Abstract
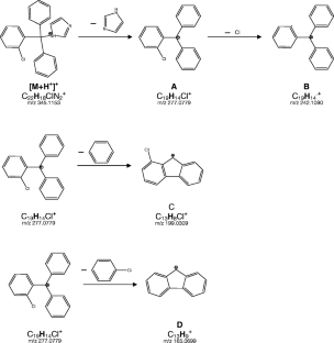
The analysis and presence of clotrimazole, an antifungal agent with logK OW > 4, was thoroughly studied in the aquatic environment. For that reason analytical methods based on gas chromatography–mass spectrometry and liquid chromatography–tandem mass spectrometry were developed and validated to quantify clotrimazole with limits of quantification down to 5 and 1 ng/L, respectively. Both methods were compared in an intercalibration exercise. The complete mass-spectrometric fragmentation pattern could be elucidated with the aid of quadrupole time of flight mass spectrometry. Since clotrimazole tends to adsorb to laboratory glassware, studies on its adsorption behaviour were made to ensure the appropriate handling of water samples, e.g. pH, storage time, pretreatment of sampling vessels or material of the vials used for final extracts. The phenomena of adsorption to suspended matter were investigated while analysing different waste-water samples. Application of the methods in various investigated wastewater and surface water samples demonstrated that clotrimazole could only be detected in the low nanogram per litre range of anthropogenic influenced unfiltered water samples after acidification to pH 2.





Similar content being viewed by others
References
Kümmerer K (2001) Chemosphere 45(6–7):957–969
Thomas KV, Hilton MJ (2004) Mar Pollut Bull 49(5–6):436–444
Stumpf M, Ternes TA, Wilken RD, Rodrigues SV, Baumann W (1999) Sci Total Environ 225(1–2):135–141
Richardson SD, Ternes TA (2005) Anal Chem 77(12):3807–3838
Heberer T (2002) J Hydrol 266(3–4):175–189
Duhm B et al (1974) Postgrad Med J:13–16
Hellpointer E (2002) Determination of the quantum yield and assessment of the environmental half-life of the direct photodegradation in water of clotrimazol. MR-307/02. Bayer Cropscience, Monheim
OSPAR Commission (2005) Open background documentation on clotrimazole; publication no 2005/199
Roberts PH (2006) The analysis of priority pharmaceuticals in Scotland, Cefas contract report C2483. Cefas, Burnham on Crouch
Arbeitsgemeinschaft für die Reinhaltung der Elbe (2003) Arzneistoffe in Elbe und Saale. http://www.arge-elbe.de/wge/Download/Berichte/03Arzn.pdf
Bonnington LS, Barcelò D, Knepper TP (2003) J Mass Spectrom 38(10):1054–1066
Knepper TP, Eichhorn P, Bonnington LS (2003). In: Knepper TP, Barceló D, de Voogt P (eds) Wilson & Wilson’s comprehensive analytical chemistry, vol 40. Elsevier, Amsterdam, pp 525–576
Acknowledgements
We thank Helena Karajiannis, Bernward Fladung and Klaus Heuck from Bayer Healthcare, Leverkusen, Germany, for the many helpful discussions and financial support. The work was additionally supported financially by Project EMCO (Emerging Contaminants), contract no. INCO CT 2004–509188.
Author information
Authors and Affiliations
Corresponding author
Rights and permissions
About this article
Cite this article
Peschka, M., Roberts, P.H. & Knepper, T.P. Analysis, fate studies and monitoring of the antifungal agent clotrimazole in the aquatic environment. Anal Bioanal Chem 389, 959–968 (2007). https://doi.org/10.1007/s00216-007-1480-z
Received:
Revised:
Accepted:
Published:
Issue Date:
DOI: https://doi.org/10.1007/s00216-007-1480-z


