Abstract
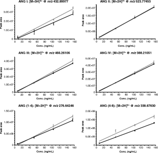
It is common practice to quantify the mass concentration of a peptide solution through quantitative determination of selected chemically stable amino acids produced following complete hydrolysis of the parent peptide. This is because there is generally an insufficient quantity of material available to allow for the obvious alternative of a direct purity analysis characterization of the parent peptide, and the subsequent constitution of a calibration solution. However, selected accurately characterized pure peptide reference materials are required to establish reference points for the dissemination of metrologically traceable measurements and to develop reference measurement systems for laboratory medicine. In principle, purity assignment of a peptide can be performed by using the so-called mass balance approach, by employing a range of analytical techniques to obtain an estimate of the mass fraction content of all impurities present in the intact peptide, and by utilizing the difference from the theoretical limit value to assign the mass fraction content of the main peptide. Liquid chromatography–high-resolution tandem mass spectrometry (LC-hrMS/MS) is a key technique for the detection, identification, and determination of structurally related impurities present in a peptide material, and experiments characterizing the model peptide hormone angiotensin I (ANG I) are described in the present work. Degradation products that were generated from ANG I after storage at elevated temperatures were screened. The formation of peptide fragments such as ANG II or ANG III was determined by comparison of measured mass values with calculated mass values. The use of a data-dependent acquisition technique enabled the detection and structural characterization of ANG II and other peptide fragments as major impurities in the same LC-hrMS/MS analysis run. Subsequent quantification using external calibration allowed the mass fraction of the major impurities in a candidate reference material to be estimated as 10.4 mg/g. Failure to correct for these impurities would lead to a 1 % error in the determination of the concentration of the peptide in solution by amino acid analysis techniques.

Angiotensin I (ANG I): hrMS/MS spectrum, chemical formula, and amino acid sequence





Similar content being viewed by others
References
Konoshita T and the Genomic Disease Outcome Consortium Study Investigators (2008) Do genetic variants of the renin–angiotensin system predict blood pressure response to renin–angiotensin system-blocking drugs? A systematic review of pharmacogenomics in the renin–angiotensin system. Curr Hypertens Rep 13:356–361
Atlas SA (2007) The renin–angiotensin aldosterone system: pathophysiological role and pharmacologic inhibition. J Manag Care Pharm 13(Suppl S-b):S9–S20
Fyhrquist F, Saijonmaa O (2008) Renin–angiotensin system revisited. J Int Med 264:224–236
Cui L, Nithipatikom K, Campbell WB (2007) Simultaneous analysis of angiotensin peptides by LC-MS and LC-MS/MS: metabolism by bovine adrenal endothelial cells. Anal Biochem 369:27–33
Bujak-Giżycka B, Madej J, Wołkow PP, Olszanecki R, Drabik L, Rutowski J, Korbut R (2007) Measurement of angiotensin metabolites in organ bath and cell culture experiments by liquid chromatography–electrospray ionization–mass spectrometry (LC-ESI-MS). J Physiol Pharm 58:529–540
Reudelhuber TL (2005) The renin–angiotensin system: peptides and enzymes beyond angiotensin II. Curr Opin Nephrol Hypertens 14:155–159
Varagic J, Trask AJ, Jessup JA, Chappell MC, Ferrario CM (2008) New angiotensins. J Mol Med 86:663–671
Gauthier KM, Zhang DX, Cui L, Nithipatikom K, Campbell WB (2008) Angiotensin II relaxations of bovine adrenal cortical arteries: role of angiotensin II metabolites and endothelial nitric oxide. Hypertens 52:150–155
Li H, Yuan G (2006) Electrospray ionization mass spectral characteristics and fragmentation mechanisms of angiotensin II and its analogues. Int J Mass Spectrom 252:54–60
Hunter C, Basa L (2013) Detecting a peptide biomarker for hypertension in plasma: peptide quantitation using the 4000 Q Trap® system (Applied Biosystems proteomics technology note). http://www3.appliedbiosystems.com/cms/groups/psm_marketing/documents/generaldocuments/cms_042573.pdf
Munoz A, Kral R, Schimmel H (2011) Quantification of protein calibrants by amino acid analysis using isotope dilution mass spectrometry. Anal Biochem 408:124–131
Burkitt WI, Pritchard C, Arsene C, Henrion A, Bunk D, O’Connor G (2008) Toward Système International d’Unité-traceable protein quantification: from amino acids to proteins. Anal Biochem 376:242–251
Bunk DM, Lowenthal MS (2012) Isotope dilution liquid chromatography–tandem mass spectrometry for quantitative amino acid analysis. Meth Mol Biol 828:29–38
Vesper HW, Thienpont LM (2009) Traceability in laboratory medicine. Clin Chem 55:1067–1075
Westwood S, Josephs RD, Daireaux A, Wielgosz RI, Davies S, Wang H, Rodrigues J, Wollinger W, Windust A, Kang M, Fuhai S, Philipp R, Kuhlich P, Wong S-K, Shimizu Y, Pérez M, Avila M, Fernandes-Whaley M, Prevoo D, de Vos BJ, Visser R, Archer M, LeGoff T, Wood S, Bearden D, Bedner M, Boroujerdi A, Duewer D, Hancock D, Lang B, Porter B, Schantz M, Sieber J, White E, Wise SA (2012) Final report on key comparison CCQM-K55.a (estradiol): an international comparison of mass fraction purity assignment of estradiol. Metrologia Tech Suppl 49(1A):08009
Westwood SW, Choteau T, Daireaux A, Josephs RD, Wielgosz RI (2013) Mass balance method for the SI value assignment of the purity of organic compounds. Anal Chem 85(6):3118–3126. doi:10.1021/ac303329k
Roepstorff P, Fohlman J (1984) Proposal for a common nomenclature for sequence ions in mass spectra of peptides. Biomed Mass Spectrom 11:601
Biemann K (1992) Mass spectrometry of peptides and proteins. Annu Rev Biochem 61:977–1010
University of California (2013) MS-Product. http://prospector.ucsf.edu/prospector/cgi-bin/msform.cgi?form=msproduct. Accessed 23 Jan 2013
UniProt Consortium (2013) UniProt. http://www.uniprot.org/. Accessed 23 Jan 2013
Acknowledgements
This work was co-sponsored by the National Institute of Standards and Technology–NIST (Gaithersburg, MD, USA) through the provision of angiotensin I material and funding through the Collaborative Agreement 70NANB10H054.
Author information
Authors and Affiliations
Corresponding author
Additional information
Published in the topical collection Amino Acid Analysis with guest editor Toshimasa Toyo’oka.
Electronic supplementary material
Below is the link to the electronic supplementary material.
ESM 1
(PDF 535 kb)
Rights and permissions
About this article
Cite this article
Stoppacher, N., Josephs, R.D., Daireaux, A. et al. Impurity identification and determination for the peptide hormone angiotensin I by liquid chromatography–high-resolution tandem mass spectrometry and the metrological impact on value assignments by amino acid analysis. Anal Bioanal Chem 405, 8039–8051 (2013). https://doi.org/10.1007/s00216-013-6953-7
Received:
Revised:
Accepted:
Published:
Issue Date:
DOI: https://doi.org/10.1007/s00216-013-6953-7


