Skip to main content

Simultaneous quantitation of urinary cotinine and acrylonitrile-derived mercapturic acids with ultraperformance liquid chromatography–tandem mass spectrometry

Abstract

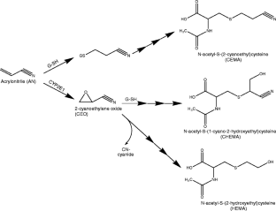
Acrylonitrile (AN), a widely used industrial chemical also found in tobacco smoke, has been classified as a possible human carcinogen (group 2B) by the International Agency for Research on Cancer. AN can be detoxified by glutathione S-transferase (GST) to form glutathione (GSH) conjugates in vivo. It can be metabolically activated by cytochrome P450 2E1 to form 2-cyanoethylene oxide, which can also be detoxified by GST to generate GSH conjugates. The GSH conjugates can be further metabolized to mercapturic acids (MAs), namely, N-acetyl-S-(2-cyanoethyl)cysteine (CEMA), N-acetyl-S-(2-hydroxyethyl)cysteine (HEMA), and N-acetyl-S-(1-cyano-2-hydroxyethyl)cysteine (CHEMA). This study developed an ultraperformance liquid chromatography coupled with tandem mass spectrometry (UPLC-MS/MS) method to quantitatively profile the major AN urinary metabolites (CEMA, HEMA, and CHEMA) to assess AN exposure, as well as analyze urinary cotinine (COT) as an indicator for tobacco smoke exposure. The limits of quantitation were 0.1, 0.1, 1.0, and 0.05 μg/L for HEMA, CEMA, CHEMA, and COT, respectively. This method was applied to analyze the three AN-derived MAs in 36 volunteers with no prior occupational AN exposure. Data analysis showed significant correlations between the level of COT and the levels of these MAs, suggesting them as biomarkers for exposure to low levels of AN. The results demonstrate that a highly specific and sensitive UPLC-MS/MS method has been successfully developed to quantitatively profile the major urinary metabolites of AN in humans to assess low AN exposure.

Simultaneous quantitation of 3 acrylonitrile-derived mercapturic acids and cotinine in human urine samples with on-line solid-phase extraction LC-MS/MS.

This is a preview of subscription content, access via your institution.

Fig. 1
Fig. 2
Fig. 3

References

  1. IARC (1999) Summary of data reported and evaluation. Re-evaluation of some organic chemicals, hydrazine and hydrogen peroxide, vol 71. IARC, Lyon, France

  2. Hoffmann D, Hoffmann I, El-Bayoumy K (2001) Chem Res Toxicol 14:767–790

    Article  CAS  Google Scholar 

  3. Léonard A, Gerber GB, Stecca C, Rueff J, Borba H, Farmer PB, Sram RJ, Czeizel AE, Kalina I (1999) Mutat Res 436:263–283

    Article  Google Scholar 

  4. National Research Council (1995) Biologic markers in urinary toxicology. National Academies Press, Washington

    Google Scholar 

  5. Sumner SC, Selvaraj L, Nauhaus SK, Fennell TR (1997) Chem Res Toxicol 10:1152–1160

    Article  CAS  Google Scholar 

  6. Jakubowski M, Linhart I, Pielas G, Kopecký J (1987) Br J Ind Med 44:834–840

    CAS  Google Scholar 

  7. Vermeulen NP, de Jong J, van Bergen EJ, van Welie RT (1989) Arch Toxicol 63:173–184

    Article  CAS  Google Scholar 

  8. Calafat AM, Barr DB, Pirkle JL, Ashley DL (1999) J Expo Anal Environ Epidemiol 9:336–342

    Article  CAS  Google Scholar 

  9. Linhart I, Smejkal J, Novák J (1988) Arch Toxicol 61:484–488

    Article  CAS  Google Scholar 

  10. Schettgen T, Musiol A, Alt A, Ochsmann E, Kraus T (2009) Anal Bioanal Chem 393:969–981

    Article  CAS  Google Scholar 

  11. De Rooij BM, Commandeur JNM, Vermeulen NPE (1998) Biomarkers 3:239–303

    Article  Google Scholar 

  12. Barr DB, AshleyDL J (1998) Anal Toxicol 22:96–104

    CAS  Google Scholar 

  13. Haufroid V, Merz B, Hofmann A, Tschopp A, Lison D, Hotz P (2007) Cancer Epidemiol Biomarkers Prev 16:796–802

    Article  CAS  Google Scholar 

  14. Schettgen T, Musiol A, Kraus T (2008) Rapid Commun Mass Spectrom 22:2629–2638

    Article  CAS  Google Scholar 

  15. Ding YS, Blount BG, Valentin-Blasini L, Applewhite HS, Xia Y, Watson CH, Ashley DL (2009) Chem Res Toxicol 22:1018–1025

    Article  CAS  Google Scholar 

  16. Schulte PA, Waters M (1999) Ann N Y Acad Sci 895:101–111

    Article  CAS  Google Scholar 

  17. Benowitz NL (1996) Epidemiol Rev 18:188–204

    CAS  Google Scholar 

  18. Jaffe M (1886) Hoppe-Seylers Z Physiol Chem 10:391

    Google Scholar 

  19. Matuszewski BK, Constanzer ML, Chavez-Eng CM (2003) Anal Chem 75:3019–3030

    Article  CAS  Google Scholar 

  20. Matuszewski BK, Constanzer ML, Chavez-Eng CM (1998) Anal Chem 70:882–889

    Article  CAS  Google Scholar 

  21. Food and Drug Administration (2001) Guidance for industry bioanalytical method validation. CVM & CDER, FDA, US DOH

  22. Chung CC (2004) Analytical method validation and instrument performance verification. John Wiley & Sons, Inc., Publication, Hoboken

  23. Kataoka H, Inoue R, Yagi K, Saito K (2009) J Pharm Biomed Anal 49:108–114

    Article  CAS  Google Scholar 

  24. Fan Z, Xie F, Xia Q, Wang S, Ding L, Liu H (2008) Chromatographia 68:623–627

    Article  CAS  Google Scholar 

  25. Chadwick CA, Keevil B (2007) Ann Clin Biochem 44:455–462

    Article  CAS  Google Scholar 

  26. Hoofnagle AN, Laha TJ, Rainey PM, Sadrzadeh SM (2007) Am J Clin Pathol 126:880–887

    Article  Google Scholar 

  27. Heavner DL, Richardson JD, Morgan WT, Ogden MW (2005) Biomed Chromatogr 19:312–328

    Article  CAS  Google Scholar 

  28. Xu X, Iba MM, Weisel PC (2004) Clin Chem 50:2323–2330

    Article  CAS  Google Scholar 

  29. Moyer TP, Charlson JR, Enger RJ, Dale LC, Ebbert JO, Schroeder DR, Hurt RD (2002) Clin Chem 48:1460–1471

    CAS  Google Scholar 

  30. Tuomi T, Johnsson T, Reijula K (1999) Clin Chem 452:2164–2172

    Google Scholar 

  31. Minet E, Cheung F, Errington G, Sterz K, Scherer G (2011) Biomarkers 16:89–96

    Article  CAS  Google Scholar 

  32. Eckert E, Schmid K, Schaller B, Hiddemann-Koca K, Drexler H, Goen T (2011) Int J Hyg Environ Health 214:196–204

    Article  CAS  Google Scholar 

Download references

Acknowledgements

The authors gratefully appreciate the technical support and assistance with the UPLC-MS/MS analyses provided by Dr. Wei-Chung Shih. This study was supported in part by grants from the Institute of Occupational Safety and Health, Council of Labor Affairs (grant no. IOSH98-A313), the National Sciences Council (no. NSC98-2314-B-002-082-MY3), and the Environmental and Occupational Health Center at National Taiwan University, Taiwan.

Author information

Affiliations

Authors

Corresponding author

Correspondence to Kuen-Yuh Wu.

Additional information

Chia-Fang Wu and Shi-Nian Uang are co-first authors

Rights and permissions

Reprints and Permissions

About this article

Cite this article

Wu, CF., Uang, SN., Chiang, SY. et al. Simultaneous quantitation of urinary cotinine and acrylonitrile-derived mercapturic acids with ultraperformance liquid chromatography–tandem mass spectrometry. Anal Bioanal Chem 402, 2113–2120 (2012). https://doi.org/10.1007/s00216-011-5661-4

Download citation

  • Received:

  • Revised:

  • Accepted:

  • Published:

  • Issue Date:

  • DOI: https://doi.org/10.1007/s00216-011-5661-4

Keywords

  • Acrylonitrile
  • Ultraperformance liquid chromatography–tandem mass spectrometry
  • Cotinine
  • Mercapturic acids