Skip to main content

Identification of biomarkers in the hair of dogs: new diagnostic possibilities in the study and control of visceral leishmaniasis

Abstract

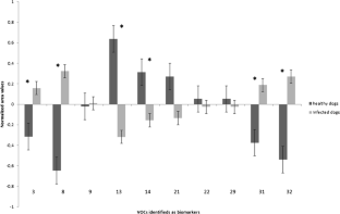
Visceral leishmaniasis (VL) is a zoonosis whose etiologic agent in the Americas is Leishmania infantum, and dogs are the main host. Research and innovation in diagnostic techniques are essential to improve the surveillance and control of VL in endemic areas. The present study investigates the profile of the volatile organic compounds (VOCs) emitted by healthy dogs and by dogs infected by L. infantum to detect variations in the VOCs that may be used as biomarkers in the diagnosis of VL. In total, 36 dogs were selected from an endemic area and divided into three groups: G1, not infected with L. infantum; G2, infected without clinical signs of VL; and G3, infected with clinical signs of VL. To analyze the profiles of the VOCs emitted by dogs from the three groups, solid-phase microextraction (SPME) combined with gas chromatography-mass spectrometry (GC-MS) was used. Variations were observed between the profiles of the VOCs emitted in the three groups studied, and they also differentiated infected animals with or without clinical signs. Six VOCs were identified as potential biomarkers of infection, with significant variations between healthy dogs (G1) and infected dogs (G2 + G3). The detection of variations between groups G2 and G3 suggested that the profiles of some VOCs may be related to the type of immune response and the parasite load of the infected dogs. This study demonstrated the possibility of analysis of VOCs as biomarkers of VL in diagnostic, clinical, and epidemiological work.

This is a preview of subscription content, access via your institution.

Fig. 1
Fig. 2
Fig. 3
Fig. 4
Fig. 5

References

  1. WHO (2011) Leishmaniasis: worldwide epidemiological and drug access update. WHO, Geneva

  2. Alvar J, Vélez ID, Bern C, Herrero M, Desjeux P, Cano J, Jannin J, den Boer M (2012) Leishmaniasis worldwide and global estimates of its incidence. PLoS One 7:e35671

    Article  CAS  Google Scholar 

  3. Lainson R, Rangel EF (2005) Lutzomyia longipalpis and the eco-epidemiology of American visceral leishmaniasis, with particular reference to Brazil: a review. Mem Inst Oswaldo Cruz 100:811–827

    Article  Google Scholar 

  4. Silva AVM, Paula AA, Cabrera MAA, Carreira JCA (2005) Leishmaniasis in domestic dogs: epidemiological aspects. Cad Saude Publica 21:324–328

    Article  Google Scholar 

  5. Kaye PM, Svensson M, Ato M, Maroof A, Polley R, Stager S, Zubairi S, Engwerda CR (2004) The immunopathology of experimental visceral leishmaniasis. Immunol Rev 201:239–253

    Article  CAS  Google Scholar 

  6. Sanchez MA, Diaz NL, Zerpa O, Negron E, Convit J, Tapia FJ (2004) Organ-specific immunity in canine visceral leishmaniasis: analysis of symptomatic and asymptomatic dogs naturally infected with Leishmania chagasi. Am J Trop Med Hyg 70:618–624

    Google Scholar 

  7. Da Costa-Val AP, Cavalcanti RR, de Figueiredo Gontijo N, Marques Michalick MS, Alexander B, Williams P, Melo MN (2007) Canine visceral leishmaniasis: relationships between clinical status, humoral immune response, haematology and Lutzomyia (Lutzomyia) longipalpis infectivity. Vet J 174:636–643. doi:10.1016/j.tvjl.2006.11.006

    Article  Google Scholar 

  8. Travi BL, Tabares CJ, Cadena H, Ferro C, Osorio Y (2001) Canine visceral leishmaniasis in Colombia: relationship between clinical and parasitologic status and infectivity for sand flies. Am J Trop Med Hyg 64:119–1249

    CAS  Google Scholar 

  9. Daviss B (2005) Growing pains for metabolomics. Scientist 19:25–28

    Google Scholar 

  10. van der Greef J, Smilde AK (2005) Symbiosis of chemometrics and metabolomics: past, present, and future. J Chemometr 19:376–386

    Article  Google Scholar 

  11. Stenn K, Paus R (2001) Controls of hair follicle cycling. Physiol Rev 81:449–494

    CAS  Google Scholar 

  12. Gratacos-Cubarsi M, Castellari M, Valero A, Garcia-Regueiro J (2006) Hair analysis for veterinary drug monitoring in livestock production. J Chromatogr B 834:14–25

    Article  CAS  Google Scholar 

  13. Vincenti M, Salomone A, Gerace E, Pirro V (2013) Application of mass spectrometry to hair analysis for forensic toxicological investigations. Mass Spectrom Rev 32:312–332

    Article  CAS  Google Scholar 

  14. Oliveira LS, Rodrigues FM, de Oliveira FS, Mesquita PR, Leal DC, Alcântara AC, Souza BM, Franke CR, Pereira PAP, de Andrade JB (2008) Headspace solid phase microextraction/gas chromatography–mass spectrometry combined to chemometric analysis for volatile organic compounds determination in canine hair: a new tool to detect dog contamination by visceral leishmaniasis. J Chromatogr B 875:392–398

    Article  Google Scholar 

  15. Zhang Z, Li G (2010) A review of advances and new developments in the analysis of biological volatile organic compounds. Microchem J 95:127–139

    Article  CAS  Google Scholar 

  16. Hantao LW, Aleme HG, Passador MM, Furtado EL, Ribeiro FAL, Poppi RJ, Augusto F (2013) Determination of disease biomarkers in Eucalyptus by comprehensive two-dimensional gas chromatography and multivariate data analysis. J Chromatogr A 1279:86–91. doi:10.1016/j.chroma.2013.01.013

    Article  CAS  Google Scholar 

  17. Phillips M, Cataneo RN, Ditkoff BA, Fisher P, Greenberg J, Gunawardena R, Kwon CS, Rahbari-Oskoui F, Wong C (2003) Volatile markers of breast cancer in the breath. Breast J 9:184–191. doi:10.1046/j.1524-4741.2003.09309.x

    Article  Google Scholar 

  18. Di Natale C, Macagnano A, Martinelli E, Paolesse R, D’Arcangelo G, Roscioni C, Finazzi-Agrò A, D’Amico A (2003) Lung cancer identification by the analysis of breath by means of an array of non-selective gas sensors. Biosens Bioelectron 18:1209–1218. doi:10.1016/S0956-5663(03)00086-1

    Article  Google Scholar 

  19. Dalton P, Gelperin A, Preti G (2004) Volatile metabolic monitoring of glycemic status in diabetes using electronic olfaction. Diabetes Technol 6:534–544

    Article  CAS  Google Scholar 

  20. Barrouin-Melo SM, Larangeira DF, de Andrade Filho FA, Trigo J, Juliao FS, Franke CR, Palis Aguiar PH, Conrado dos-Santos WL, Pontes-de-Carvalho L (2006) Can spleen aspirations be safely used for the parasitological diagnosis of canine visceral leishmaniosis? A study on assymptomatic and polysymptomatic animals. Vet J 171:331–339. doi:10.1016/j.tvjl.2004.11.010

    Article  Google Scholar 

  21. Romero GA, Boelaert M (2010) Control of visceral leishmaniasis in Latin America—a systematic review. PLoS Negl Trop Dis 4:e584

    Article  Google Scholar 

  22. Ribeiro VM, da Silva SM, Menz I, Tabanez P, dos Santos Nogueira F, Werkhaüser M, da Fonseca ALS, Dantas-Torres F (2013) Control of visceral leishmaniasis in Brazil: recommendations from Brasileish. Parasitol Vectors 6:8

    Article  Google Scholar 

  23. Garner C, Smith S, Bardhan P, Ratcliffe N, Probert C (2009) A pilot study of faecal volatile organic compounds in faeces from cholera patients in Bangladesh to determine their utility in disease diagnosis. Trans R Soc Trop Med Hyg 103:1171–1173

    Article  CAS  Google Scholar 

  24. Mandy M, Cornelia F, Malgorzata L, Oliver S, Achim S, Dorothee S (2012) Volatile organic compounds (VOCs) in exhaled breath of patients with breast cancer in a clinical setting. Ginekol Pol 83:730–736

    Google Scholar 

  25. Rupérez FJ, Ramos-Mozo P, Teul J, Martinez-Pinna R, Garcia A, Malet-Martino M, Camafeita E, Lopez JA, Pastor-Vargas C, Egido J (2012) Metabolomic study of plasma of patients with abdominal aortic aneurysm. Anal Bioanal Chem 403:1651–1660

    Article  Google Scholar 

  26. Queiroz NM, da Silveira R, Fau - de Noronha ACF Jr, de Noronha A Jr, Fau - Oliveira TMFS, Oliveira T, Fau - Machado RZ, Machado R, Fau - Starke-Buzetti WA, Starke-Buzetti WA (2011) Detection of Leishmania (L.) chagasi in canine skin. Vet Parasitol 178(1873–2550 (Electronic)):1–8. doi:10.1016/j.vetpar.2010.12.033

    Article  Google Scholar 

  27. Harkey M (1993) Anatomy and physiology of hair. Forensic Sci Int 63:9–18

    Article  CAS  Google Scholar 

  28. Dorea J, Costa J, Holzbecher J, Ryan D, Marsden P (1987) Antimony accumulation in hair during treatment of leishmaniasis. Clin Chem 33:2081–2082

    CAS  Google Scholar 

  29. Agusa T, Kunito T, Iwata H, Monirith I, Chamnan C, Tana TS, Subramanian A, Tanabe S (2007) Mercury in hair and blood from residents of Phnom Penh (Cambodia) and possible effect on serum hormone levels. Chemosphere 68:590–596

    Article  CAS  Google Scholar 

  30. Anielski P (2008) Hair analysis of anabolic steroids in connection with doping control—results from horse samples. J Mass Spectrom 43:1001–1008

    Article  CAS  Google Scholar 

  31. Henderson G (1993) Mechanisms of drug incorporation into hair. Forensic Sci Int 63:19–29

    Article  CAS  Google Scholar 

  32. Knols BGJ, Meijerink J (1997) Odors influence mosquito behavior. Sci Med 4:56–63

    Google Scholar 

  33. Solano-Gallego L, Miró G, Koutinas A, Cardoso L, Pennisi MG, Ferrer L, Bourdeau P, Oliva G, Baneth G (2011) LeishVet guidelines for the practical management of canine leishmaniosis. Parasitol Vectors 4:1–16

    Article  Google Scholar 

  34. Grimaldi G, Tesh R (1993) Leishmaniases of the New World: current concepts and implications for future research. Clin Microbiol Rev 6:230–250

    Google Scholar 

  35. Alves CF, de Amorim IF, Moura EP, Ribeiro RR, Alves CF, Michalick MS, Kalapothakis E, Bruna-Romero O, Tafuri WL, Teixeira MM (2009) Expression of IFN-γ, TNF-α, IL-10 and TGF-β in lymph nodes associates with parasite load and clinical form of disease in dogs naturally infected with Leishmania (Leishmania) chagasi. Vet Immunol Immunopathol 128(4):349–358

    Article  CAS  Google Scholar 

  36. Pinelli E, Killick-Kendrick R, Wagenaar J, Bernadina W, Del Real G, Ruitenberg J (1994) Cellular and humoral immune responses in dogs experimentally and naturally infected with Leishmania infantum. Infect Immun 62:229–235

    CAS  Google Scholar 

  37. Guarga JL, Moreno J, Lucientes J, Gracia MJ, Peribáñez MA, Alvar J, Castillo JA (2000) Canine leishmaniasis transmission: higher infectivity amongst naturally infected dogs to sand flies is associated with lower proportions of T helper cells. Res Vet Sci 69:249–253. doi:10.1053/rvsc.2000.0419

    Article  CAS  Google Scholar 

  38. Manna L, Reale S, Vitale F, Gravino AE (2009) Evidence for a relationship between Leishmania load and clinical manifestations. Res Vet Sci 87:76–78

    Article  Google Scholar 

  39. Wennig R (2000) Potential problems with the interpretation of hair analysis results. Forensic Sci Int 107:5–12

    Article  CAS  Google Scholar 

  40. Brereton R (2009) Chemometrics for pattern recognition. http://www.wiley.com/WileyCDA/WileyTitle/productCd-0470987251.html

Download references

Acknowledgments

This study was performed with the support of the National Council for Scientific and Technological Development (Conselho Nacional de Desenvolvimento Científico e Tecnológico - CNPq – 479753/2009-1) and the Bahia State Research Foundation (Fundação de Amparo à Pesquisa do Estado da Bahia - FAPESB – Pedido No. 498/ 2011 and No. 1799/2012). We thank the Brazilian Federal Agency for the Support and Evaluation of Graduate Education (Coordenação de Aperfeiçoamento de Pessoal de Nível Superior - CAPES) for granting a master’s degree scholarship (J.T. Magalhães-Junior). The authors thank Clauceane de Jesus (LIVE-UFBA) for helping with serological and parasitological tests and Estéfane da C. Nunes (EBDA) for helping with the chemical identification of the volatile organic compounds.

Author information

Affiliations

Authors

Corresponding author

Correspondence to Jairo Torres Magalhães-Junior.

Electronic supplementary material

Below is the link to the electronic supplementary material.

ESM 1

(PDF 39 kb)

Rights and permissions

Reprints and Permissions

About this article

Verify currency and authenticity via CrossMark

Cite this article

Magalhães-Junior, J.T., Mesquita, P.R.R., Oliveira, W.F.S. et al. Identification of biomarkers in the hair of dogs: new diagnostic possibilities in the study and control of visceral leishmaniasis. Anal Bioanal Chem 406, 6691–6700 (2014). https://doi.org/10.1007/s00216-014-8103-2

Download citation

  • Received:

  • Revised:

  • Accepted:

  • Published:

  • Issue Date:

  • DOI: https://doi.org/10.1007/s00216-014-8103-2

Keywords

  • Metabolomics
  • VOCs
  • Canine visceral leishmaniasis
  • Leishmania infantum
  • Biomarkers
  • Disease diagnostics