Abstract
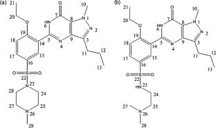
A sildenafil analogue was detected in a functional coffee sample labelled to have male sexual performance enhancement effects. This analogue was isolated and purified by flash chromatography and preparative high-performance liquid chromatography. Its structure was elucidated using high-resolution mass spectrometry; electrospray ionization-tandem mass spectrometry; and nuclear magnetic resonance spectroscopy, ultraviolet spectroscopy, and infrared spectroscopy. Compared with sildenafil, instead of an N-methylpiperazinyl moiety, ring opening of the piperazine ring with the loss of a carbon atom resulted in a substituted benzenesulfonamide. The chemical name of this analogue is N-[2-(dimethylamino)ethyl]-4-ethoxy-3-(1-methyl-7-oxo-3-propyl-6,7-dihydro-1H-pyrazolo[4,3-d]pyrimidin-5-yl)benzenesulfonamide. It is named descarbonsildenafil because it has one less carbon atom when compared with sildenafil.





Similar content being viewed by others
References
Shin MH, Hong MK, Kim WS, Lee YJ, Jeoung YC (2003) Food Addit Contam 20:793–796
Blok-Tip L, Zomer B, Bakker F, Hartog KD, Hamzink M, Ten Hove J, Vredenbregt M, De Kaste D (2004) Food Addit Contam 21:737–748
Shin C, Hong M, Kim D, Lim Y (2004) Magn Reson Chem 42:1060–1062
Hou P, Zou P, Low MY, Chan E, Koh HL (2006) Food Addit Contam 23:870–875
Zou P, Hou P, Oh SS, Chong YM, Bloodworth BC, Low MY, Koh HL (2008) J Pharm Biomed Anal 47:279–284
Li L, Low MY, Aliwarga F, Teo J, Ge XW, Zeng Y, Bloodworth BC, Koh HL (2009) Food Addit Contam 26:145–151
Reepmeyer JC, D’Avignon DA (2009) J Pharm Biomed Anal 49:145–150
Ge X, Li L, Koh HL, Low MY (2011) J Pharm Biomed Anal 56:491–496
Venhuis BJ, Zomer G, Hamzink M, Meiring HD, Aubin Y, de Kaste D (2011) J Pharm Biomed Anal 54:735–741
Zou P, Hou P, Low MY, Koh HL (2006) Food Addit Contam 23:446–451
Hadwiger ME, Trehy ML, Ye W, Moore T, Allgire J, Westenberger B (2010) J Chromatogr A 1217:7547–7555
Lee HM, Kim CS, Jang YM, Kwon SW, Lee BJ (2011) J Pharm Biomed Anal 54:491–496
Park HJ, Jeong HK, Chang MI, Im MH, Jeong JY, Choi DM, Park K, Hong MK, Youm J, Han SB, Kim DJ, Park JH, Kwon SW (2007) Food Addit Contam 24:122–129
Reepmeyer JC, Woodruff JT (2006) J Chromatogr A 1125:67–75
Wildman REC (2007) Handbook of nutraceuticals and functional foods, 2nd edn. CRC Press, Boca Raton
Halsted CH (2003) Am J Clin Nutr 77:1001S–1007S
Siro I, Kapolna E, Kapolna B, Lugasi A (2008) Appetite 51:456–467
U. S. FDA (2010) Silver Spring (MD). FDA warns consumers to avoid magic power coffee. http://www.fda.gov/NewsEvents/Newsroom/PressAnnouncements/ucm216335.htm. Accessed 30 Aug 2010
Reepmeyer JC, D’Avignon DA (2009) J AOAC Int 92:1336–1342
Venhuis BJ, de Kaste D (2012) J Pharm Biomed Anal (in press), http://dx.doi.org/10.1016/j.jpba.2012.02.014
Garcia LM, Pauli ED, Cristiano V, da Camara CA, Scarminio IS, Nixdorf SL (2009) J Chromatogr Sci 47:825–832
Girard P, Stober P, Blanc M, Prodolliet J (2006) J AOAC Int 89:999–1003
Nogueira T, do Lago CL (2009) J Sep Sci 32:3507–3511
Acknowledgments
The financial support from the Health Sciences Authority Reinvestment Fund, the National University of Singapore Academic Research Fund (KHL R-148-000-137-112), and the National University of Singapore research scholarship (LL) are acknowledged.
Author information
Authors and Affiliations
Corresponding author
Additional information
Published in the topical collection Nutraceuticals with guest editors Melissa M. Philipps and Catherine A. Rimmer.
Electronic supplementary material
Below is the link to the electronic supplementary material.
ESM 1
(PDF 31.7 KB)
Rights and permissions
About this article
Cite this article
Li, L., Low, MY., Ge, X. et al. Isolation and structural elucidation of a new sildenafil analogue from a functional coffee. Anal Bioanal Chem 405, 4443–4450 (2013). https://doi.org/10.1007/s00216-012-6236-8
Received:
Revised:
Accepted:
Published:
Issue Date:
DOI: https://doi.org/10.1007/s00216-012-6236-8


