525–541
Cassata L, Collins LB (2008) Coral reef communities, habitats, and substrates in and near sanctuary zones of Ningaloo Marine Park. J Coastal Res 24:139–151
Done TJ (1982) Patterns in the distribution of coral communities across the central Great Barrier Reef. Coral Reefs 1:95–107
Doropoulos C, Gómez-Lemos LA, Babcock RC (2018) Exploring variable patterns of density-dependent larval settlement among corals with distinct and shared functional traits. Coral Reefs 37:25–29
Edmunds PJ, Bruno JF, Carlon DB (2004) Effects of depth and microhabitat on growth and survivorship of juvenile corals in the Florida Keys. Mar Ecol Prog Ser 278:115–124
Elmer F, Bell JJ, Gardner JPA (2018) Coral larvae change their settlement preference for crustose coralline algae dependent on availability of bare space. Coral Reefs 37:397–407
Garland CD, Cooke SL, Grant JF, McMeekin TA (1985) Ingestion of the bacteria on and the cuticle of crustose (non-articulated) coralline algae by post-larval and juvenile abalone (Haliotis ruber Leach) from Tasmanian waters. J Exp Mar Bio Ecol 91:137–149
Gómez-Lemos LA, Doropoulos C, Bayraktarov E, Diaz-Pulido G (2018) Coralline algal metabolites induce settlement and mediate the inductive effect of epiphytic microbes on coral larvae. Sci Rep 8:17557
Goodbody-Gringley G, Wong KH, Becker DM, Glennon K, de Putron SJ (2018) Reproductive ecology and early life history traits of the brooding coral, Porites astreoides, from shallow to mesophotic zones. Coral Reefs 37:483–494
Goreau TF (1959) The ecology of Jamaican coral reefs I. Species composition and zonation. Ecology 40:67–90
Harrington L, Fabricius K, De'Ath G, Negri A (2004) Recognition and selection of settlement substrata determine post-settlement survival in corals. Ecology 85:3428–3437
Hothorn T, Bretz F, Westfall P (2008) Simultaneous inference in general parametric models. Biometrical J 50:346–363
Huggett MJ, Williamson JE, de Nys R, Kjelleberg S, Steinberg PD (2006) Larval settlement of the common Australian sea urchin Heliocidaris erythrogramma in response to bacteria from the surface of coralline algae. Oecologia 149:604–619
Kahng SE, Akkaynak D, Shlesinger T, Hochberg EJ, Wiedenmann J, Tamir R, Tchernov D (2019) Light, temperature, photosynthesis, heterotrophy, and the lower depth limits of mesophotic coral ecosystems. In: Loya Y, Puglise KA, Bridge TCL (eds) Mesophotic Coral Ecosystems. Springer, Berlin, pp 801–828
Kramer N, Eyal G, Tamir R, Loya Y (2019) Upper mesophotic depths in the coral reefs of Eilat, Red Sea, offer suitable refuge grounds for coral settlement. Sci Rep 9:2263
Leigh EG, Paine RT, Quinn JF, Suchanek TH (1987) Wave energy and intertidal productivity. Proc Natl Acad Sci 84:1314–1318
Marouchos A, Muir B, Babcock R, Dunbabin M (2015) A shallow water AUV for benthic and water column observations. OCEANS 2015, Genova, pp 1–7
Mundy CN (2000) An appraisal of methods used in coral recruitment studies. Coral Reefs 19:124–131
Mundy CN, Babcock RC (1998) Role of light intensity and spectral quality in coral settlement: implications for depth-dependent settlement? J Exp Mar Bio Ecol 223:235–255
Mundy CN, Babcock RC (2000) Are vertical distribution patterns of scleractinian corals maintained by pre- or post-settlement processes? A case study of three contrasting species. Mar Ecol Prog Ser 198:109–119
Porter JW (1972) Patterns of species diversity in Caribbean reef corals. Ecology 53:745–748
Price NN, Muko S, Legendre L, Steneck R, van Oppen MJH, Albright R, Ang P Jr, Carpenter RC, Chui APY, Fan TY, Gates RD, Harii S, Kitano H, Kurihara H, Mitarai S, Padilla-Gamiño JL, Sakai K, Suzuki G, Edmunds PJ (2019) Global biogeography of coral recruitment: tropical decline and subtropical increase. Mar Ecol Prog Ser 621:1–17
R Development Core Team (2018) R: a language and environment for statistical computing R Foundation for Statistical Computing. R Foundation for Statistical Computing, Vienna
Ris R, Holthuijsen L, Booij N (1999) A third-generation wave model for coastal regions: 2 Verification. J Geophys Res Oceans 104:7667–7681
Ritson-Williams R, Arnold S, Paul V, Steneck R (2014) Larval settlement preferences of Acropora palmata and Montastraea faveolata in response to diverse red algae. Coral Reefs 33:59–66
Roff G, Chollett I, Doropoulos C, Golbuu Y, Steneck RS, Mumby PJ (2015) Exposure-driven phase shift following catastrophic disturbance on coral reefs. Coral Reefs 34:715–725
Rogers CS, Fitz HC, Gilnack M, Beets J, Hardin J (1984) Scleractinian coral recruitment patterns at Salt River submarine-canyon, St. Croix, United States Virgin Islands. Coral Reefs 3:69–76
Schiel DR (1990) Macroalgal assemblages in New Zealand: structure, interactions and demography. Hydrobiologia 192:59–76
Shlesinger T, Loya Y (2019) Sexual reproduction of scleractinian corals in mesophotic coral ecosystems vs. shallow reefs. In: Loya Y, Puglise KA, Bridge TCL (eds) Mesophotic Coral Ecosystems. Springer, Berlin, pp 653–666
Stachowicz JJ (2001) Mutualism, facilitation, and the structure of ecological communities. Bioscience 51:235–246
Stevenson RJ, Stoermer EF (1981) Quantitative differences between benthic algal communities along a depth gradient in Lake Michigan. J Phycol 17:29–36
Turner JA, Babcock RC, Hovey R, Kendrick GA (2017) Deep thinking: a systematic review of mesophotic coral ecosystems. ICES J Mar Sci of Mar Sci 74:2309–2320
Turner JA, Babcock RC, Hovey R, Kendrick GA (2018a) AUV-based classification of benthic communities of the Ningaloo shelf and mesophotic areas. Coral Reefs 37:763–778
Turner JA, Thomson DP, Cresswell AK, Trapon M, Babcock RC (2018b) Depth-related patterns in coral recruitment across a shallow to mesophotic gradient. Coral Reefs 37:711–722
Vanderploeg HA, Scavia D (1979) Calculation and use of selectivity coefficients of feeding—zooplankton grazing. Ecol Modell 7:135–149
Wallace C, Bull G (1981) Patterns of juvenile coral recruitment on a reef front during a spring-summer spawning period. In: Proc 4th Int Coral Reef Symp, pp 345–350
Webster NS, Smith LD, Heyward AJ, Watts JEM, Webb RI, Blackall LL, Negri AP (2004) Metamorphosis of a scleractinian coral in response to microbial biofilms. Appl Environ Microbiol 70:1213–1221
Zuur A, Ieno EN, Walker N, Saveliev AA, Smith GM (2009) Mixed effects models and extensions in ecology with R. Springer, Berlin
Acknowledgements
We thank Ryan Crossing, Dan Orr, Cindy Bessey and the crew of the Keshi Mer for assistance with fieldwork; Karl Forcey for assistance with the PAR data; and Mick Haywood for field assistance and comments on the manuscript. Two anonymous reviewers provided constructive comments that improved the quality of the work.
Funding
This research was financially supported as part of the BHP-CSIRO Ningaloo Outlook Marine Research Partnership.
Author information
Authors and Affiliations
Corresponding author
Ethics declarations
Conflict of interest
The authors declare that they have no conflicts of interest. The views expressed herein are those of the authors and do not necessarily reflect the views of BHP or CSIRO.
Ethical approval
Permission to conduct the fieldwork and collect samples was granted by the Department of Biodiversity, Conservation and Attractions. No special animal ethics approval was needed.
Additional information
Responsible Editor: S. Harii.
Publisher's Note
Springer Nature remains neutral with regard to jurisdictional claims in published maps and institutional affiliations.
Reviewed by undisclosed experts.
Rights and permissions
About this article
Cite this article
Doropoulos, C., Thomson, D.P., Trapon, M. et al. Depth gradients drive changes in early successional community composition and associated coral larvae settlement interactions. Mar Biol 167, 59 (2020). https://doi.org/10.1007/s00227-020-3670-6
Received:
Accepted:
Published:
DOI: https://doi.org/10.1007/s00227-020-3670-6