Skip to main content

Analysis of licking microstructure provides no evidence for a reduction in reward value following acute or sub-chronic phencyclidine administration

Abstract

Rationale

The N-methyl D-aspartate antagonist phencyclidine (PCP) is purported to mimic the negative, cognitive and positive symptoms of schizophrenia. Thus, acute and sub-chronic PCP treatment in rodents might produce anhedonia, a decrease in the pleasure produced by rewards.

Objectives

Experiment 1 investigated whether acute PCP treatment changes the value of sucrose. A comparison was made to (+)MK-801, a drug often used interchangeably with PCP in preclinical studies. Experiment 2 assessed the effects of withdrawal from sub-chronic PCP treatment on the value of sucrose.

Methods

Experiment 1 examined the dose–response effects of PCP and (+)MK-801 on licking microstructure during sucrose consumption. Experiment 2 assessed the effects of withdrawal from sub-chronic PCP treatment (5 mg/kg twice daily for 7 days), on licking microstructure during sucrose consumption. Locomotor activity testing was carried out in experiment 2 to confirm the sensitisation effect of the PCP regimen on amphetamine-induced hyperlocomotion.

Results

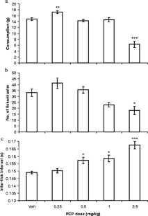
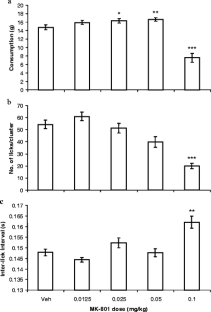
Low to moderate acute doses of PCP and (+)MK-801 increased the amount of sucrose consumed. Higher doses decreased consumption and the number of licks per cluster (cluster size) but also increased the average inter-lick interval, which may indicate motor impairment. There was no evidence that withdrawal from sub-chronic PCP treatment produced decreases in consumption or lick cluster size.

Conclusions

Following acute PCP treatment, we found no evidence of reduced reward value without the presence of confounding motor deficits. Sub-chronic PCP withdrawal also produced no decrease in reward value. Therefore, the current results indicate that neither acute PCP treatment nor sub-chronic PCP withdrawal produce consummatory anhedonia.

This is a preview of subscription content, access via your institution.

Fig. 1
Fig. 2
Fig. 3
Fig. 4

References

  • Adler CM, Malhotra AK, Elman I, Goldberg T, Egan M, Pickar D, Breier A (1999) Comparison of ketamine-induced thought disorder in healthy volunteers and thought disorder in schizophrenia. Am J Psychiatry 156:1646–1649

    CAS  PubMed  Google Scholar 

  • Aja S, Schwartz GJ, Kuhar MJ, Moran TH (2001) Intracerebroventricular CART peptide reduces rat ingestive behaviour and alters lickng microstructure. Am J Physiol Regul Integr Comp Physiol 280:R1613–R1619

    CAS  PubMed  Google Scholar 

  • Alleman S, Hijman R, de Haan EHF, Kahn R (1999) Memory impairments in schizophrenia: a meta analysis. Am J Psychiatry 15:1358–1366

    Google Scholar 

  • Allen RM, Young SJ (1978) Phencyclidine-induced psychosis. Am J Psychiatry 156:1646–1649

    Google Scholar 

  • Asin KE, Davis JD, Bednarz L (1992) Differential-effects of serotonergic and catecholaminergic drugs on ingestive behaviour. Psychopharmacology 109:415–421

    Article  CAS  PubMed  Google Scholar 

  • Baird J-P, Turgeon S, Wallman A, Hulick V (2008) Behavioural processes mediating phencyclidine-induced decreases in voluntary sucrose consumption. Pharmacol Biochem Behav 88:272–279

    Article  CAS  PubMed  Google Scholar 

  • Berridge KC (1996) Food reward: brain substrates of wanting and liking. Neurosci Biobehav Rev 1:1–25

    Article  Google Scholar 

  • Boireau A, Bordier F, Durand G, Doble A (1996) The antidepressant metapramine is a low-affinity antagonist at N-methyl-D-aspartic acid receptors. Neuropharmacology 35:1703–1707

    Article  CAS  PubMed  Google Scholar 

  • Buchsbaum MS, Nuechterlein KH, Haier RJ, Wu J, Sicotte N, Hazlett E, Asarnow R, Potkin S, Guich S (1990) Glucose metabolic rate in normals and schizophrenics during the continuous performance test assessed by positron emission tomography. Br J Psychiatry 156:216–227

    Article  CAS  PubMed  Google Scholar 

  • Castellani S, Adams PM (1981) Acute and chronic phencyclidine effects on locomotor activity, stereotypy and ataxia in rats. Eur J Pharmacol 73:143–154

    Article  CAS  PubMed  Google Scholar 

  • Cochran SM, Steward LJ, Kennedy MB, McKercher CE (2003) Induction of metabolic hypofunction and neurochemical deficits after chronic intermittent exposure to phencyclidine: differential modulation by antipsychotic drugs. Neuropsychopharmacol 28:265–275

    Article  CAS  Google Scholar 

  • Davis JD, Perez MC (1993) Food deprivation-induced and palatability-induced microstructural changes in ingestive behaviour. Am J Physiol 264:R97–R103

    CAS  PubMed  Google Scholar 

  • Davis JD, Smith GP (1992) Analysis of the microstructure of rhythmic tongue movements of rats ingesting maltose and sucrose solutions. Behav Neurosci 106:217–228

    Article  CAS  PubMed  Google Scholar 

  • Dunn MJ, Killcross AS (2006) Clozapine but not Haloperidol treatment reverses sub-chronic phencyclidine-induced disruption of conditional discrimination performance. Behav Brain Res 175:271–277

    Article  CAS  PubMed  Google Scholar 

  • Dwyer DM (2008) Microstructural analysis of conditioned and unconditioned responses to maltodextrin. Learn Behav 36:149–157

    Article  PubMed  Google Scholar 

  • Dwyer D, Boakes RA, Hayward AJ (2008) Reduced palatability in lithium- and activity-based, but not in amphetamine-based, taste aversion learning. Behav Neurosci 122:1051–1060

    Article  PubMed  Google Scholar 

  • Ernits T, Corbit JD (1973) Taste as a dipsogenic stimulus. J Comp Physiol Psychol 83:27–31

    Google Scholar 

  • Foussias G, Remington G (2010). Negative symptoms in schizophrenia: avolition and Occam's razor. Schizophrenia Bull doi:10.1093/schbul/sbn094

  • Gard DE, Germans Gard M, Kring AM, John OP (2006) Anticipatory and consumatory components of the experience of pleasure: a scale development study. J Res Pers 40:1086–1102

    Article  Google Scholar 

  • Gilmour G, Dix S, Smith JW, Conway MW, Jones W, Loomis S, Mason R, Shahabi S, Tricklebank MD (2009) Diverse and often opposite behavioural effects of NMDA receptor antagonists in rats: implications for “NMDA antagonist modelling” of schizophrenia. Psychopharmacology 205(2):203–216

    Article  CAS  PubMed  Google Scholar 

  • Herzman M, Reba RC, Kotlyagrove EV (1990) Single photon emission tomography in phencyclidine and related drug abuse. Am J Psychiatry 147:255–256

    Google Scholar 

  • Higgs S, Cooper SJ (1998) Effects of benzodiazepine receptor ligands on the ingestion of sucrose, intralipid, and maltodextrin: an investigation using a microstructural analysis of licking behaviour in a brief contact test. Behav Neurosci 112:447–457

    Article  CAS  PubMed  Google Scholar 

  • Horan WP, Green MF, Kring AM, Green FM, Neuechterlein KH (2006) Does anhedonia in schizophrenia reflect faulty memory for subjectively experienced emotions. J Abnorm Psychol 3:496–508

    Article  Google Scholar 

  • Hsiao S, Fan RJ (1993) Additivity of taste-specific effects of sucrose and quinine–microstructural analysis of ingestive behaviour in rats. Behav Neurosci 107:317–326

    Article  CAS  PubMed  Google Scholar 

  • Javitt DC, Zukin SR (1991) Recent advances in the phencyclidine model of schizophrenia. Am J Psychiatry 148:1301–1308

    CAS  PubMed  Google Scholar 

  • Jenkins TA, Harte MK, McKibben CE, Elliott JJ, Reynolds GP (2008) Disturbances in social interaction occur along with pathophysiological deficits following sub-chronic phencyclidine administration in the rat. Behav Brain Res 194:230–235

    Article  CAS  PubMed  Google Scholar 

  • Jentsch JD, Roth RH (1999) The neuropsychopharmacol of phencyclidine: from NMDA receptor hypofunction to the dopamine hypothesis of schizophrenia. Neuropsychopharmacol 20:201–225

    Article  CAS  Google Scholar 

  • Jentsch JD, Taylor JR, Roth RH (1998) Sub-chronic phencyclidine administration increases mesolimbic dopaminergic system responsivity and augments stress- and psychostimulant-induced hyperlocomotion. Neuropsychopharmacol 19:105–113

    Article  CAS  Google Scholar 

  • Lahti AC, Koffel B, LaPorte D, Tamminga CA (1995) Subanaethsetic doses of ketamine stimulate psychosis in schizophrenia. Neuropsychopharmacol 13:9–19

    Article  CAS  Google Scholar 

  • Lahti AC, Weiler MA, Michaelidis T, Parwani A, Tamminga CA (2001) Effects of ketamine in normal and schizophrenic volunteers. Neuropsychopharmacol 25:455–467

    Article  CAS  Google Scholar 

  • Lewis DA, Lieberman JA (2000) Catching up on schizophrenia: natural history and neurobiology. Neuron 28:325–334

    Article  CAS  PubMed  Google Scholar 

  • Lipska BK, Weinberger DR (2000) To model a psychiatric disorder in animals: schizophrenia as a reality test. Neuropsychopharmacol 23:223–239

    Article  CAS  Google Scholar 

  • Morris BJ, Cochran SM, Pratt JA (2005) PCP: from pharmacology to modelling schizophrenia. Current Opin Pharmacol 5:101–106

    Article  CAS  Google Scholar 

  • Noda Y, Yamada K, Furukawa H, Nabeshima T (1995) Enhancement of immobility in a forced swimming test by subacute or repeated treatment with phencyclidine—a new model of schizophrenia. Br J Pharmacol 116(5):2531–2537

    CAS  PubMed  Google Scholar 

  • Olney JW, Labruyere J, Price MT (1989) Pathological changes induced in cerebrocortical neurons by phencyclidine and related drugs. Science 244:1360–1362

    Article  CAS  PubMed  Google Scholar 

  • Pantelis C, Barnes TR, Nelso HE, Tanner S, Weatherly L, Owen AM, Robbins TW (1997) Frontal-striatal cognitive deficits in patients with chronic schizophrenia. Brain 120:1823–1843

    Article  PubMed  Google Scholar 

  • Papp M, Moryl E (1994) Antidepressant activity of non-competitive and competitive NMDA receptor antagonists in a chronic mild stress model of depression. Eur J Pharmacol 263(1–2):1–7

    Article  CAS  PubMed  Google Scholar 

  • Papp M, Willner P, Muscat R (1991) An animal model of anhedonia: attenuation of sucrose consumption and place preference conditioning by chronic unpredictable mild stress. Psychopharmacology 104(2):255–259

    Article  CAS  PubMed  Google Scholar 

  • Pratt JA, Winchester C, Egerton A, Cochran SM, Morris BJ (2008) Modelling prefrontal cortex deficits in schizophrenia: implications for treatment. Br J Pharmacol 153(S1):S465–S470

    Article  CAS  PubMed  Google Scholar 

  • Romney DM, Candido CL (2001) Anhedonia in depression and schizophrenia: a re-examination. J Nerv Ment Dis 189:735–740

    Article  CAS  PubMed  Google Scholar 

  • Rygula R, Abumaria N, Flugge G, Fuchs E, Ruther E, Havemann-Reinecke U (2005) Anhedonia and motivational deficits in rats: impact of chronic social stress. Behav Brain Res 162(1):127–134

    Article  PubMed  Google Scholar 

  • Sams-Dodd F (1999) Phencyclidine in the social interaction test: an animal model of schizophrenia with face and predictive validity. Rev Neurosci 10:59–90

    CAS  PubMed  Google Scholar 

  • Seillier A, Giuffrida A (2009) Evaluation of NMDA receptor models of schizophrenia: divergences in the behavioural effects of sub-chronic PCP and MK-801. Behav Brain Res 204:410–415

    Article  CAS  PubMed  Google Scholar 

  • Sokolov BP (1998) Expression of NMDAR1, GluR1, GluR7, and KA1 glutamate receptor mRNAs is decreased in frontal cortex of “neuroleptic-free” schizophrenics: evidence on reversible up-regulation by typical neuroleptics. J Neurochem 71:2454–2464

    CAS  PubMed  Article  Google Scholar 

  • Spector AC, St John SJ (1998) Role of taste in the microstructure of quinine ingestion by rats. Am J Physiol Regul Integr Comp Physiol 274:1687–1703

    Google Scholar 

  • Spector AC, Klummp PA, Kaplan JM (1998) Analytical issues in the evaluation of food deprivation and sucrose concentration effects on the microstructure of licking behaviour in the rat. Behav Neurosci 112:678–694

    Article  CAS  PubMed  Google Scholar 

  • Spielewoy C, Markou A (2003) Withdrawal from chronic phencyclidine treatment induces long-lasting depression in brain reward function. Neuropsychopharmacol 28:1106–1116

    CAS  Google Scholar 

  • Turgeon SM, Hoge SG (2003) Prior exposure to phencyclidine decreases voluntary sucrose consumption and operant performance for food reward. Pharm Biochem Behav 76:393–400

    Article  CAS  Google Scholar 

  • Turgeon SM, Hulick VC (2007) Differential effects of acute and subchronic clozapine and haloperidol on phencyclidine-induced decreases in voluntary sucrose consumption in rats. Pharmacol Biochem Behav 36:569–573

    Google Scholar 

  • Verma A, Moghaddam B (1996) NMDA receptor antagonists impair prefrontal cortex function as assessed via spatial delayed alternation performance in rats: modulation by dopamine. J Neurosci 16:373–379

    CAS  PubMed  Google Scholar 

  • Weijnen JA (1998) Licking behaviour in the rat: measurement and situational control of licking frequency. Neurosci Biobehav Rev 22:751–760

    Article  CAS  PubMed  Google Scholar 

  • Willner P, Lappas S, Cheeta S, Muscat R (1994) Reversal of stress-induced anhedonia by the dopamine receptor agonist, pramipexole. Psychopharmacology 115(4):454–462

    Article  CAS  PubMed  Google Scholar 

  • Wolf DH (2006) Anhedonia in schizophrenia. Curr Psychiatry Rep 8:322–328

    Article  PubMed  Google Scholar 

  • Zurita A, Molina V (1999) Prior morphine facilitates the occurrence of immobility and anhedonia following stress. Physiol Behav 65(4–5):833–837

    CAS  PubMed  Google Scholar 

  • Zurita A, Murua S, Molina V (1996) An endogenous opiate mechanism seems to be involved in stress-induced anhedonia. Eur J Pharmacol 299(1–3):1–7

    Article  CAS  PubMed  Google Scholar 

  • Zurita A, Martijena I, Cuadra G, Brandao ML, Molina V (2000) Early exposure to chronic variable stress facilitates the occurrence of anhedonia and enhanced emotional reactions to novel stressors: reversal by naltrexone pre-treatment. Behav Brain Res 117(1–2):163–171

    Article  CAS  PubMed  Google Scholar 

Download references

Acknowledgements

Biotechnology and Biological Sciences Research Council Collaborative Award in Science and Engineering co-funded by Eli-Lilly to E.S.L.

Biotechnology and Biological Sciences Research Council New Investigator award to D.M.D.

Author information

Affiliations

Authors

Corresponding author

Correspondence to Emma S. Lydall.

Rights and permissions

Reprints and Permissions

About this article

Cite this article

Lydall, E.S., Gilmour, G. & Dwyer, D.M. Analysis of licking microstructure provides no evidence for a reduction in reward value following acute or sub-chronic phencyclidine administration. Psychopharmacology 209, 153–162 (2010). https://doi.org/10.1007/s00213-010-1779-x

Download citation

  • Received:

  • Accepted:

  • Published:

  • Issue Date:

  • DOI: https://doi.org/10.1007/s00213-010-1779-x

Keywords

  • Schizophrenia
  • NMDA antagonists
  • Reward
  • Anhedonia
  • Licking
  • Microstructure