Skip to main content

Locomotor response to levodopa in fluctuating Parkinson’s disease

Abstract

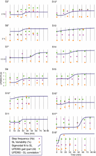
The aim of this study was to quantify the dynamic response of locomotion to the first oral levodopa administration of the day in patients with fluctuating Parkinson’s disease (PD). Stride length, walking speed, cadence and gait variability were measured with an ambulatory gait monitor in 13 PD patients (8 males) with a clinical history of motor fluctuations. The Unified Parkinson’s Disease Rating Scale (UPDRS) gait score (part 29) was also determined by a movement disorders specialist from video recordings. Subjects arrived in the morning in an ‘off’ state (no PD medication) and walked for a maximum length of 100 m. They then took their usual morning dose of oral levodopa and repeated the walking task at 13 min intervals (on average) over a 90 min period. Changes in stride length over time were fit with a Hill (Emax) function. Latency (time until stride length increased 15% of the difference between baseline and maximum response) and the Hill coefficient (shape of the ‘off–on’ transition) were determined from the fitted curve. Latency varied from 4.7 to 53.3 min post-administration [23.31 min (SD 14.9)], and was inversely correlated with age at onset of PD (R = −0.83; P = 0.0004). The Hill coefficient (H) ranged from a smooth hyperbolic curve (0.9) to an abrupt ‘off–on’ transition (16.9), with a mean of 8.1 (SD 4.9). H correlated with disease duration (R = 0.67; P = 0.01) and latency (R = 0.67; P = 0.01), and increased with Hoehn & Yahr stage in the ‘off’ state (P = 0.02) from 5.7 (SD 3.5) (H&Y III) to 11.9 (SD 4.7) (H&Y IV). Walking speed correlated with changes in mean stride length, whereas cadence and gait variability did not. UPDRS gait score also reflected improving gait in the majority of subjects (8), providing clinical confirmation of the objective measures of the locomotor response to levodopa. Increasing abruptness (H) of the ‘off–on’ transition with disease duration is consistent with results from finger-tapping studies, and may reflect reduced buffering capacity of pre-synaptic nigrostriatal dopaminergic neurons. Ambulatory monitoring of gait objectively measures the dynamic locomotor response to levodopa, and this information could be used to improve daily management of motor fluctuations.

This is a preview of subscription content, access via your institution.

Fig. 1
Fig. 2
Fig. 3
Fig. 4
Fig. 5

References

  • Blin O, Ferrandez AM, Pailhous J, Serratrice G (1991) Dopa-sensitive and dopa-resistant gait parameters in Parkinson’s disease. J Neurol Sci 103:51–54

    PubMed  Article  CAS  Google Scholar 

  • Bloem BR, Hausdorff JM, Visser JE, Giladi N (2004) Falls and freezing of gait in Parkinson’s disease: a review of two interconnected, episodic phenomena. Mov Disord 19:871–884

    PubMed  Article  Google Scholar 

  • Braak H, Ghebremedhin E, Rub U, Bratzke H, Del Tredici K (2004) Stages in the development of Parkinson’s disease-related pathology. Cell Tissue Res 318:121–134

    PubMed  Article  Google Scholar 

  • Chana P, Kuntsmann C, Reyes-Parada M, Saez-Briones P (2004) Delayed early morning turn “ON” in response to a single dose of levodopa in advanced Parkinson’s disease: pharmacokinetics should be considered. J Neurol Neurosurg Psychiatry 75:1782–1783

    PubMed  Article  CAS  Google Scholar 

  • Contin M, Riva R, Martinelli P, Triggs EJ, Albani F, Baruzzi A (1996) Rate of motor response to oral levodopa and the clinical progression of Parkinson’s disease. Neurology 46:1055–1058

    PubMed  CAS  Google Scholar 

  • Contin M, Riva R, Martinelli P, Albani F, Avoni P, Baruzzi A (2001) Levodopa therapy monitoring in patients with Parkinson disease: a kinetic-dynamic approach. Ther Drug Monit 23:621–629

    PubMed  Article  CAS  Google Scholar 

  • Czaja SJ, Sharit J (2003) Practically relevant research: capturing real world tasks, environments, and outcomes. Gerontologist 43(Spec No 1):9–18

    PubMed  Google Scholar 

  • de la Fuente-Fernandez R, Pal PK, Vingerhoets FJ, Kishore A, Schulzer M, Mak EK, Ruth TJ, Snow BJ, Calne DB, Stoessl AJ (2000) Evidence for impaired presynaptic dopamine function in parkinsonian patients with motor fluctuations. J Neural Transm 107:49–57

    PubMed  Article  Google Scholar 

  • de la Fuente-Fernandez R, Lu JQ, Sossi V, Jivan S, Schulzer M, Holden JE, Lee CS, Ruth TJ, Calne DB, Stoessl AJ (2001) Biochemical variations in the synaptic level of dopamine precede motor fluctuations in Parkinson’s disease: PET evidence of increased dopamine turnover. Ann Neurol 49:298–303

    PubMed  Article  Google Scholar 

  • Dunn W, Brown C, McGuigan A (1994) The ecology of human performance: a framework for considering the effect of context. Am J Occup Ther 48:595–607

    PubMed  CAS  Google Scholar 

  • Fahn S, Elton RL, Members of the UPDRS Program (1987) Unified Parkinson’s disease rating scale. In: Fahn S, Marsden CD, Goldstein M, Calne DB (eds) Recent developments in Parkinson’s disease, vol 2. Macmillan Healthcare Information, Florham Park, pp 153–163

    Google Scholar 

  • Hanakawa T, Fukuyama H, Katsumi Y, Honda M, Shibasaki H (1999) Enhanced lateral premotor activity during paradoxical gait in Parkinson’s disease. Ann Neurol 45:329–336

    PubMed  Article  CAS  Google Scholar 

  • Hausdorff JM, Cudkowicz ME, Firtion R, Wei JY, Goldberger AL (1998) Gait variability and basal ganglia disorders: stride-to-stride variations of gait cycle timing in Parkinson’s disease and Huntington’s disease. Mov Disord 13:428–437

    PubMed  Article  CAS  Google Scholar 

  • Hausdorff JM, Schaafsma JD, Balash Y, Bartels AL, Gurevich T, Giladi N (2003a) Impaired regulation of stride variability in Parkinson’s disease subjects with freezing of gait. Exp Brain Res 149:187–194

    PubMed  CAS  Google Scholar 

  • Hausdorff JM, Balash J, Giladi N (2003b) Effects of cognitive challenge on gait variability in patients with Parkinson’s disease. J Geriatr Psychiatry Neurol 16:53–58

    PubMed  Google Scholar 

  • Hirasaki E, Moore ST, Raphan T, Cohen B (1999) Effects of walking velocity on vertical head and body movements during locomotion. Exp Brain Res 127:117–130

    PubMed  Article  CAS  Google Scholar 

  • Holford NH, Sheiner LB (1981) Understanding the dose-effect relationship: clinical application of pharmacokinetic-pharmacodynamic models. Clin Pharmacokinet 6:429–453

    PubMed  CAS  Article  Google Scholar 

  • Kerrigan DC, Todd MK, Della Croce U, Lipsitz LA, Collins JJ (1998) Biomechanical gait alterations independent of speed in the healthy elderly: evidence for specific limiting impairments. Arch Phys Med Rehabil 79:317–322

    PubMed  Article  CAS  Google Scholar 

  • MacDougall HG, Moore ST (2005) Marching to the beat of the same drummer: the spontaneous tempo of human locomotion. J Appl Physiol 99:1164–1173

    PubMed  Article  Google Scholar 

  • MacKay-Lyons M (1998) Variability in spatiotemporal gait characteristics over the course of the l-dopa cycle in people with advanced Parkinson disease. Phys Ther 78:1083–1094

    PubMed  CAS  Google Scholar 

  • McColl CD, Reardon KA, Shiff M, Kempster PA (2002) Motor response to levodopa and the evolution of motor fluctuations in the first decade of treatment of Parkinson’s disease. Mov Disord 17:1227–1234

    PubMed  Article  Google Scholar 

  • Mitchell SL, Harper DW, Lau A, Bhalla R (2000) Patterns of outcome measurement in Parkinson’s disease clinical trials. Neuroepidemiology 19:100–108

    PubMed  Article  CAS  Google Scholar 

  • Moore ST, MacDougall HG, Gracies J-M, Cohen H, Ondo WG (2007) Long-term monitoring of gait in Parkinson’s disease. Gait Posture 26:200–207

    PubMed  Article  Google Scholar 

  • Morris ME, Matyas TA, Iansek R, Summers JJ (1996) Temporal stability of gait in Parkinson’s disease. Phys Ther 76:763–777 (discussion 778–780)

    PubMed  CAS  Google Scholar 

  • Morris ME, Huxham F, McGinley J, Dodd K, Iansek R (2001) The biomechanics and motor control of gait in Parkinson disease. Clin Biomech (Bristol, Avon) 16:459–470

    Article  CAS  Google Scholar 

  • Muller T, Erdmann C, Bremen D, Schmidt WE, Muhlack S, Woitalla D, Goetze O (2006) Impact of gastric emptying on levodopa pharmacokinetics in Parkinson disease patients. Clin Neuropharmacol 29:61–67

    PubMed  Article  Google Scholar 

  • Nutt JG (1987) Off–on phenomenon: relation to levodopa pharmacokinetics and pharmacodynamics. Ann Neurol 22:535–540

    PubMed  Article  CAS  Google Scholar 

  • Nutt JG, Woodward WR, Hammerstad JP, Carter JH, Anderson JL (1984) The “off–on” phenomenon in Parkinson’s disease. Relation to levodopa absorption and transport. N Engl J Med 310:483–488

    PubMed  CAS  Article  Google Scholar 

  • Ondo W (2003) Investigational pharmacological treatments for Parkinson’s diesease. In: Pahwa R, Lyons K, Koller W (eds) Handbook of Parkinson’s disease. Marcel Dekker, New York

    Google Scholar 

  • Ostrosky KM, VanSwearingen JM, Burdett RG, Gee Z (1994) A comparison of gait characteristics in young and old subjects. Phys Ther 74:637–644 (discussion 644–636)

    PubMed  CAS  Google Scholar 

  • O’Sullivan JD, Said CM, Dillon LC, Hoffman M, Hughes AJ (1998) Gait analysis in patients with Parkinson’s disease and motor fluctuations: influence of levodopa and comparison with other measures of motor function. Mov Disord 13:900–906

    PubMed  Article  CAS  Google Scholar 

  • Quinn N, Critchley P, Marsden CD (1987) Young onset Parkinson’s disease. Mov Disord 2:73–91

    PubMed  Article  CAS  Google Scholar 

  • Schaafsma JD, Giladi N, Balash Y, Bartels AL, Gurevich T, Hausdorff JM (2003) Gait dynamics in Parkinson’s disease: relationship to Parkinsonian features, falls and response to levodopa. J Neurol Sci 212:47–53

    PubMed  Article  Google Scholar 

  • Schrag A, Ben-Shlomo Y, Brown R, Marsden CD, Quinn N (1998) Young-onset Parkinson’s disease revisited—clinical features, natural history, and mortality. Mov Disord 13:885–894

    PubMed  Article  CAS  Google Scholar 

  • Shannon KM (2004) Rating scales. In: Ebaidi M, Pfeiffer RF (eds) Parkinson’s disease. CRC Press, Boca Raton, pp 663–675

    Google Scholar 

  • Siegel KL, Metman LV (2000) Effects of bilateral posteroventral pallidotomy on gait of subjects with Parkinson disease. Arch Neurol 57:198–204

    PubMed  Article  CAS  Google Scholar 

  • Sossi V, de la Fuente-Fernandez R, Holden JE, Schulzer M, Ruth TJ, Stoessl J (2004) Changes of dopamine turnover in the progression of Parkinson’s disease as measured by positron emission tomography: their relation to disease-compensatory mechanisms. J Cereb Blood Flow Metab 24:869–876

    PubMed  Article  CAS  Google Scholar 

  • Sossi V, de la Fuente-Fernandez R, Schulzer M, Adams J, Stoessl J (2006) Age-related differences in levodopa dynamics in Parkinson’s: implications for motor complications. Brain 129:1050–1058

    PubMed  Article  Google Scholar 

  • Teasdale N, Stelmach GE (1988) Movement disorders: the importance of the movement context. J Mot Behav 20:186–191

    PubMed  CAS  Google Scholar 

  • Vokaer M, Azar NA, de Beyl DZ (2003) Effects of levodopa on upper limb mobility and gait in Parkinson’s disease. J Neurol Neurosurg Psychiatry 74:1304–1307

    PubMed  Article  CAS  Google Scholar 

  • Yekutiel MP (1993) Patients’ fall records as an aid in designing and assessing therapy in Parkinsonism. Disabil Rehabil 15:189–193

    PubMed  CAS  Article  Google Scholar 

Download references

Acknowledgments

Dr. Steven Moore was supported in part by NASA grant NNJ04HF51G.

Author information

Affiliations

Authors

Corresponding author

Correspondence to Steven T. Moore.

Additional information

Dr. Steven Moore was supported in part by NASA grant NNJ04HF51G.

Rights and permissions

Reprints and Permissions

About this article

Cite this article

Moore, S.T., MacDougall, H.G., Gracies, JM. et al. Locomotor response to levodopa in fluctuating Parkinson’s disease. Exp Brain Res 184, 469–478 (2008). https://doi.org/10.1007/s00221-007-1113-y

Download citation

  • Received:

  • Accepted:

  • Published:

  • Issue Date:

  • DOI: https://doi.org/10.1007/s00221-007-1113-y

Keywords

  • Stride length
  • Walking speed
  • Cadence
  • Gait variability
  • Young onset