Abstract
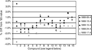
A gas standard reference material (SRM) containing fifteen hydrocarbons in nitrogen at a nominal 5 nmol mol−1 was issued in 1993. The certification period for SRM 1800 was assigned as 2 years, because of limited stability data. Over a period of 10 years reanalysis of the lot standard (a sample chosen from the SRM lot to which all other lot samples are compared), SRM samples remaining in stock for sale, and SRMs returned to the National Institute of Standards and Technology (NIST) for recertification, were compared with primary standards to assess the stability of the hydrocarbons. New primary standards were periodically introduced into the original primary standard suite to assess the stability and consistency of the primary standards. Over this ten-year period 11 SRM 1800 samples were reanalyzed, resulting in 210 amount-of-substance fraction (concentration) determinations performed for quality-assurance purposes. Of these measurements 209 (99.5%) agreed within the original 95% confidence interval of the ±4% expanded uncertainty, demonstrating the stability of the standards. There was also agreement to within ±2% of the original concentration for 204 (97%) of the measurements. This is well within the original ±4% expanded uncertainty assigned to the hydrocarbon concentrations at the approximate 95% confidence interval demonstrating stability. These results will enable the expiry date to be increased for future restock issues of SRM 1800.




Similar content being viewed by others
Explore related subjects
Discover the latest articles and news from researchers in related subjects, suggested using machine learning.Notes
Commercial equipment, instruments, or materials are identified in this paper to specify adequately the experimental procedure. Such identification does not imply recommendation or endorsement by the NIST, nor does it imply that the materials or equipment identified are necessarily the best available for the purpose.
References
Haagerr-Smit AJ (1952) Ind Eng Chem 44:1342–1346
Guidance for Collection of Ambient Non-methane Organic Compound (NMOC) Data for Use in 1982 Ozone SIP Development and Network Design and Siting Criteria for the NMOC and NOx Monitors (1980) EPA-450/4-80-011, U.S. EPA, RTP, NC, June 1980
Singh HB (1980) Guidance for the collection and use of ambient hydrocarbon species data in development of ozone control strategies, EPA-450/4-80-008, U.S. EPA, RTP, NC, April 1980
Derwent RG, Hov O (1980) Environ Sci Technol 14:1360–1366
Whitten GZ, Hogo H, Killus JP (1980) Environ Sci Technol 14:690–700
Rhoderick GC (1997) Fresenius J Anal Chem 359:477–483
Rhoderick GC (1993) J Chromatogr A 653:71–81
Rhoderick GC, Zielinski WL (1988) Anal Chem 7(11): 2454-2460
Rhoderick GC (1991) Fresenius J Anal Chem 341:524–531
Miller WR, Rhoderick GC (1995) Fresenius J Anal Chem 351:221–229
NIST Technical Procedure 839.03.8, Preparation of Primary Gas Mixtures Containing Volatile Organic Compounds (VOC) by Gravimetry
Guide to the Expression of Uncertainty (1993) ISBN 92-67-10188-9, 1st edn. ISO, Geneva, Switzerland
Linsinger PJ (2001) Fresenius J Anal Chem 370:183–188
Author information
Authors and Affiliations
Corresponding author
Rights and permissions
About this article
Cite this article
Rhoderick, G.C. Long-term stability of hydrocarbons in NIST gas standard reference material (SRM) 1800. Anal Bioanal Chem 383, 98–106 (2005). https://doi.org/10.1007/s00216-005-3381-3
Received:
Revised:
Accepted:
Published:
Issue Date:
DOI: https://doi.org/10.1007/s00216-005-3381-3


