Skip to main content

A 2D NMR method to study peptide phosphorylation

Abstract

We demonstrate a 2D NMR method which distinguishes between phosphorylated and non-phosphorylated amino acids. The method is capable of monitoring the amino acid and site-specific enzymatic phosphorylation and dephosphorylation of peptides. The method was developed using O-phosphorylated amino acids and its potential is shown with a peptide fragment of the myelin basic protein (MBP).

This is a preview of subscription content, access via your institution.

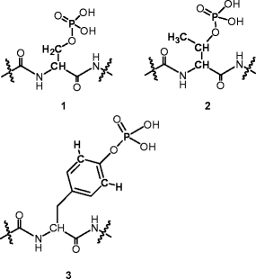
Scheme 1
Fig. 1
Fig. 2
Fig. 3
Fig. 4
Fig. 5

References

  1. Hirsch AKH, Fischer FR, Diederich F (2007) Angew Chem 119:342–357

    Article  Google Scholar 

  2. Manning G, Whyte DB, Martinez R, Hunter T, Sudarsanam S (2002) Science 298:1912–1934

    Article  CAS  Google Scholar 

  3. McCauley TJ, Mathrubutham M, Morgan AG, Onken J, Stanaitis ML, Millis SZ (2004) J Assoc Lab Autom 9:171–176

    Article  CAS  Google Scholar 

  4. Marino JP, Schwalbe H, Anklin C, Bermel W, Crothers DM, Griesinger C (1994) J Am Chem Soc 116:6472–6473

    Article  CAS  Google Scholar 

  5. Berger S, Bast P (1993) Magn Reson Chem 31:1021–1023

    Article  CAS  Google Scholar 

  6. Wagner R, Berger S (1996) J Magn Res Series A 120:258–260

    Article  CAS  Google Scholar 

  7. Merrifield RB (1963) J Am Chem Soc 85:2149–2154

    Article  CAS  Google Scholar 

  8. Pearson RB, Kemp BE (1991) Methods Enzymol 200:62–81

    CAS  Article  Google Scholar 

  9. Daile P, Carnegie PR, Young JD (1975) Nature 257:416–418

    Article  CAS  Google Scholar 

  10. Eylar EH, Brostoff S, Hashim G, Caccam J, Burnett P (1971) J Biol Chem 246:5770–5784

    CAS  Google Scholar 

Download references

Acknowledgements

We are indebted to the research group of Dr Ralf Hoffmann, Leipzig, for invaluable help during peptide synthesis.

Author information

Affiliations

Authors

Corresponding author

Correspondence to Stefan Berger.

Rights and permissions

Reprints and Permissions

About this article

Cite this article

Raeck, C., Berger, S. A 2D NMR method to study peptide phosphorylation. Anal Bioanal Chem 389, 2161–2165 (2007). https://doi.org/10.1007/s00216-007-1653-9

Download citation

  • Received:

  • Revised:

  • Accepted:

  • Published:

  • Issue Date:

  • DOI: https://doi.org/10.1007/s00216-007-1653-9

Keywords

  • Phosphorylation
  • NMR
  • Peptides
  • Kinase
  • Phosphatase