Abstract
Rationale
Mescaline is a nonselective serotonin receptor agonist. It has relatively delayed onset of action and prolonged duration. Mescaline attenuates various behavioral parameters in rats; however, no information is available about its pharmacokinetics in rats and its relation to the behavioral changes produced by the drug.
Objectives
The present study evaluates the spontaneous locomotor activity and sensorimotor gating in relation to mescaline concentrations in the serum and the brain of rats
Materials and methods
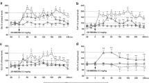
Behavioral changes induced by mescaline [10, 20, and 100 mg/kg subcutaneously (s.c.)] were evaluated in an open-field test and testing of the prepulse inhibition of acoustic startle reaction (PPI) 15 and 60 min after drug administration. The time disposition of mescaline 20 mg/kg s.c. in rat serum and brain homogenates was analyzed by gas chromatography–mass spectrometry.
Results
Mescaline produced significant inhibitory effects on locomotion in low doses and a biphasic effect with the highest dose. In the PPI test, only when tested 60 min after drug administration, all doses of mescaline disrupted PPI. Besides the experimental protocol, we have observed that approximately 50% of animals receiving 100 mg/kg died within 12 h post-injection. The serum levels of mescaline rapidly increased within 30 min and subsequently quickly decreased; however, the brain concentrations reached a maximum 1 h after administration and remained high for an additional 60 min.
Conclusions
Mescaline had a delayed onset of the main behavioral changes in rats compared to other hallucinogens. Behavioral changes correlated with the pharmacokinetics of the drug.






Similar content being viewed by others
References
Ahn HS, Makman MH (1979) Interaction of LSD and other hallucinogens with dopamine-sensitive adenylate cyclase in primate brain: regional differences. Brain Res 162:77–88
Balikova M (2005) Nonfatal and fatal DOB (2,5-dimethoxy-4-bromoamphetamine) overdose. Forensic Sci Int 153:85–91
Bankson MG, Cunningham KA (2001) 3,4-Methylenedioxymethamphetamine (MDMA) as a unique model of serotonin receptor function and serotonin-dopamine interactions. J Pharmacol Exp Ther 297:846–852
Barnes NM, Sharp T (1999) A review of central 5-HT receptors and their function. Neuropharmacology 38:1083–1152
Baselt RC (2002) Disposition of toxic drugs and chemicals in man, 6th edn. Biomedical Publications, Foster City, California (CA)
Bourn WM, Keller WJ, Bonfiglio JF (1978) Psychoactivity of normacromerine in animals. Life Sci 23:1175–1184
Browne RG, Harris RT, Ho BT (1974) Stimulus properties of mescaline and N-methylated derivatives: difference in peripheral and direct central administration. Psychopharmacologia 39:43–56
Bubenikova V, Votava M, Horacek J, Palenicek T (2005) Relation of sex and estrous phase to deficits in prepulse inhibition of the startle response induced by ecstasy (MDMA). Behav Pharmacol 16:127–130
Carder B, Sbordone R (1975) Mescaline treated rats attack immobile targets. Pharmacol Biochem Behav 3:923–925
Carey RJ, DePalma G, Damianopoulos E, Muller CP, Huston JP (2004) The 5-HT1A receptor and behavioral stimulation in the rat: effects of 8-OHDPAT on spontaneous and cocaine-induced behavior. Psychopharmacology (Berl) 177:46–54
Charalampous KD, Kinross-Wright J (1963) Hallucinogens. Tools for research of therapeutic agents. Tex Med 59:848–852
Charalampous KD, Walker KE, Kinross-Wright J (1966) Metabolic fate of mescaline in man. Psychopharmacologia 9:48–63
Chen NH, Reith ME (1995) Monoamine interactions measured by microdialysis in the ventral tegmental area of rats treated systemically with (+/−)-8-hydroxy-2-(di-n-propylamino)tetralin. J Neurochem 64:1585–1597
Cohen I, Vogel WH (1970) An assay procedure for mescaline and its determination in rat brain, liver and plasma. Experientia 26:1231–1232
Davis M (1987) Mescaline: excitatory effects on acoustic startle are blocked by serotonin2 antagonists. Psychopharmacology (Berl) 93:286–291
Davis WM, Bedford JA, Buelke JL, Guinn MM, Hatoum HT, Waters IW, Wilson MC, Braude MC (1978) Acute toxicity and gross behavioral effects of amphetamine, four methoxyamphetamines, and mescaline in rodents, dogs, and monkeys. Toxicol Appl Pharmacol 45:49–62
Eilam D, Golani I (1989) Home base behavior of rats (Rattus norvegicus) exploring a novel environment. Behav Brain Res 34:199–211
EMCDDA (2004a) Report on the risk assessment of 2C-I, 2C-T-2 and 2C-T-7 in the framework of the joint action on new synthetic drugs. European monitoring Centre for Drugs and Drug Addiction (EMCDDA), Luxembourg
EMCDDA (2004b) Report on the risk assessment of TMA-2 in the framework of the joint action on new synthetic drugs. European monitoring Centre for Drugs and Drug Addiction (EMCDDA), Luxembourg
EMCDDA Joint action on NSD (2005) Summary by substance according to the EWS Progress and Yearly Reports—2004
Fink H, Morgenstern R, Oelssner W (1979) Psychotomimetics potentiate locomotor hyperactivity induced by dopaminergic drugs. Pharmacol Biochem Behav 11:479–482
Fiorella D, Palumbo PA, Rabin RA, Winter JC (1995) The time-dependent stimulus effects of R(−)-2,5-dimethoxy-4-methamphetamine (DOM): implications for drug-induced stimulus control as a method for the study of hallucinogenic agents. Psychopharmacology (Berl) 119:239–245
Foltz RL, Fentiman AF Jr, Foltz RB (1980) GC/MS assays for abused drugs in body fluids. NIDA Res Monogr 32:1–198
French Identification System for Synthetic Drugs of OFDT (SINTES) (2003) Collection and toxicological analysis in the framework of SINTES
Geyer MA, Petersen LR, Rose GJ, Horwitt DD, Light RK, Adams LM, Zook JA, Hawkins RL, Mandell AJ (1978) The effects of lysergic acid diethylamide and mescaline-derived hallucinogens on sensory-integrative function: tactile startle. J Pharmacol Exp Ther 207:837–847
Geyer MA, Light RK, Rose GJ, Petersen LR, Horwitt DD, Adams LM, Hawkins RL (1979) A characteristic effect of hallucinogens on investigatory responding in rats. Psychopharmacology (Berl) 65:35–40
Geyer MA, Russo PV, Masten VL (1986) Multivariate assessment of locomotor behavior: pharmacological and behavioral analyses. Pharmacol Biochem Behav 25:277–288
Geyer MA, Krebs-Thomson K, Braff DL, Swerdlow NR (2001) Pharmacological studies of prepulse inhibition models of sensorimotor gating deficits in schizophrenia: a decade in review. Psychopharmacology (Berl) 156:117–154
Giroud C, Augsburger M, Rivier L, Mangin P, Sadeghipour F, Varesio E, Veuthey JL, Kamalaprija P (1998) 2C-B: a new psychoactive phenylethylamine recently discovered in Ecstasy tablets sold on the Swiss black market. J Anal Toxicol 22:345–354
Gobert A, Rivet JM, Audinot V, Newman-Tancredi A, Cistarelli L, Millan MJ (1998) Simultaneous quantification of serotonin, dopamine and noradrenaline levels in single frontal cortex dialysates of freely-moving rats reveals a complex pattern of reciprocal auto- and heteroreceptor-mediated control of release. Neuroscience 84:413–429
Golani I, Benjamini Y, Eilam D (1993) Stopping behavior: constraints on exploration in rats (Rattus norvegicus). Behav Brain Res 53:21–33
Gorelick DA, Bridger WH (1977) Facilitation and disruption by mescaline and 3,4-dimethoxyphenylethylamine of shock avoidance in rats. Psychopharmacology (Berl) 52:157–163
Hardman HF, Haavik CO, Seevers MH (1973) Relationship of the structure of mescaline and seven analogs to toxicity and behavior in five species of laboratory animals. Toxicol Appl Pharmacol 25:299–309
Harms A, Ulmer E, Kovar KA (2003) Synthesis and 5-HT2A radioligand receptor binding assays of DOMCl and DOMOM, two novel 5-HT2A receptor ligands. Arch Pharm (Weinheim) 336:155–158
Harris RA, Snell D, Loh HH (1978) Effects of d-amphetamine, monomethoxyamphetamines and hallucinogens on schedule-controlled behavior. J Pharmacol Exp Ther 204:103–117
Hermle L, Funfgeld M, Oepen G, Botsch H, Borchardt D, Gouzoulis E, Fehrenbach RA, Spitzer M (1992) Mescaline-induced psychopathological, neuropsychological, and neurometabolic effects in normal subjects: experimental psychosis as a tool for psychiatric research. Biol Psychiatry 32:976–991
Hirschhorn ID, Winter JC (1971) Mescaline and lysergic acid diethylamide (LSD) as discriminative stimuli. Psychopharmacologia 22:64–71
Johansson C, Jackson DM, Zhang J, Svensson L (1995) Prepulse inhibition of acoustic startle, a measure of sensorimotor gating: effects of antipsychotics and other agents in rats. Pharmacol Biochem Behav 52:649–654
Kaur P, Ahlenius S (1997) Potentiation of DOI-induced forward locomotion in rats by (−)-pindolol pretreatment. J Neural Transm 104:605–614
Koch M (1999) The neurobiology of startle. Prog Neurobiol 59:107–128
Krebs-Thomson K, Geyer MA (1996) The role of 5-HT(1A) receptors in the locomotor-suppressant effects of LSD: WAY-100635 studies of 8-OH-DPAT, DOI and LSD in rats. Behav Pharmacol 7:551–559
Krebs-Thomson K, Paulus MP, Geyer MA (1998) Effects of hallucinogens on locomotor and investigatory activity and patterns: influence of 5-HT2A and 5-HT2C receptors. Neuropsychopharmacology 18:339–351
Krebs-Thomson K, Ruiz EM, Masten V, Buell M, Geyer MA (2006) The roles of 5-HT(1A) and 5-HT (2) receptors in the effects of 5-MeO-DMT on locomotor activity and prepulse inhibition in rats. Psychopharmacology (Berl) 189:319–329
Laing R, Siegel JA (2003) Hallucinogens. A forensic drug handbook. Academic, London
Lát J (1973) The analysis of habituation. Acta Neurobiol.Exp (Wars.) 33:771–789
Lejeune F, Millan MJ (2000) Pindolol excites dopaminergic and adrenergic neurons, and inhibits serotonergic neurons, by activation of 5-HT1A receptors. Eur J Neurosci 12:3265–3275
Lindner W, Wainer IW (1998) Requirements for initial assay validation and publication in J. Chromatography B. J Chromatogr B Biomed Sci Appl 707:1–2
Mittman SM, Geyer MA (1991) Dissociation of multiple effects of acute LSD on exploratory behavior in rats by ritanserin and propranolol. Psychopharmacology (Berl) 105:69–76
Monte AP, Waldman SR, Marona-Lewicka D, Wainscott DB, Nelson DL, Sanders-Bush E, Nichols DE (1997) Dihydrobenzofuran analogues of hallucinogens. 4. Mescaline derivatives. J Med Chem 40:2997–3008
Musacchio JM, Goldstein M (1967) The metabolism of mescaline-14-C in rats. Biochem Pharmacol 16:963–970
National Drug Intelligence Center (2001) Information Bulletin: 2C-B (Nexus) Reappears on the Club Drug Scene. http://www.usdoj.gov/ndic/pubs0/665/665t.htm
Nichols DE (2004) Hallucinogens. Pharmacol Ther 101:131–181
Ouagazzal A, Grottick AJ, Moreau J, Higgins GA (2001) Effect of LSD on prepulse inhibition and spontaneous behavior in the rat. A pharmacological analysis and comparison between two rat strains. Neuropsychopharmacology 25:565–575
Owen S (2005) New drug discovered in Nevada County raid. http://www.news10.net/storyfull2.aspx?storyid=14931
Palenicek T, Bubenikova V, Votava M, Horacek J (2005a) Účinky MDMA, LSD a psilocinu na lokomoci potkana [The effects of MDMA, LSD and Psilocin on locomotion of the rat]. Adiktologie 5:120–130
Palenicek T, Votava M, Bubenikova V, Horacek J (2005b) Increased sensitivity to the acute effects of MDMA (“ecstasy”) in female rats. Physiol Behav 86:546–553
Palenicek T, Bubenikova V, Votava M, Horacek J (2006) Účinky selektivního antagonisty serotoninového 5-HT2C receptoru SB242084 na lokomoci potkana v animálních modelech psychóz [The effects of selective antagonist of serotonin 5-HT2C receptor SB242084 on rat’s locomotion in animal models of psychosis]. Adiktologie 10:16–19
Penders J, Verstraete A (2006) Laboratory guidelines and standards in clinical and forensic toxicology. Accredit Qual Assur 11:284–290
Peters FT, Drummer OH, Musshoff F (2007) Validation of new methods. Forensic Sci Int 165:216–224
Rollema H, Lu Y, Schmidt AW, Sprouse JS, Zorn SH (2000) 5-HT(1A) receptor activation contributes to ziprasidone-induced dopamine release in the rat prefrontal cortex. Biol Psychiatry 48:229–237
Sbordone RJ, Wingard JA, Elliott MK, Jervey J (1978) Mescaline produces pathological aggression in rats regardless of age or strain. Pharmacol Biochem Behav 8:543–546
Sbordone RJ, Wingard JA, Gorelick DA, Elliott ML (1979) Severe aggression in rats induced by mescaline but not other hallucinogens. Psychopharmacology (Berl) 66:275–280
Scheline R (1978) Mammalian metabolism of plant xenobiotics. Academic, London
Sethy VH, Winter JC (1973) Effect of chronic treatment with mescaline upon tissue levels of the drug. Experientia 29:571–572
Silva MT, Calil HM (1975) Screening hallucinogenic drugs: systematic study of three behavioral tests. Psychopharmacologia 42:163–171
Silva F, Heath RG, Rafferty T, Johnson R, Robinson W (1960) Comparative effects of the administration of Taraxein, d-LSD, mescaline, and psilocybin to human volunteers. Compr Psychiatry 1:370–376
Sipes TA, Geyer MA (1994) Multiple serotonin receptor subtypes modulate prepulse inhibition of the startle response in rats. Neuropharmacology 33:441–448
Sipes TA, Geyer MA (1995a) 8-OH-DPAT disruption of prepulse inhibition in rats: reversal with (+)WAY 100,135 and localization of site of action. Psychopharmacology (Berl) 117:41–48
Sipes TE, Geyer MA (1995b) DOI disruption of prepulse inhibition of startle in the rat is mediated by 5-HT(2A) and not by 5-HT(2C) receptors. Behav Pharmacol 6:839–842
Sipes TE, Geyer MA (1997) DOI disrupts prepulse inhibition of startle in rats via 5-HT2A receptors in the ventral pallidum. Brain Res 761:97–104
Smythies JR, Sykes EA (1964) The effect of mescaline upon the conditioned avoidance response in the rat. Psychopharmacologia 6:163–172
Speck LB (1957) Toxicity and effects of increasing doses of mescaline. J Pharmacol Exp Ther 119:78–84
Spinella M (2001) The Psychopharmacology of herbal medicine. Plant drugs that alter mind, brain, and behavior. The MIT Press, Cambridge
Swerdlow NR, Geyer MA, Braff DL (2001) Neural circuit regulation of prepulse inhibition of startle in the rat: current knowledge and future challenges. Psychopharmacology (Berl) 156:194–215
Sykes EA (1986) Mescaline-induced motor impairment in rats, assessed by two different methods. Life Sci 39:1051–1058
Trulson ME, Crisp T, Henderson LJ (1983) Mescaline elicits behavioral effects in cats by an action at both serotonin and dopamine receptors. Eur J Pharmacol 96:151–154
Vollenweider FX, Geyer MA (2001) A systems model of altered consciousness: integrating natural and drug-induced psychoses. Brain Res Bull 56:495–507
Wing LL, Tapson GS, Geyer MA (1990) 5HT-2 mediation of acute behavioral effects of hallucinogens in rats. Psychopharmacology (Berl) 100:417–425
Yamamoto T, Ueki S (1975) Behavioral effects of 2,5-dimethoxy-4-methylamphetamine (DOM) in rats and mice. Eur J Pharmacol 32:156–162
Acknowledgments
This work is supported by projects IGA MHCR NR8785-3, IGA MHCR NR8332-3 and MEYS CR 1M0517. We thank Craig Hampson BSc (Hons) for helpful comments and language correction.
Author information
Authors and Affiliations
Corresponding author
Rights and permissions
About this article
Cite this article
Páleníček, T., Balíková, M., Bubeníková-Valešová, V. et al. Mescaline effects on rat behavior and its time profile in serum and brain tissue after a single subcutaneous dose. Psychopharmacology 196, 51–62 (2008). https://doi.org/10.1007/s00213-007-0926-5
Received:
Revised:
Accepted:
Published:
Issue Date:
DOI: https://doi.org/10.1007/s00213-007-0926-5


