Skip to main content

The neural response to transcranial magnetic stimulation of the human motor cortex. I. Intracortical and cortico-cortical contributions

Abstract

We investigated the properties of the neural response to transcranial magnetic stimulation (TMS) applied over the human primary motor cortex. Consistent with our previous findings, single pulses of TMS induce a characteristic negative deflection at 45 ms (N45) and a transient oscillation in the beta frequency-range (15–30 Hz), as measured using electroencephalograpy (EEG). Here we show the relative specificity of the beta oscillation and the N45; both are stronger when elicited by stimulation applied over the primary motor cortex, as compared with stimulation over the dorsal premotor cortex. We also provide a quantitative analysis of the beta responses to single pulses of TMS and show that the responses are highly phaselocked to the TMS pulses within single subjects; this phaselocking is similar from subject to subject. A single pulse of TMS applied over the primary motor cortex thus appears to reset the ongoing oscillations of the neurons, bringing them transiently into synchrony. Finally, we examine the effect of local or distal modulation of the excitability of the primary motor cortex on the beta oscillation and the N45 in response to single-pulse TMS. We applied low-frequency subthreshold repetitive TMS either over the primary motor cortex (local modulation) or, on a separate day, over the dorsal premotor cortex (distal modulation). The modulation was evaluated with single suprathreshold test pulses of TMS applied over the primary motor cortex before and after the subthreshold low-frequency rTMS. We recorded the EEG response throughout the testing session, i.e. to both the subthreshold and the suprathreshold pulses. After repetitive TMS applied over the primary motor cortex, but not the dorsal premotor cortex, the amplitude of the N45 in response to suprathreshold pulses tended to decrease (not significant), and subsequently increased (significant); neither type of repetitive TMS affected the amplitude of the beta oscillation. We conclude that (1) the N45 depends on circuits intrinsic to the primary motor cortex; (2) the beta oscillation is specific to stimulation of the primary motor cortex, but is not affected by modulation of either cortical area and; (3) the beta oscillatory response to pulses of TMS arises from resetting of ongoing oscillations rather than their induction.

This is a preview of subscription content, access via your institution.

Fig. 1
Fig. 2
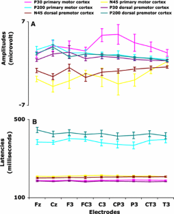
Fig. 3
Fig. 4
Fig. 5
Fig. 6
Fig. 7
Fig. 8
Fig. 9
Fig. 10
Fig. 11
Fig. 12
Fig. 13

References

  • Amassian VE, Stewart M, Quirk GJ, Rosenthal JL (1987) Physiological basis of motor effects of a transient stimulus to cerebral cortex. Neurosurgery 20:74–93

    PubMed  CAS  Google Scholar 

  • Başar E (1998) Brain function and oscillations. I. Brain oscillations: principles and approaches. Springer, Berlin Heidelberg New York

    Google Scholar 

  • Başar E (1999) Brain function and oscillations. II. Integrative brain function: neurophysiology and cognitive processes. Springer, Berlin Heidelberg New York

    Google Scholar 

  • Britton TC, Thompson PD, Day BL, Rothwell JC, Findley LJ,Marsden CD (1993) Modulation of postural wrist tremors by magnetic stimulation of the motor cortex in patients with Parkinson’s disease or essential tremor and in normal subjects mimicking tremor. Ann Neurol 33:473–479

    PubMed  Article  CAS  Google Scholar 

  • Chen R, Classen J, Gerloff C, Celnik P, Wassermann EM, Hallett M, Cohen LG (1997) Depression of motor cortex excitability by low-frequency transcranial magnetic stimulation. Neurology 48:1398–1403

    PubMed  CAS  Google Scholar 

  • Chouinard PA, Van Der Werf YD, Leonard G, Paus T (2003) Modulating neural networks with transcranial magnetic stimulation applied over the dorsal premotor and primary motor cortices. J Neurophysiol 90:1071–1083

    PubMed  Article  Google Scholar 

  • Colebatch JG, Dieber MP, Passingham RE, Friston KJ, Frackowiak RS (1991) Regional cerebral blood flow during voluntary arm and hand movements in human subjects. J Neurophysiol 65:1392–1401

    PubMed  CAS  Google Scholar 

  • Collins DL, Neelin P, Peters TM, Evans AC (1994) Automatic 3D intersubject registration of MR volumetric data in standardized Talairach space. J Comp Assist Tomogr 18:192–205

    CAS  Google Scholar 

  • Dettmers C, Fink GR, Lemon RN, Stephan KM, Passingham RE, Silbersweig D, Holmes D, Ridding MC, Brooks DJ, Frakowiak RS (1995) Relation between cerebral activity and force in motor areas of the brain. J Neurophysiol 74:802–815

    PubMed  CAS  Google Scholar 

  • Fink GR, Frackowiak RS, Pietrzyk U, Passingham RE (1997) Multiple nonprimary motor areas in the human cortex. J Neurophysiol 77:2164–2174

    PubMed  CAS  Google Scholar 

  • Fuggetta G, Fiaschi A, Manganotti P (2005) Modulation of cortical oscillatory activities induced by varying single-pulse transcranial magnetic stimulation intensity over the left primary motor area: a combined EEG and TMS study. DOI10.1016/j.neuroimage.2005.05.013

  • Gerschlager W, Siebner HR, Rothwell JC (2001) Decreased corticospinal excitability after subthreshold 1-Hz rTMS over lateral premotor cortex. Neurology 57:449–455

    PubMed  CAS  Google Scholar 

  • Grafton ST, Woods RP, Mazziota JC (1993) Within-arm somatotopy in human motor areas determined by positron emission tomography imaging of cerebral blood flow. Exp Brain Res 95:172–176

    PubMed  Article  CAS  Google Scholar 

  • Iyer MB, Schleper N, Wassermann EM (2002) Priming induced enhancement of 1 Hz repetitive transcranial magnetic stimulation (TMS) depressant effect. Program No. 648.18. 2002 Abstract Viewer/Itinerary Planner. Society for Neuroscience CD-ROM, Washington

  • Jahanshahi M, Jenkins IH, Brown RG, Marsden CD, Passingham RE, Brooks DJ (1995) Self-initiated versus externally triggered movements: I. An investigation using measurement of cerebral blood flow with PET and movement-related potentials in normal and Parkinson’s disease subjects. Brain 118:913–933

    PubMed  Article  Google Scholar 

  • Jasper HH (1958) The ten-twenty electrode system of the international federation. Electroenc Clin Neurophysiol 10:371–375

    Google Scholar 

  • Jenkins IH, Brooks DJ, Nixon PD, Frackowiak RS, Passingham RE (1994) Motor sequence learning: a study with positron emission tomography. J Neurosci 14:3775–3790

    PubMed  CAS  Google Scholar 

  • Jing H, Takigawa M (2000) Observation of EEG coherence after repetitive transcranial magnetic stimulation. Clin Neurophysiol 111:1620–1631

    PubMed  Article  CAS  Google Scholar 

  • Kobayashi M, Pascual-Leone A (2003) Transcranial magnetic stimulation in neurology. Lancet Neurol 2:145–156

    PubMed  Article  Google Scholar 

  • Lytton WW, Sejnowski TJ (1991) Simulations of cortical pyramidal neurons synchronized by inhibitory interneurons. J Neurophysiol 66:1059–1079

    PubMed  CAS  Google Scholar 

  • Maeda F, Keenan JP, Tormos JM, Topka H, Pascual-Leone A (2000a) Modulation of corticospinal excitability by repetitive transcranial magnetic stimulation. Clin Neurophysiol 111:800–805

    Article  CAS  Google Scholar 

  • Maeda F, Keenan JP, Tormos JM, Topka H, Pascual-Leone A (2000b) Interindividual variability of the modulatory effects of repetitive transcranial magnetic stimulation on cortical excitability. Exp Brain Res 133:425–430

    Article  CAS  Google Scholar 

  • Makeig S, Westerfield M, Jung T-P, Enghoff S, Townsend J, Courchesne E, Sejnowski TJ (2002) Dynamic brain sources of visual evoked responses. Science 295:690–694

    PubMed  Article  CAS  Google Scholar 

  • Marsden JF, Werhahn KJ, Ashby P, Rothwell J, Noachtar S, Brown P (2000) Organization of cortical activities related to movement in humans. J Neurosci 20:2307–2314

    PubMed  CAS  Google Scholar 

  • Matelli M, Rizzolatti G, Bettinardi V, Gilardi MC, Perani D, Rizzo G, Fazio F (1993) Activation of precentral and mesial motor areas during the execution of elementary proximal and distal arm movements: a PET study. NeuroReport 4:1295–1298

    PubMed  Article  CAS  Google Scholar 

  • Muellbacher W, Ziemann U, Boroojerdi B, Hallett M (2000) Effects of low-frequency transcranial magnetic stimulation on motor excitability and basic motor behavior. Clin Neurophysiol 111:1002–1007

    PubMed  Article  CAS  Google Scholar 

  • Münchau A, Bloem BR, Irlbacher K, Trimble MR, Rothwell JC (2002) Functional connectivity of human premotor and motor cortex explored with repetitive transcranial magnetic stimulation. J Neurosci 22:554–561

    PubMed  Google Scholar 

  • Nakamura H, Kitagawa H, Kawaguchi Y, Tsuji H (1996) Direct and indirect activation of human corticospinal neurons by transcranial magnetic and electrical stimulation. Neurosci Lett 210:45–48

    PubMed  Article  CAS  Google Scholar 

  • Niedermeyer E (1999) The normal EEG of the waking adult. In: Niedermeyer E, Lopes da Silva F (eds) Electroencephalography. Basic principles, clinical applications and related fields, 4th edn. Williams and Wilkins, Baltimore, pp 149–173

    Google Scholar 

  • Nikouline V, Ruohonen J, Ilmoniemi RJ (1999). The role of the coil click in TMS assessed with simultaneous EEG. Clin Neurophysiol 110:1325–1328

    PubMed  Article  CAS  Google Scholar 

  • Oliviero A, Strens LHA, LazzaroV, Tonali PA, Brown P (2003) Persistent effects of high frequency repetitive TMS on the coupling between motor areas in the human. Exp Brain Res 149:107–113

    PubMed  Google Scholar 

  • Pascual-Leone A, Valls-Solé J, Wassermann EM, Hallett M (1994) Responses to rapid-rate transcranial magnetic stimulation of the human motor cortex. Brain 117:847–858

    PubMed  Article  Google Scholar 

  • Paus T (2002) Combination of transcranial magnetic stimulation with brain imaging. In: Mazziotta J, Toga A (eds) Brain mapping: the methods, 2nd edn. Academic, San Diego, pp 691–705

    Google Scholar 

  • Paus T, Petrides M, Evans AC, Meyer E (1993) Role of the human anterior cingulate cortex in the control of occulomotor, manual, and speech responses: a positron emission tomography study. J Neurophysiol 70:453–469

    PubMed  CAS  Google Scholar 

  • Paus T, Jech R, Thompson CJ, Comeau R, Peters T, Evans AC (1997a) Transcranial magnetic stimulation during positron emission tomography: a new method of studying connectivity of the human cerebral cortex. J Neurosci 17:3178–3184

    CAS  Google Scholar 

  • Paus T, Zatorre RJ, Hofle N, Caramanos Z, Gotman J, Petrides M, Evans AC (1997b) Time-related changes in neural systems underlying attention arousal during the performance of an auditory vigilance task. J Cogn Neurosci 9:392–408

    Article  Google Scholar 

  • Paus T, Sipila PK, Strafella AP (2001) Synchronization of neuronal activity in the human sensorimotor cortex by transcranial magnetic stimulation: a combined TMS/EEG study. J Neurophysiol 86:1983–1990

    PubMed  CAS  Google Scholar 

  • Rabiner LR, Gold B (1975) Theory and application of digital signal processing. Prentice-Hall, Englewood Cliffs

    Google Scholar 

  • Schlaug G, Knorr U, Seitz R (1994) Inter-subject variability of cerebral activations in acquiring motor skill: a study with positron emission tomography. Exp Brain Res 98:523–534

    PubMed  Article  CAS  Google Scholar 

  • Schulter ND, Rushworth MFS, Passingham RE, Mills KR (1998) Temporary interference in human lateral premotor cortex suggests dominance for the selection of movements: a study using transcranial magnetic stimulation. Brain 121:785–799

    Article  Google Scholar 

  • Schürmann M, Nikouline VV, Soljanlahti S, Ollikainen M, Basar E, Ilmoniemi RJ (2001) EEG responses to combined somatosensory and transcranial magnetic stimulation. Clin Neurophysiol 112:19–24

    PubMed  Article  Google Scholar 

  • Strens LH, Oliviero A, Bloem BR, Gerschlager W, Rothwell JC, Brown P (2002) The effects of subthreshold 1 Hz repetitive TMS on cortico-cortical and interhemispheric coherence. Clin Neurophysiol 113:1279–1285

    PubMed  Article  Google Scholar 

  • Talairach J, Tournoux P (1988). Co-planar stereotactic atlas of the human brain: dimensional proportional system: an approach to cerebral imaging. Thieme, Germany

    Google Scholar 

  • Timmermann L, Gross J, Dirks M, Volkmann J, Freund H-J, Schnitzler A (2002) The cerebral oscillatory network of parkinsonian resting tremor. Brain 126:199–212

    Article  Google Scholar 

  • Touge T, Gerschlager W, Brown P, Rothwell JC (2001) Are the after-effects of low-frequency rTMS on motor cortex excitability due to changes in the efficacy of cortical synapses? Clin Neurophysiol 112:2138–2145

    PubMed  Article  CAS  Google Scholar 

  • Van Der Werf YD, Sadikot AF, Strafella AP, Paus T (2006) The neural response to transcranial magnetic stimulation of the human motor cortex. II. Thalamocortical contributions. Exp Brain Res. DOI 10.1007/s00221-006-0548-x

  • Virtanen J, Ruohonen J, Naatanen R, Ilmoniemi RJ (1999) Instrumentation for the measurement of electric brain responses to transcranial magnetic stimulation. Med Biol Eng Comput 37:332–326

    Article  Google Scholar 

  • Walsh V, Cowey A (2000) Transcranial magnetic stimulation cognitive neuroscience. Nature Rev Neurosci 1:73–79

    Article  CAS  Google Scholar 

  • Wang H, Wang X, Scheich H (1996) LTD and LTP induced by transcranial magnetic stimulation in auditory cortex. Neuroreport 7:521–525

    PubMed  CAS  Article  Google Scholar 

Download references

Acknowledgements

We would like to thank Dr. Joost Kuijer, Dr. Siebren Van Der Werf and Ir. Jeroen Verbunt for their advice on time-series analysis. This work was funded by the Canadian Institutes of Health Research and the Canadian Foundation for Innovation.

Author information

Affiliations

Authors

Corresponding author

Correspondence to Ysbrand D. Van Der Werf.

Additional information

The first author was funded by a fellowship from the Canadian Institute of Health Research (CIHR).

Rights and permissions

Reprints and Permissions

About this article

Cite this article

Van Der Werf, Y.D., Paus, T. The neural response to transcranial magnetic stimulation of the human motor cortex. I. Intracortical and cortico-cortical contributions. Exp Brain Res 175, 231–245 (2006). https://doi.org/10.1007/s00221-006-0551-2

Download citation

  • Received:

  • Accepted:

  • Published:

  • Issue Date:

  • DOI: https://doi.org/10.1007/s00221-006-0551-2

Keywords

  • Primary motor cortex
  • Dorsal premotor cortex
  • Oscillations
  • Excitability
  • Plasticity