Skip to main content

Recumbent stepping has similar but simpler neural control compared to walking

Abstract

The purpose of this study was to compare muscle activation patterns and kinematics during recumbent stepping and walking to determine if recumbent stepping has a similar motor pattern as walking. We measured joint kinematics and electromyography in ten neurologically intact humans walking on a treadmill at 0 and 50% body weight support (BWS), and recumbent stepping using a commercially available exercise machine. Cross correlation of upper and lower limb electromyography patterns between conditions revealed high correlations for most muscles. A principal component analysis revealed that the first factor accounted for more muscle activation signal content during recumbent stepping (81%) than during walking (70%). This indicates that the motor pattern during walking is more complex than during stepping. Cross correlation analysis found a high correlation between factors for recumbent stepping and walking (R = 0.54), though not as high as the correlation between factors for walking at 0% BWS and walking at 50% BWS (R = 0.68). There were substantial differences in joint kinematics between walking and recumbent stepping, most notably in hip, elbow, and shoulder motions. These results suggest that although the two tasks have different kinematic patterns, recumbent stepping relies on similar neural networks as walking. Individuals with neurological impairments may be able to improve walking ability from recumbent stepping practice given similarities in neural control between the two tasks.

This is a preview of subscription content, access via your institution.

Fig. 1
Fig. 2
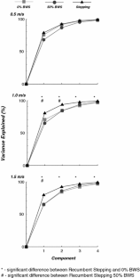
Fig. 3
Fig. 4
Fig. 5
Fig. 6
Fig. 7
Fig. 8

References

  • Behrman AL, Harkema SJ (2000) Locomotor training after human spinal cord injury: a series of case studies. Phys Ther 80:688–700

    PubMed  CAS  Google Scholar 

  • Brown DA, Nagpal S, Chi S (2005) Limb-loaded cycling program for locomotor intervention following stroke. Phys Ther 85:159–168

    PubMed  Google Scholar 

  • Capaday C, Lavoie BA, Barbeau H, Schneider C, Bonnard M (1999) Studies on the corticospinal control of human walking. I. Responses to focal transcranial magnetic stimulation of the motor cortex. J Neurophysiol 81:129–139

    PubMed  CAS  Google Scholar 

  • Cappellini G, Ivanenko YP, Poppele RE, Lacquaniti F (2006) Motor patterns in human walking and running. J Neurophysiol 95:3426–3437

    PubMed  Article  CAS  Google Scholar 

  • de Leon RD, Hodgson JA, Roy RR, Edgerton VR (1998) Full weight-bearing hindlimb standing following stand training in the adult spinal cat. J Neurophysiol 80:83–91

    PubMed  Article  Google Scholar 

  • Dietz V (2002) Do human bipeds use quadrupedal coordination? Trends Neurosci 25:462–467

    PubMed  Article  Google Scholar 

  • Dietz V, Wirz M, Curt A, Colombo G (1998) Locomotor pattern in paraplegic patients: training effects and recovery of spinal cord function. Spinal Cord 36:380–390

    PubMed  Article  CAS  Google Scholar 

  • Dobkin BH, Harkema S, Requejo P, Edgerton VR (1995) Modulation of locomotor-like EMG activity in subjects with complete and incomplete spinal cord injury. J Neurol Rehabil 9:183–190

    PubMed  CAS  Google Scholar 

  • Dobkin B, Apple D, Barbeau H, Basso M, Behrman A, Deforge D, Ditunno J, Dudley G, Elashoff R, Fugate L, Harkema S, Saulino M, Scott M (2006) Weight-supported treadmill vs over-ground training for walking after acute incomplete SCI. Neurology 66:484–493

    PubMed  Article  CAS  Google Scholar 

  • Donelan JM, Pearson KG (2004) Contribution of sensory feedback to ongoing ankle extensor activity during the stance phase of walking. Can J Physiol Pharmacol 82:589–598

    PubMed  Article  CAS  Google Scholar 

  • Duysens J, van Wezel BM, van de Crommert HW, Faist M, Kooloos JG (1998) The role of afferent feedback in the control of hamstrings activity during human gait. Eur J Morphol 36:293–299

    PubMed  Article  CAS  Google Scholar 

  • Edgerton VR, de Leon RD, Tillakaratne N, Recktenwald MR, Hodgson JA, Roy RR (1997) Use-dependent plasticity in spinal stepping and standing. Adv Neurol 72:233–247

    PubMed  CAS  Google Scholar 

  • Faist M, Blahak C, Duysens J, Berger W (1999) Modulation of the biceps femoris tendon jerk reflex during human locomotion. Exp Brain Res 125:265–270

    PubMed  Article  CAS  Google Scholar 

  • Faist M, Hoefer C, Hodapp M, Dietz V, Berger W, Duysens J (2006) In humans Ib facilitation depends on locomotion while suppression of Ib inhibition requires loading. Brain Res 1076:87–92

    PubMed  Article  CAS  Google Scholar 

  • Ferris DP, Aagaard P, Simonsen EB, Farley CT, Dyhre-Poulsen P (2001) Soleus H-reflex gain in humans walking and running under simulated reduced gravity. J Physiol (Lond) 530:167–180

    Article  CAS  Google Scholar 

  • Ferris DP, Gordon KE, Beres-Jones JA, Harkema SJ (2004) Muscle activation during unilateral stepping occurs in the nonstepping limb of humans with clinically complete spinal cord injury. Spinal Cord 42:14–23

    PubMed  Article  CAS  Google Scholar 

  • Ferris DP, Huang HJ, Kao PC (2006) Moving the arms to activate the legs. Exerc Sport Sci Rev 34:113–120

    PubMed  Article  Google Scholar 

  • Grillner S, Rossignol S (1978) On the initiation of the swing phase of locomotion in chronic spinal cats. Brain Res 146:269–277

    PubMed  Article  CAS  Google Scholar 

  • Henry FM (1968) Specificity vs. generality in learning motor skill. In: Brown RC, Kenyon GS (eds) Classical studies on physical activity. Prentice-Hall, Englewood Cliffs, pp 331–340

    Google Scholar 

  • Hesse S, Uhlenbrock D (2000) A mechanized gait trainer for restoration of gait. J Rehabil Res Dev 37:701–708

    PubMed  CAS  Google Scholar 

  • Hesse S, Bertelt C, Schaffrin A, Malezic M, Mauritz KH (1994) Restoration of gait in nonambulatory hemiparetic patients by treadmill training with partial body-weight support. Arch Phys Med Rehabil 75:1087–1093

    PubMed  Article  CAS  Google Scholar 

  • Hesse S, Bertelt C, Jahnke MT, Schaffrin A, Baake P, Malezic M, Mauritz KH (1995) Treadmill training with partial body weight support compared with physiotherapy in nonambulatory hemiparetic patients. Stroke 26:976–981

    PubMed  CAS  Google Scholar 

  • Hesse S, Schmidt H, Werner C, Bardeleben A (2003) Upper and lower extremity robotic devices for rehabilitation and for studying motor control. Curr Opin Neurol 16:705–710

    PubMed  Article  Google Scholar 

  • Huang HJ, Ferris DP (2004) Neural coupling between upper and lower limbs during recumbent stepping. J Appl Physiol 97:1299–1308

    PubMed  Article  Google Scholar 

  • Ivanenko YP, Poppele RE, Lacquaniti F (2004) Five basic muscle activation patterns account for muscle activity during human locomotion. J Physiol (Lond) 556:267–282

    Article  CAS  Google Scholar 

  • Ivanenko YP, Cappellini G, Dominici N, Poppele RE, Lacquaniti F (2005) Coordination of locomotion with voluntary movements in humans. J Neurosci 25:7238–7253

    PubMed  Article  CAS  Google Scholar 

  • Kao PC, Ferris DP (2005) The effect of movement frequency on interlimb coupling during recumbent stepping. Motor Control 9:144–163

    PubMed  Google Scholar 

  • Kleim JA, Jones TA, Schallert T (2003) Motor enrichment and the induction of plasticity before or after brain injury. Neurochem Res 28:1757–1769

    PubMed  Article  CAS  Google Scholar 

  • Knikou M, Rymer Z (2002) Effects of changes in hip joint angle on H-reflex excitability in humans. Exp Brain Res 143:149–159

    PubMed  Article  Google Scholar 

  • Lam T, Pearson KG (2001) Proprioceptive modulation of hip flexor activity during the swing phase of locomotion in decerebrate cats. J Neurophysiol 86:1321–1332

    PubMed  CAS  Google Scholar 

  • Mazzaro N, Grey MJ, Sinkjaer T, Andersen JB, Pareyson D, Schieppati M (2005) Lack of on-going adaptations in the soleus muscle activity during walking in patients affected by large-fiber neuropathy. J Neurophysiol 93:3075–3085

    PubMed  Article  Google Scholar 

  • Mazzaro N, Grey MJ, do Nascimento OF, Sinkjaer T (2006) Afferent-mediated modulation of the soleus muscle activity during the stance phase of human walking. Exp Brain Res 173(4):713–723

    PubMed  Article  Google Scholar 

  • McVea DA, Donelan JM, Tachibana A, Pearson KG (2005) A role for hip position in initiating the swing-to-stance transition in walking cats. J Neurophysiol 94:3497–3508

    PubMed  Article  CAS  Google Scholar 

  • Olree KS, Vaughan CL (1995) Fundamental patterns of bilateral muscle activity in human locomotion. Biol Cybern 73(5):409–414

    PubMed  CAS  Google Scholar 

  • Pang MY, Yang JF (2000) The initiation of the swing phase in human infant stepping: importance of hip position and leg loading. J Physiol (Lond) 528:389–404

    Article  CAS  Google Scholar 

  • Reinkensmeyer DJ, Emken JL, Cramer SC (2004) Robotics, motor learning, and neurologic recovery. Annu Rev Biomed Eng 6:497–525

    PubMed  Article  CAS  Google Scholar 

  • Sinkjaer T, Andersen JB, Ladouceur M, Christensen LO, Nielsen JB (2000) Major role for sensory feedback in soleus EMG activity in the stance phase of walking in man. J Physiol (Lond) 523:817–827

    Article  CAS  Google Scholar 

  • Steldt RE, Schmit BD (2004) Modulation of coordinated muscle activity during imposed sinusoidal hip movements in human spinal cord injury. J Neurophysiol 92:673–685

    PubMed  Article  Google Scholar 

  • Van De Crommert HW, Steijvers PJ, Mulder T, Duysens J (2003) Suppressive musculocutaneous reflexes in tibialis anterior following upper leg stimulation at the end of the swing phase. Exp Brain Res 149:405–412

    PubMed  Google Scholar 

  • Vaynman S, Gomez-Pinilla F (2005) License to run: exercise impacts functional plasticity in the intact and injured central nervous system by using neurotrophins. Neurorehabil Neural Repair 19:283–295

    PubMed  Article  Google Scholar 

  • Wernig A, Muller S, Nanassy A, Cagol E (1995) Laufband therapy based on ‘rules of spinal locomotion’ is effective in spinal cord injured persons. Eur J Neurosci 7:823–829

    PubMed  Article  CAS  Google Scholar 

  • Wernig A, Nanassy A, Muller S (1998) Maintenance of locomotor abilities following Laufband (treadmill) therapy in para- and tetraplegic persons: follow-up studies. Spinal Cord 36:744–749

    PubMed  Article  CAS  Google Scholar 

  • Wernig A, Nanassy A, Muller S (1999) Laufband (treadmill) therapy in incomplete paraplegia and tetraplegia. J Neurotrauma 16:719–726

    PubMed  CAS  Article  Google Scholar 

  • Whelan PJ, Hiebert GW, Pearson KG (1995) Stimulation of the group I extensor afferents prolongs the stance phase in walking cats. Exp Brain Res 103:20–30

    PubMed  Article  CAS  Google Scholar 

  • Winter DA, Fuglevand AJ, Archer SE (1994) Crosstalk in surface electromyography: theoretical and practical estimates. J Electromyogr Kinesiol 4:15–26

    Article  Google Scholar 

  • Wren TA, Patrick Do K, Rethlefsen SA, Healy B (2006) Cross-correlation as a method for comparing dynamic electromyography signals during gait. J Biomech 39:2714–2718

    PubMed  Article  Google Scholar 

  • Yang JF, Winter DA (1984) Electromyographic amplitude normalization methods: improving their sensitivity as diagnostic tools in gait analysis. Arch Phys Med Rehabil 65:517–521

    PubMed  CAS  Google Scholar 

  • Zehr EP (2005) Neural control of rhythmic human movement: the common core hypothesis. Exerc Sport Sci Rev 33:54–60

    PubMed  Google Scholar 

  • Zehr EP, Duysens J (2004) Regulation of arm and leg movement during human locomotion. Neuroscientist 10:347–361

    PubMed  Article  Google Scholar 

Download references

Acknowledgments

The authors would like to thank Zaineb Bohra, Kate Havens, Pei-Chun Kao, Catherine Kinnaird, and Jamie Lukos for assistance with data collection. We also thank members of the Human Neuromechanics Laboratory for comments on drafts of the manuscript. This project was supported by grants from the Paralyzed Veterans of America Spinal Cord Research Foundation and the Christopher Reeve Paralysis Foundation.

Author information

Affiliations

Authors

Corresponding author

Correspondence to Daniel P. Ferris.

Rights and permissions

Reprints and Permissions

About this article

Cite this article

Stoloff, R.H., Zehr, E.P. & Ferris, D.P. Recumbent stepping has similar but simpler neural control compared to walking. Exp Brain Res 178, 427–438 (2007). https://doi.org/10.1007/s00221-006-0745-7

Download citation

  • Received:

  • Accepted:

  • Published:

  • Issue Date:

  • DOI: https://doi.org/10.1007/s00221-006-0745-7

Keywords

  • Tibialis Anterior
  • Medial Gastrocnemius
  • Rectus Femoris
  • Cross Correlation Analysis
  • Lateral Gastrocnemius