Abstract
The potential of high-resolution mass spectrometry (HRMS) for the investigation of human in vivo metabolism of 3,4-methylenedioxypyrovalerone (MDPV) using urine collected from a consumer (this is, in non-controlled experiments) has been investigated. As a control sample was not available, the common approach based on the comparison of a control/blank sample and samples collected after drug intake could not be used. Alternatively, an investigation based on common fragmentation pathways was applied, assuming that most metabolites share some fragments with the parent drug. An extension of this approach was also applied based on the fragmentation pathway of those metabolites identified in urine samples in the first step. The use of MSE experiments (sequential acquisition of mass spectra at low and high collision energy) has been crucial to this aim as it allowed promoting fragmentation in the collision cell without any previous precursor ion selection. MDPV belongs to the group of new psychoactive substances (NPS), being known as the “cannibal drug”. This substance is being abused more and more and is associated with dangerous side effects. The human metabolites (both phase I and phase II) were detected and tentatively identified by accurate mass full-spectrum measurements using ultra-high performance liquid chromatography coupled to hybrid quadrupole time-of-flight mass spectrometry (UHPLC-QTOF MS). Following this strategy, up to 10 phase I metabolites, together with some glucuronides and sulphates, were detected and tentative structures were proposed. Several compounds identified in this work have not been previously reported in the literature.

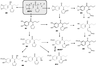
Detection of metabolites of MDPV by common fragmentation pathway




Similar content being viewed by others
Explore related subjects
Discover the latest articles and news from researchers in related subjects, suggested using machine learning.References
Mardal M, Meyer MR (2014) Studies on the microbial biotransformation of the novel psychoactive substance methylenedioxypyrovalerone (MDPV) in wastewater by means of liquid chromatography-high resolution mass spectrometry/mass spectrometry. Sci Total Environ 493:588–595
van Nuijs AL, Gheorghe A, Jorens PG, Maudens K, Neels H, Covaci A (2013) Optimization, validation, and the application of liquid chromatography-tandem mass spectrometry for the analysis of new drugs of abuse in wastewater. Drug Test Anal 6:861–867
Ort C, van Nuijs A, Berset JD, Bijlsma L, Castiglioni S, Covaci A, de Voogt P, Emke E, Fatta-Kassinos D, Griffiths P, Hernández F, González-Marino I, Grabic R, Kasprzyk-Hordern B, Mastroianni N, Meierjohann A, Néfau T, Östman M, Picó Y, Racamonde I, Reid M, Slobodnik J, Terzic S, Thomaidis N, Thomas K (2014) Spatial differences and temporal changes in illicit drug use in Europe quantified by wastewater analysis. Addiction 109:1338–1352
Gardos G, Cole JO (1971) Evaluation of pyrovalerone in chronically fatigued volunteers. Curr Ther Res 13:631–635
Deniker P, Loo H, Cuche H, Roux JM (1975) Abuse of pyrovalerone by drug addicts. Ann Med Psychol 2:745–748
http://www.elmundo.es/baleares/2014/06/30/53b0f939ca47414e5d8b456d.html (last accessed 15/10/2014)
http://www.abc.es/local-baleares/20140705/abci-britanica-muerde-magaluf-201407051225.html (last accessed 15/10/2014)].
Hernández F, Grimalt S, Pozo ÓJ, Sancho JV (2009) Use of ultra-high-pressure liquid chromatography-quadrupole time-of-flight MS to discover the presence of pesticide metabolites in food samples. J Sep Sci 32:2245–2261
Thurman EM, Ferrer I, Zavitsanos P, Zweigenbaum JA (2013) Identification of imidacloprid metabolites in onion (Allium cepa L.) using high-resolution mass spectrometry and accurate mass tools. Rapid Commun Mass Spectrom 27:1891–1903
Díaz R, Ibáñez M, Sancho JV, Hernández F (2012) Target and non-target screening strategies for organic contaminants, residues and illicit substances in food, environmental and human biological samples by UHPLC-QTOF-MS. Anal Methods 4:196–217
Hernández F, Bijlsma L, Sancho JV, Díaz R, Ibáñez M (2011) Rapid wide-scope screening of drugs of abuse, prescription drugs with potential for abuse and their metabolites in influent and effluent urban wastewater by ultrahigh pressure liquid chromatography-quadrupole-time-of-flight-mass spectrometry. Anal Chim Acta 684:96–106
Meyer MR, Du P, Schuster F, Maurer H (2010) Studies on the metabolism of the α-pyrrolidinophenone designer drug methylenedioxy-pyrovalerone (MDPV) in rat and human urine and human liver microsomes using GC-MS and LC-high-resolution MS and its detectability in urine by GC-MS. J Mass Spectrom 45:1426–1442
Strano-Rossi S, Cadwallader AB, de la Torre X, Botrè F (2010) Toxicological determination and in vitro metabolism of the new designer drug methylenedioxypyrovalerone (MDPV) by gas chromatography/mass spectrometry and liquid chromatography/quadrupole time-of-flight mass spectrometry. Rapid Commun Mass Spectrom 24:2706–2714
Anizan S, Ellefsen K, Concheiro M, Suzuki M, Rice KC, Baumann MH, Huestis MA (2014) 3,4-Methylenedioxypyrovalerone (MDPV) and metabolites quantification in human and rat plasma by liquid chromatography-high resolution mass spectrometry. Anal Chim Acta 827:54–63
Bertol E, Mari F, Boscolo-Berto R, Mannaioni G, Vaiano F, Favretto D (2014) A mixed MDPV and benzodiazepine intoxication in a chronic drug abuser: determination of MDPV metabolites by LC–HRMS and discussion of the case. Forensic Sci Int 24:149–155
Paul M, Ippisch J, Herrmann C, Guber S, Schultis W (2014) Analysis of new designer drugs and common drugs of abuse in urine by a combined targeted and untargeted LC-HR-QTOFMS approach. Anal Bioanal Chem 406:4425–4441
Hernández F, Sancho JV, Pozo OJ (2004) An estimation of the exposure to organophosphorus pesticides through the simultaneous determination of their main metabolites in urine by liquid chromatography-tandem mass spectrometry. J Chromatogr B Anal Technol Biomed Life Sci 808:229–239
Zhu BT (2002) Catechol-O-methyltransferase(COMT)-mediated methylation metabolism of endogenous bioactive catechols and modulation by endobiotics and xenobiotics: importance in pathophysiology and pathogenesis. Curr Drug Metab 2002:321
Pozo OJ, Ibáñez M, Sancho JV, Lahoz-Beneytez J, Farré M, Papaseit E, de la Torre R, Hernández F (2015) Evaluation of mephedrone in vivo human metabolismby ultra high performance líquid chromatography coupled to hybrid quadrupole-time of flight mass spectrometry. Drug Metab Dispos 43:248–257
Sauer C, Peters FT, Haas C, Meyer MR, Fritschi G, Maurer HH (2009) New designer drug α-pyrrolidinovalerophenone (PVP): studies on its metabolism and toxicological detection in rat urine using gas chromatographic/mass spectrometric techniques. J Mass Spectrom 44:952–964
Acknowledgments
The authors acknowledge the financial support of the Spanish Ministry of Economy and Competitiveness (CTQ2012-36189) and of Generalitat Valenciana (research group of excellence PROMETEOII/2014/023; ISIC Envi-Food 2014/016). Spanish Health National System is acknowledged for O. J. Pozo contract (MS10/00576).
Author information
Authors and Affiliations
Corresponding author
Ethics declarations
Conflict of interest
There are no financial or other relations that could lead to a conflict of interest.
Electronic supplementary material
Below is the link to the electronic supplementary material.
ESM 1
(PDF 414 kb)
Rights and permissions
About this article
Cite this article
Ibáñez, M., Pozo, Ó.J., Sancho, J.V. et al. Analytical strategy to investigate 3,4-methylenedioxypyrovalerone (MDPV) metabolites in consumers’ urine by high-resolution mass spectrometry. Anal Bioanal Chem 408, 151–164 (2016). https://doi.org/10.1007/s00216-015-9088-1
Received:
Revised:
Accepted:
Published:
Issue Date:
DOI: https://doi.org/10.1007/s00216-015-9088-1


