Abstract
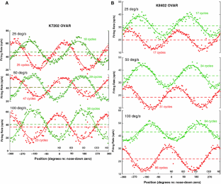
The caudal aspect of the parabrachial nucleus (PBN) contains neurons responsive to whole body, periodic rotational stimulation in alert monkeys (Balaban et al. in J Neurophysiol 88:3175–3193, 2002). This study characterizes the angular and linear motion-sensitive response properties of PBN unit responses during off-vertical axis rotation (OVAR) and position trapezoid stimulation. The OVAR responses displayed a constant firing component which varied from the firing rate at rest. Nearly two-thirds of the units also modulated their discharges with respect to head orientation (re: gravity) during constant velocity OVAR stimulation. The modulated response magnitudes were equal during ipsilateral and contralateral OVARs, indicative of a one-dimensional accelerometer. These response orientations during OVAR divided the units into three spatially tuned populations, with peak modulation responses centered in the ipsilateral ear down, contralateral anterior semicircular canal down, and occiput down orientations. Because the orientation of the OVAR modulation response was opposite in polarity to the orientation of the static tilt component of responses to position trapezoids for the majority of units, the linear acceleration responses were divided into colinear dynamic linear and static tilt components. The orientations of these unit responses formed two distinct population response axes: (1) units with an interaural linear response axis and (2) units with an ipsilateral anterior semicircular canal-contralateral posterior semicircular canal plane linear response axis. The angular rotation sensitivity of these units is in a head-vertical plane that either contains the linear acceleration response axis or is perpendicular to the linear acceleration axis. Hence, these units behave like head-based (‘strapdown’) inertial guidance sensors. Because the PBN contributes to sensory and interoceptive processing, it is suggested that vestibulo-recipient caudal PBN units may detect potentially dangerous anomalies in control of postural stability during locomotion. In particular, these signals may contribute to the range of affective and emotional responses that include panic associated with falling, malaise associated with motion sickness and mal-de-debarquement, and comorbid balance and anxiety disorders.
This is a preview of subscription content, access via your institution.










References
Angelaki DE, Dickman JD (2000) Spatiotemporal processing of linear acceleration: primary afferent and central vestibular neuron responses. J Neurophysiol 84:2113–2132
Balaban CD (1996) Vestibular nucleus projections to the parabrachial nucleus in rabbits: implications for vestibular influences on autonomic function. Exp Brain Res 108:367–381
Balaban CD (1999) Vestibular autonomic regulation. Curr Opin Neurol 12:29–33
Balaban CD (2004) Projections from the parabrachial nucleus to the vestibular nuclei: potential substrates for autonomic and limbic influences on vestibular responses. Brain Res 996:126–137
Balaban CD, Thayer JF (2001) Neurological bases for balance-anxiety links. J Anxiety Disord 15:53–79
Balaban CD et al (2002) Responses of primate caudal parabrachial nucleus and Kölliker-Fuse nucleus neurons to whole body rotation. J Neurophysiol 88:3175–3193
Bernard JF (1996) Involvement of the spino-parabrachio-amygdaloid and -hypothalmic systems in the autonomic and emotional aspects of pain. In: Hostege G et al (eds) The emotional motor system, vol 107. Elsevier, Amsterdam, pp 243–255
Bernard JF, Besson J-M (1990) The spino (trigemino) pontoamygdaloid pathway: electrophysiological evidence for an involvement in pain processes. J Neurophysiol 63:473–490
Bernard J-F et al (1993) The organization of the efferent projections from the pontine parabrachial area to the amygdaloid complex: a Phaselus vulgaris leucoagglutinin (PHA-L) study in the rat. J Comp Neurol 329:201–229
Bester H et al (1995) Spino (trigemino) parabrachiohypothalamic pathway: electrophysiological evidence for an involvement in pain processes. J Neurophysiol 73:568–585
Bester H et al (2000) Physiological properties of the lamina I spinoparabrachial neurons in the rat. J Neurophysiol 83:2239–2259
Bezdek JC (1981) Pattern recognition with fuzzy objective function algorithms. Plenum, New York
Cameron OG (2002) Visceral sensory neuroscience. Oxford University Press, New York
Chamberlin NL, Saper CB (1992) Topographic organization of cardiovascular responses to electrical and glutamate microstimulation of the parabrachial nucleus in the rat. J Comp Neurol 326:245–262
Chamberlin NL, Saper CB (1994) Topographic organization of respiratory responses to glutamate microstimulation of the parabrachial nucleus in the rat. J Neurosci 14:6500–6510
Collewijn H (1977) Eye- and head movements in freely moving rabbits. J Physiol 266:471–498
Craig AD (2002) How do you feel? Interoception: the sense of the physiological condition of the body. Nat Rev Neurosci 3:655–666
Craig AD (2003) A new view of pain as a homeostatic emotion. Trends Neurosci 26:303–307
Craig AD (2009) How do you feel–now? The anterior insula and human awareness. Nat Rev Neurosci 10:59–70
David HA (1970) Order statistics. Wiley, New York
Dickman JD, Angelaki DE (2002) Vestibular convergence patterns in vestibular nuclei neurons of alert primates. J Neurophysiol 88:3518–3533
Dunbar DC, Badam GL (1998) Development of posture and locomotion in free-ranging primates. Neurosci Biobehav Rev 22:541–546
Dunbar DC et al (2004) Stabilization and mobility of the head and trunk in wild monkeys during terrestrial and flat-surface walks and gallops. J Exp Biol 207:1027–1042
Fanselow MS (1994) Neural organization of the defensive behavior system responsible for fear. Psychon Bull Rev 1:429–438
Feil K, Herbert H (1995) Topographic organization of spinal and trigeminal somatosensory pathways to the rat parabrachial and Kölliker-Fuse nuclei. J Comp Neurol 353:506–528
Fulweiler CE, Saper C (1984) Subnuclear organization of the efferent connections of the parabrachial nucleus in the rat. Brain Res Rev 7:229–259
Gauriau C, Bernard J-F (2002) Pain pathways and parabrachial circuits in the rat. Exp Physiol 87:251–258
Graybiel A, Knepton J (1976) Sopite syndrome: a sometimes sole manifestation of motion sickness. Aviat Space Environ Med 47:873–882
Grigson PS et al (1998a) The parabrachial nucleus is essential for acquisition of a conditioned odor aversion in rats. Behav Neurosci 112:1104–1113
Grigson PS et al (1998b) Ibotenic acid lesions of the parabrachial nucleus and conditioned taste aversion: further evidence for an associative deficit in rats. Behav Neurosci 112:160–171
Grossman GE et al (1988) Frequency and velocity of rotational head perturbations during locomotion. Exp Brain Res 70:470–476
Hade JS et al (1988) Stimulation of parabrachial neurons elicits a sympathetically mediated pressor response in cats. Am J Physiol 255:H1349–H1358
Hayward LF, Felder RB (1998) Lateral parabrachial nucleus modulates baroreflex regulation of sympathetic nerve activity. Am J Physiol 274:R1274–R1282
Herbert H et al (1990) Connections of the parabrachial nucleus with the nucleus of the solitary tract and medullary reticular formation in the rat. J Comp Neurol 293:540–580
Jasmin L et al (1997) Transneuronal labeling of a nociceptive pathway, the spino-(trigemino-)parabrachio-amygdaloid, in the rat. J Neurosci 17:3751–3765
Jhamandas JH et al (1991) Cardiovascular influences on rat parabrachial nucleus: an electrophysiological study. Am J Physiol 260:R225–R231
Kasper J et al (1988) Response of vestibular neurons to head rotations in vertical planes. I. Response to vertical stimulation. J Neurophysiol 60:1753–1760
Ma W, Peschanski M (1988) Spinal and trigeminal projections to the parabrachial nucleus in the rat: electron-microscopic evidence of a spino-ponto-amygdalian somatosensory pathway. Somatosens Res 5:247–257
Mardia KV, Jupp PE (2000) Directional statistics, vol. Wiley, Chichester
Mayer T et al (1993) Noninvasive measurement of cervical tri-planar motion in normal subjects. Spine 18:2191–2195
Mayo H (1837) Outlines of human physiology. Henry Renshaw and J. Churchill, London
Moga MM et al (1990) Organization of cortical, basal forebrain, and hypothalamic afferents to the parabrachial nucleus in the rat. J Comp Neurol 295:624–661
Money KE (1970) Motion sickness. Physiol Rev 50:1–39
Money KE (1996) The autonomic nervous system and motion sickness. In: Yates BJ, Miller AD et al (eds) Vestibular autonomic regulation. CRC Press, Boca Raton, pp 147–173
Mulavara AP et al (2002) Modulation of head movement control in humans during treadmill walking. Gait Posture 16:271–282
Musallam S, Tomlinson RD (2002) Asymmetric integration recorded from vestibular-only cells in response to position transients. J Neurophysiol 88:2104–2113
Nishijo H, Norgren R (1997) Parabrachial neural coding of taste stimuli in awake rats. J Neurophysiol 78:2254–2268
Norgren R (1976) Taste pathways to hypothalamus and amygdala. J Comp Neurol 166:17–30
Norgren R, Leonard CM (1973) Ascending central gustatory pathways. J Comp Neurol 150:217–238
Norgren R, Pfaffmann C (1975) The pontine taste area in the rat. Brain Res 91:99–117
Porter JD, Balaban CD (1997) Connections between the vestibular nuclei and regions that mediate autonomic function in the rat. J Vestib Res 7:63–76
Pozzo T et al (1990) Head stabilization during various locomotor tasks in humans. Exp Brain Res 82:97–102
Pozzo T et al (1995) Head and trunk movements in the frontal plane during complex dynamic equilibrium tasks in humans. Exp Brain Res 106:327–338
Pritchard TC et al (2000) Projections of the parabrachial nucleus in the Old World monkey. Exp Neurol 165:101–117
Reason JT, Brand JJ (1975) Motion sickness. Academic Press, London
Reilly S, Trufinovic R (2000) Lateral parabrachial nucleus lesions in the rat: aversive and appetitive gustatory conditioning. Brain Res Bull 52:269–278
Reilly S, Trifunovic R (2001) Lateral parabrachial nucleus lesions in the rat: neophobia and conditioned taste aversion. Brain Res Bull 55:359–366
Reisine H, Raphan T (1992) Neural basis for eye velocity generation in the vestibular nuclei of alert monkeys during off-vertical axis stimulation. Exp Brain Res 92:209–226
Saleh TM, Connell BJ (1998) The parabrachial nucleus mediates the decreased cardiac baroreflex sensitivity observed following short-term visceral afferent activation. Neuroscience 87:135–146
Saper CB, Loewy AD (1980) Efferent connections of the parabrachial nucleus in the rat. Brain Res 197:291–317
Schor RH et al (1984) Responses to head tilt in cat central vestibular neurons. I. Direction of maximum sensitivity. J Neurophysiol 51:136–146
Schor RH et al (1985) Responses to head tilt in cat central vestibular neurons. II. Frequency dependence of neural response vectors. J Neurophysiol 53:1444–1452
Schroer RB (1984) From autopilot to strapdown: electrotechnology in inertial guidance and control. IEEE Trans Aerosp Electron Syst AES-20 pp 445–454
Shimura T et al (1997) Salient responsiveness of parabrachial neurons to the conditioned stimulus after the acquisition of taste aversion learning in rats. Neuroscience 81:239–247
Shumway RH, Stoffer DS (2006) Time series analysis and its applications: with R examples. Springer Science-Business Media LLC, New York
Song G et al (2006) Cytoarchitecture of pneumotaxic integration of respiratory and non respiratory information in the rat. J Neurosci 26:300–310
Spector AC et al (1992) Parabrachial gustatory lesions impair taste aversion learning in rats. Behav Neurosci 106:147–161
Tyler DB, Bard P (1949) Motion sickness. Physiol Rev 29:311–369
Wilson VJ et al (1986) Spatial organization of neck and vestibular reflexes acting on the forelimbs of the decerebrate cat. J Neurophysiol 55:514–526
Yamamoto T et al (1995) Conditioned taste aversion in rats with excitotoxic brain lesions. Neurosci Res 22:31–49
Yasui Y et al (1985) Direct cortical projections to the parabrachial nucleus in the cat. J Comp Neurol 234:77–86
Yoshida A et al (1997) Organization of the descending projections from the parabrachial nucleus to the trigeminal sensory nuclear complex and the spinal dorsal horn in the rat. J Comp Neurol 383:94–111
Zhou W et al (2006) Responses of monkey vestibular-only neurons to translation and angular rotation. J Neurophysiol 96:2915–2930
Zylka M (2005) Nonpeptidergic circuits feel your pain. Neuron 47:771–772
Acknowledgments
This research was supported by the National Institutes of Health (United States of America), grant nos R01 DC000739 (C.D.B.) and F31 DC006321 (C.H.M). The authors gratefully acknowledge valuable collegial advice from Dr. Robert H. Schor and expert histological assistance from Gloria Limetti and Jeanne Betsch.
Author information
Authors and Affiliations
Corresponding author
Rights and permissions
About this article
Cite this article
McCandless, C.H., Balaban, C.D. Parabrachial nucleus neuronal responses to off-vertical axis rotation in macaques. Exp Brain Res 202, 271–290 (2010). https://doi.org/10.1007/s00221-009-2130-9
Received:
Accepted:
Published:
Issue Date:
DOI: https://doi.org/10.1007/s00221-009-2130-9
Keywords
- Alert non-human primate
- Vestibular
- Electrophysiology
- Linear acceleration sensitivity