Skip to main content

Potential-modulated fluorescence spectroscopy of zwitterionic and dicationic membrane-potential-sensitive dyes at the 1,2-dichloroethane/water interface

Abstract

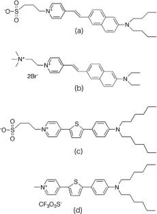
The previously introduced technique of potential-modulated fluorescence (PMF) spectroscopy was used to study the potential-induced fluorescence change of some different dyes at the polarized 1,2-dichloroethane (DCE)/water (W) interface. A zwitterionic dye (POLARIC 488PPS) showed a PMF response similar to that for the previously studied dye (di-4-ANEPPS) with the same ionic state, and the PMF response was likewise explained by the potential-dependent reorientation of the dye at the DCE/W interface. Though a monocationic dye (POLARIC 488PM) showed no distinct PMF signal, a dicationic dye (di-2-ANEPEQ) showed two relatively weak but detectable PMF signals at lower and higher potential. It has thus been found that the ionic state of a potential-sensitive dye strongly influences the potential-induced reorientation of the dye at the interface and consequently its PMF response. These results support the reorientation/solvatochromic mechanism proposed for “slow” dyes but do not necessarily exclude the electrochromic mechanism proposed for “fast” dyes. PMF spectroscopy would provide useful information on the design of slow dyes for the measurement of the resting potential of cell membranes

Potential-dependent reorientation of a zwitterionic membrane-potential-sensitive dye (POLARIC 488PPS) at the oil/water interface and its potential-modulated fluorescence signal (inset)

This is a preview of subscription content, access via your institution.

Fig. 1
Fig. 2
Fig. 3
Fig. 4
Fig. 5
Fig. 6
Fig. 7
Fig. 8
Fig. 9
Fig. 10

Notes

  1. In the previous paper [8], the potential axes in Figs. 3, 5, 6, 9, 10, S2, and S6 were wrongly labelled by “E,” which should be changed to “\( \Delta_{\text{O}}^{\text{W}}\phi \).”

References

  1. Waggoner A (1979) Optical probes of membrane potential. J Membr Biol 27:317

    Google Scholar 

  2. Plášek J, Sigler K (1996) Slow fluorescent indicators of membrane potential: a survey of different approaches to probe response analysis. J Photochem Photobiol B 33:101

    Google Scholar 

  3. Loew LM (1996) Potentiometric dyes: imaging electrical activity of cell membranes. Pure Appl Chem 68:1405

    Google Scholar 

  4. Fluhler E, Burnham VG, Loew LM (1985) Spectra, membrane binding, and potentiometric responses of new charge shift probes. Biochemistry 24:5749

    Google Scholar 

  5. Montana V, Farkas DL, Loew LM (1989) Dual-wavelength ratiometric fluorescence measurements of membrane potential. Biochemistry 28:4536

    Google Scholar 

  6. Clark RJ, Zouni A, Holzwarth JF (1995) Voltage sensitivity of the fluorescent probe RH421 in a model membrane system. Biophys J 68:1406

    Google Scholar 

  7. Müller W, Windisch H, Tritthart HA (1986) Fluorescent styryl dyes applied as fast optical probes of cardiac action potential. Eur Biophys J 14:103

    Google Scholar 

  8. Osakai T, Sawada J, Nagatani H (2009) Potential-modulated fluorescence spectroscopy of the membrane potential-sensitive dye di-4-ANEPPS at the 1,2-dichloroethane/water interface. Anal Bioanal Chem 395:1055

    Google Scholar 

  9. Nagatani H, Iglesias RA, Fermín DJ, Brevet PF, Girault HH (2000) Adsorption behavior of charged zinc porphyrins at the water/1,2-dichloroethane interface studied by potential modulated fluorescence spectroscopy. J Phys Chem B 104:6869

    Google Scholar 

  10. Nagatani H, Fermín DJ, Girault HH (2001) A kinetic model for adsorption and transfer of ionic species at polarized liquid|liquid interfaces as studied by potential modulated fluorescence spectroscopy. J Phys Chem B 105:9463

    Google Scholar 

  11. Nagatani H, Suzuki S, Fermín DJ, Girault HH, Nakatani K (2006) Interfacial behavior of sulforhodamine 101 at the polarized water/1,2-dichloroethane interface studied by spectroelectrochemical techniques. Anal Bioanal Chem 386:633

    Google Scholar 

  12. Nagatani H, Ozeki T, Osakai T (2006) Direct spectroelectrochemical observation of interfacial species at the polarized water/1,2-dichloroethane interface by ac potential modulation technique. J Electroanal Chem 588:99

    Google Scholar 

  13. Osakai T, Yamada H, Nagatani H, Sagara T (2007) Potential-dependent adsorption of amphoteric rhodamine dyes at the oil/water interface as studied by potential-modulated fluorescence spectroscopy. J Phys Chem C 111:9480

    Google Scholar 

  14. Son SH, Abe Y, Yuasa M, Yamagishi Y, Sakai N, Ayabe T, Yamada K (2011) A systematic analysis of aromatic heterocyclic rings in solvatochromic fluorophores. Chem Lett 40:378

    Google Scholar 

  15. Son SH, Yamagishi Y, Tani M, Yuasa M, Yamada K (2011) Spectral shifts of the environment-sensitive fluorophore POLARIC in heterogeneous interfaces. Chem Lett 40:989

    Google Scholar 

  16. Bard AJ, Inzelt G, Scholz F (eds) (2008) Electrochemical dictionary. Springer, Berlin, pp 284–285

    Google Scholar 

  17. Osakai T, Kakutani T, Senda M (1984) A.c. polarographic study of ion transfer at the water/nitrobenzene interface. Bull Chem Soc Jpn 57:370

    Google Scholar 

  18. Kakutani T, Senda M (1979) Theory of a.c. polarization and a.c. polarography and voltammetry of surface redox reaction. Bull Chem Soc Jpn 52:3236

    Google Scholar 

Download references

Acknowledgments

T. Osakai, T. Yoshimura, and D. Kaneko acknowledge Dr. Shunji Kasahara and Dr. Seiji Akimoto of Kobe University for their helpful pieces of advice in the spectroscopic measurements. We also thank Goryo Chemical, Inc. for supplying POLARIC™ probes.

Author information

Affiliations

Authors

Corresponding author

Correspondence to Toshiyuki Osakai.

Electronic supplementary material

Below is the link to the electronic supplementary material.

ESM 1

(PDF 895 kb)

Rights and permissions

Reprints and Permissions

About this article

Cite this article

Osakai, T., Yoshimura, T., Kaneko, D. et al. Potential-modulated fluorescence spectroscopy of zwitterionic and dicationic membrane-potential-sensitive dyes at the 1,2-dichloroethane/water interface. Anal Bioanal Chem 404, 785–792 (2012). https://doi.org/10.1007/s00216-012-6199-9

Download citation

  • Received:

  • Revised:

  • Accepted:

  • Published:

  • Issue Date:

  • DOI: https://doi.org/10.1007/s00216-012-6199-9

Keywords

  • Membrane-potential-sensitive dye
  • POLARIC™
  • Liquid/liquid interface
  • Potential modulated fluorescence