Abstract
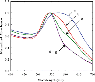
The potential ability of atomic force microscopy (AFM) as a quantitative bioanalysis tool is demonstrated by using gold nanoparticles as a size enhancer in a DNA hybridization reaction. Two sets of probe DNA were functionalized on gold nanoparticles and sandwich hybridization occurred between two probe DNAs and target DNA, resulting in aggregation of the nanoparticles. At high concentrations of target DNA in the range from 100 nM to 10 μM, the aggregation of gold nanoparticles was determined by monitoring the color change with UV-vis spectroscopy. The absorption spectra broadened after the exposure of DNA–gold nanoparticles to target DNA and a new absorption band at wavelengths >600 nm was observed. However, no differences were observed in the absorption spectra of the gold nanoparticles at low concentrations of target DNA (10 pM to 10 nM) due to insufficient aggregation. AFM was used as a biosensing tool over this range of target DNA concentrations in order to monitor the aggregation of gold nanoparticles and to quantify the concentration of target DNA. Based on the AFM images, we successfully evaluated particle number and size at low concentrations of target DNA. The calibration curve obtained when mean particle aggregate diameter was plotted against concentration of target DNA showed good linearity over the range 10 pM to 10 nM, the working range for quantitative target DNA analysis. This AFM-based DNA detection technique was three orders of magnitude more sensitive than a DNA detection method based on UV-vis spectroscopy.







Similar content being viewed by others
References
Elghanian R, Storhoff JJ, Mucic RC, Letsinger RL, Mirkin CA (1997) Science 277:1078–1081
Lian W, Litherland SA, Badrane H, Tan W, Wu D, Baker HV, Gulig PA, Lim DV, Jin S (2004) Anal Biochem 334:135–144
Sato K, Hosokawa K, Maeda M (2003) J Am Chem Soc 125:8102–8103
Fang X, Liu X, Schuster S, Tan W (1999) J Am Chem Soc 121:2921–2922
Nie S, Emory S (1997) Science 275:1102–1106
Kneipp K, Kneipp H, Itzkan I, Dasari RR, Feld MS (1999) Chem Rev 99:2957–2976
Rosi NL, Mirkin CA (2005) Chem Rev 105:1547–1562
Daniel MC, Astruc D (2004) Chem Rev 104:293–346
Storhoff JJ, Lucas AD, Garimella V, Bao YP, Müller UR (2004) Nat Biotech 22:883–887
Storhoff JJ, Elghanian R, Mucic RC, Mirkin CA, Letsinger RL (1998) J Am Chem Soc 120:1959–1964
Taton TA, Mirkin CA, Letsinger RL (2000) Science 289:1757–1760
Aslan K, Luhrs CC, Perez-Luna VH (2004) J Phys Chem B 108:15631–15639
Wong AKY, Krull UJ (2005) Anal Bioanal Chem 383:187–200
Seong GH, Yanagida Y, Aizawa M, Kobatake E (2002) Anal Biochem 309:241–247
Kasas S, Thomson NH, Smith BL, Hansma HG, Zhu X, Guthold M, Bustamante C, Kool ET, Kashlev M, Hansma PK (1997) Biochemistry 36:461–468
Lyubchenko YL, Shlyakhtenko LS (1997) Proc Natl Acad Sci USA 94:496–501
Seong GH, Niimi T, Yanagida Y, Kobatake E, Aizawa M (2000) Anal Chem 72:1288–1293
Perrin A, Lanet V, Theretz A (1997) Langmuir 13:2557–2563
Grabar KC, Freeman RG, Hommer MB, Natan MJ (1995) Anal Chem 67:735–743
Crampton N, Bonass WA, Kirkham J, Thomson NH (2005) Langmuir 21:7884–7891
Gourishankar A, Shukla S, Pasricha R, Sastry M, Ganesh KN (2005) Curr Appl Phys 5:102–107
Sönnichsen C, Reinhard BM, Liphardt J, Alivisatos AP (2005) Nat Biotechnol 23:741–745
Kiang CH (2003) Physica A 321:164–169
Aslan K, Lakowicz JR, Geddes CD (2004) Anal Biochem 330:145–155
Thanh NTK, Rosenzweig Z (2002) Anal Chem 74:1624–1628
Chah S, Hammond MR, Zare RN (2005) Chem Biol 12:323–328
Acknowledgment
This work was supported by a Korea Research Foundation Grant (KRF-2004-015-C00359).
Author information
Authors and Affiliations
Corresponding author
Rights and permissions
About this article
Cite this article
Bui, MP.N., Baek, T.J. & Seong, G.H. Gold nanoparticle aggregation-based highly sensitive DNA detection using atomic force microscopy. Anal Bioanal Chem 388, 1185–1190 (2007). https://doi.org/10.1007/s00216-007-1354-4
Received:
Revised:
Accepted:
Published:
Issue Date:
DOI: https://doi.org/10.1007/s00216-007-1354-4


