Skip to main content

Striatal dopamine transporter availability with [123I]β-CIT SPECT is unrelated to gender or menstrual cycle

Abstract

Objectives

The effect of gender and female menstrual cycle on human striatal dopamine transporters (DATs) was investigated with single-photon emission computed tomography (SPECT) using the ligand 2β-carbomethoxy-3β-(4-[123I]iodophenyl)tropane.

Methods

Ten female subjects aged 18–40 years (25.3±7.3 years) were scanned twice during the early follicular and the mid-luteal phases to detect any hormone-mediated changes in DAT availability in the striatum or serotonin transporter (SERT) availability in brainstem–diencephalon. Plasma estradiol and progesterone levels were obtained at the time of SPECT and confirmed the expected increases from the follicular to the luteal phases. Finally, in a post hoc analysis of a previously published healthy-subject sample, striatal DAT availability was compared between 70 male and 52 female subjects who ranged in age from 18 to 88 years.

Results

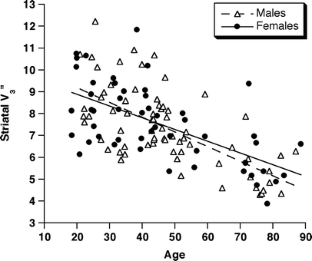
In the ten menstrual cycle subjects, DAT availability (V3″) in striatum and SERT availability in brainstem–diencephalon did not differ between follicular and luteal phases. Moreover, change in V3″ for striatum or brainstem–diencephalon was uncorrelated with change in plasma estradiol or progesterone from the follicular to the luteal phase. In the larger healthy-subject sample, there was no significant effect of gender or the interaction of age and gender on striatal V3″.

Conclusions

These findings suggest that in using DAT or SERT ligands in the study of neuropsychiatric disorders, matching of female subjects according to a menstrual cycle phase is unnecessary. Although the present investigation did not confirm previous reports of gender differences in striatal DAT availability, controlling for gender in such studies still seems advisable.

This is a preview of subscription content, access via your institution.

Fig. 1
Fig. 2
Fig. 3

References

  • Allard P, Marcusson JO, Ross SB (1994) [3H]GBR-12935 binding to cytochrome P450 in the human brain. J Neurochem 62:342–348

    PubMed  CAS  Google Scholar 

  • Andersen SL, Rutstein M, Benzo JM, Hostetter JC, Teicher MH (1997) Sex differences in dopamine receptor overproduction and elimination. Neuroreport 8:1495–1498

    PubMed  Article  CAS  Google Scholar 

  • Boja JW, Patel A, Carroll FI, Rahman MA, Philip A, Lewin AH, Kopajtic TA, Kuhar MJ (1991) [125I]RTI-55: a potent ligand for dopamine transporters. Eur J Pharmacol 194:133–134

    Article  PubMed  CAS  Google Scholar 

  • Bossé R, Rivest R, Di Paolo T (1997) Ovariectomy and estradiol treatment affect the dopamine transporter and its gene expression in the rat brain. Brain Res Mol Brain Res 46:343–346

    Article  PubMed  Google Scholar 

  • Brady KT, Grice DE, Dustan Cl, Randall C (1993) Gender differences in substance use disorders. Am J Psychiatry 150:1707–1711

    PubMed  CAS  Google Scholar 

  • Carroll FI, Rahman MA, Abraham P, Parham K, Lewin AH, Dannals RF, Shaya E, Scheffel U, Wong DF, Boja JW, Kuhar MJ (1991) [123I]3β-(4-iodophenyl)tropan-2β-carboxylic acid methyl ester (RTI-55), a unique cocaine receptor ligand for imaging the dopamine and serotonin transporters in vivo. Med Chem Res 1:289–294

    CAS  Google Scholar 

  • Cortes R, Soranoi E, Pazos A, Probst A, Palacios J (1988) Autoradiography of antidepressant binding sites in the human brain: localization using [3H]imipramine and [3H]paroxetine. Neuroscience 27:473–496

    Article  PubMed  CAS  Google Scholar 

  • Di Paolo T (1994) Modulation of brain dopamine transmission by sex steroids. Rev Neurosci 5:27–42

    PubMed  Google Scholar 

  • Farde L, Hall H, Pauli S, Halldin C (1995) Variability in D2-dopamine receptor density and affinity: a PET study with [11C]raclopride in man. Synapse 20:200–208

    Article  PubMed  CAS  Google Scholar 

  • Folstein MF, Fostein SE, McHugh PR (1975) “Mini-mental state”: a practical method for grading the cognitive state of patients for the clinician. J Psychiatr Res 12:189–198

    Article  PubMed  CAS  Google Scholar 

  • Gardiner SA, Morrison MF, Mozley PD, Mozley LH, Brensinger C, Bilker W, Newberg A, Battistini M (2004) Pilot study on the effect of estrogen replacement therapy on brain dopamine transporter availability in healthy, postmenopausal women. Am J Geriatr Psychiatry 12:621–630

    Article  PubMed  Google Scholar 

  • Gunning-Dixon FM, Head D, McQuain J, Acker JD, Raz N (1998) Differential aging of the human striatum: a prospective MR imaging study. AJNR Am J Neuroradiol 19:1501–1507

    PubMed  CAS  Google Scholar 

  • Heinz A, Ragan P, Jones DW, Hommer D, Williams W, Knable MB, Gorey JG, Doty L, Geyer C, Lee KS, Coppola R, Weinberger DR, Linnoila M (1998) Reduced central serotonin transporters in alcoholism. Am J Psychiatry 155:1544–1549

    PubMed  CAS  Google Scholar 

  • Innis RB, Seibyl JP, Scanley BE, Laruelle M, Abi-Dargham A, Wallace E, Baldwin RM, Zea-Ponce Y, Zoghbi S, Wang S, Gao Y, Neumeyer JL, Charney DS, Hoffer PB, Marek KL (1993) Single photon emission computed tomographic imaging demonstrates loss of striatal dopamine transporters in Parkinson disease. Proc Natl Acad Sci U S A 90:11965–11969

    PubMed  Article  CAS  Google Scholar 

  • Jacobsen LK, Staley JK, Malison RT, Zoghbi SS, Seibyl JP, Kosten TR, Innis RB (2000) Elevated central serotonin transporter binding availability in acutely abstinent cocaine-dependent patients. Am J Psychiatry 157:1134–1140

    Article  PubMed  CAS  Google Scholar 

  • Jernigan TL, Archibald SL, Berhow MT, Sowell ER, Foster DS, Hesselink JR (1991) Cerebral structure on MRI, Part I: localization of age-related changes. Biol Psychiatry 29:55–67

    Article  PubMed  CAS  Google Scholar 

  • Kaasinen V, Nagren K, Hietala J, Farde L, Rinne JO (2001) Sex differences in extrastriatal dopamine d(2)-like receptors in the human brain. Am J Psychiatry 158:308–311

    Article  PubMed  CAS  Google Scholar 

  • Kuikka JT, Tiihonen J, Karhu J, Bergström KA, Räsänen P (1997) Fractal analysis of striatal dopamine re-uptake sites. Eur J Nucl Med 24:1085–1090

    PubMed  CAS  Google Scholar 

  • Kuopio AM, Marttila RJ, Helenius H, Rinne UK (1999) Changing epidemiology of Parkinson's disease in southwestern Finland. Neurology 52:302–308

    PubMed  CAS  Google Scholar 

  • Laruelle M, Vanisberg M-A, Maloteaux J-M (1988) Regional and subcellular localization in human brain of [3H]paroxetine binding, a marker of serotonin uptake sites. Biol Psychiatry 24:299–309

    Article  PubMed  CAS  Google Scholar 

  • Laruelle M, Baldwin RM, Malison RT, Zea-Ponce Y, Zoghbi SS, Al-Tikriti MS, Sybirska EH, Zimmermann R, Wisniewski G, Neumeyer JL, Milius RA, Wang S, Smith EO, Roth RH, Charney DS, Hoffer PB, Innis RB (1993) SPECT imaging of dopamine and serotonin transporters with [123I]β-CIT: pharmacological characterization of brain uptake in nonhuman primates. Synapse 13:295–309

    Article  PubMed  CAS  Google Scholar 

  • Laruelle M, Wallace E, Seibyl JP, Baldwin RM, Zea-Ponce Y, Zoghbi SS, Neumeyer JL, Charney DS, Hoffer PB, Innis RB (1994) Graphical, kinetic, and equilibrium analyses of in vivo [123I]β-CIT binding to dopamine transporters in healthy human subjects. J Cereb Blood Flow Metab 14:982–994

    PubMed  CAS  Google Scholar 

  • Laruelle M, Abi-Dargham A, van Dyck CH, Gil R, De Souza C, Krystal JH, Seibyl JP, Baldwin RM, Innis RB (2000) Dopamine and serotonin transporters in patients with schizophrenia: an imaging study with [123I]β-CIT SPECT. Biol Psychiatry 47:371–379

    Article  PubMed  CAS  Google Scholar 

  • Lavalaye J, Booij J, Reneman L, Habraken JBA, van Royen EA (2000) Effect of age and gender on dopamine transporter imaging with [123I]FP-CIT SPET in healthy volunteers. Eur J Nucl Med 27:867–869

    Article  PubMed  CAS  Google Scholar 

  • Malison RT, McDougle CJ, van Dyck C, Scahill L, Baldwin RM, Price LH, Leckman JF, Innis RB (1995) [123I]β-CIT SPECT imaging demonstrates increased striatal dopamine transporter binding in Tourette's syndrome. Am J Psychiatry 152:1359–1361

    PubMed  CAS  Google Scholar 

  • Malison RT, Best SE, van Dyck CH, McCance EF, Wallace EA, Laruelle M, Baldwin RM, Seibyl JP, Price LH, Kosten TR, Innis RB (1998a) Elevated striatal dopamine transporters during acute cocaine abstinence as measured by [123I]β-CIT SPECT. Am J Psychiatry 155:832–834

    PubMed  CAS  Google Scholar 

  • Malison RT, Price LH, Berman RM, van Dyck CH, Pelton GH, Carpenter LL, Sanacora G, Owens MJ, Nemeroff CB, Rajeevan N, Baldwin RM, Seibyl JP, Innis RB, Charney DS (1998b) Reduced brain serotonin transporter availability in major depression as measured by [123I]-2β-carbomethoxy-3β-(4-iodophenyl)tropane and single photon emission computed tomography. Biol Psychiatry 44:1090–1098

    Article  PubMed  CAS  Google Scholar 

  • Metcalf MG, Mackenzie JA (1980) Incidence of ovulation in young women. J Biosoc Sci:345–352

    Google Scholar 

  • Morissette M, Di Paolo T (1993) Sex and estrous cycle variations of rat striatal dopamine uptake sites. Neuroendocrinology 58:16–22

    PubMed  Article  CAS  Google Scholar 

  • Mozley LH, Gur RC, Mozley PD, Gur RE (2001) Striatal dopamine transporters and cognitive functioning in healthy men and women. Am J Psychiatry 158:1492–1499

    Article  PubMed  CAS  Google Scholar 

  • Murphy GM Jr (1985) The human corpus striatum and dentate nucleus: volumetric analysis for hemispheric asymmetries, sex differences, and aging changes. Exp Neurol 89:134–145

    Article  PubMed  Google Scholar 

  • Neumeyer JL, Wang S, Milius RA, Baldwin RM, Zea-Ponce Y, Hoffer PB, Sybirska E, Al-Tikriti M, Charney DS, Malison RT, Laruelle MA, Innis RB (1991) [123I]-2-β-Carbomethoxy-3-β-(4-iodophenyl)-tropane (β-CIT): high affinity SPECT radiotracer of monoamine reuptake sites in brain. J Med Chem 34:3144–3146

    Article  PubMed  CAS  Google Scholar 

  • Nördstrom A-L, Olsson H, Halldin C (1998) A PET study of D2 dopamine receptor density at different phases of the menstrual cycle. Psychiatry Res 83:1–6

    PubMed  Article  Google Scholar 

  • Pohjalainen T, Rinne JO, Någren K, Syvälahti E, Hietala J (1998) Sex differences in the striatal dopamine D2 receptor binding characteristics in vivo. Am J Psychiatry 155:768–773

    PubMed  CAS  Google Scholar 

  • Poirier M-F, Benkelfat C, Galzin A-M, Langer SZ (1986) Platelet 3H-imipramine binding and steroid hormones serum concentrations during the menstrual cycle. Psychopharmacology (Berl) 88:86–89

    Article  CAS  Google Scholar 

  • Rivest R, Falardeau P, Di Paolo T (1995) Brain dopamine transporter: gender differences and effect of chronic haloperidol. Brain Res 692:269–272

    Article  PubMed  CAS  Google Scholar 

  • Rojansky N, Halbreich U, Zander K, Barkai A, Goldstein S (1991) Imipramine receptor binding and serotonin uptake in platelets of women with premenstrual changes. Gynecol Obstet Invest 31:146–152

    PubMed  CAS  Article  Google Scholar 

  • Seeman MV (1982) Gender differences in schizophrenia. Can J Psychiatry 27:107–112

    PubMed  CAS  Google Scholar 

  • Seeman MV (1996) The role of estrogen in schizophrenia. J Psychiatry Neurosci 21:123–127

    PubMed  CAS  Google Scholar 

  • Seibyl JP, Wallace E, Smith EO, Stabin M, Baldwin RM, Zea-Ponce Y, Gao Y, Zhang YW, Neumeyer JL, Zubal IG, Charney DS, Hoffer PB, Innis RB (1994) Whole-body biodistribution, radiation absorbed dose, and brain SPECT imaging with iodine-123-β-CIT in healthy human subjects. J Nucl Med 35:764–770

    PubMed  CAS  Google Scholar 

  • Seibyl JP, Marek KL, Quinlan D, Sheff K, Zoghbi SS, Zea-Ponce Y, Baldwin RM, Fussell B, Smith EO, Charney DS, van Dyck CH, Hoffer PB, Innis RB (1995) Decreased single-photon emission computed tomographic [123I]β-CIT striatal uptake correlates with symptom severity in Parkinson's disease. Ann Neurol 38:589–598

    Article  PubMed  CAS  Google Scholar 

  • Seibyl JP, Laruelle M, van Dyck CH, Wallace E, Baldwin RM, Zoghbi SS, Zea-Ponce Y, Neumeyer J, Charney DS, Hoffer PB, Innis RB (1996) Reproducibility of iodine-123-β-CIT SPECT brain measurement of dopamine transporters. J Nucl Med 37:222–228

    PubMed  CAS  Google Scholar 

  • Sofuoglu M, Dudish-Poulsen S, Nelson D, Pentel PR, Hatsukami DK (1999) Sex and menstrual cycle differences in the subjective effects from smoked cocaine in humans. Exp Clin Psychopharmacol 7:274–283

    Article  PubMed  CAS  Google Scholar 

  • Sorenson JA, Phelps ME (1987) Physics in nuclear medicine. Saunders, Philadelphia

    Google Scholar 

  • Soucy J-P, Mrini A, Lafaille F, Doucet G, Descarries L (1997) Comparative evaluation of [3H]WIN 35428 and [3H]GBR 12935 as markers of dopamine innervation density in brain. Synapse 25:163–175

    Article  PubMed  CAS  Google Scholar 

  • Staley JK, Basile M, Flynn DD, Mash DC (1994) Visualizing dopamine and serotonin transporters in the human brain with the potent cocaine analogue [125I]RTI-55: in vitro binding and autoradiographic characterization. J Neurochem 62:549–555

    PubMed  CAS  Article  Google Scholar 

  • Staley JK, Krishnan-Sarin S, Zoghbi SS, Tamagnan G, Fujita M, Seibyl JP, Maciejewski PK, O'Malley S, Innis RB (2001) Sex differences in [123I]β-CIT SPECT measures of dopamine and serotonin transporter availability in healthy smokers and nonsmokers. Synapse 41:275–284

    Article  PubMed  CAS  Google Scholar 

  • Steege JG, Stout AL, Knight DL, Nemeroff CB (1992) Reduced platelet tritium-labeled imipramine binding sites in women with premenstrual syndrome. Am J Obstet Gynecol 167:168–172

    PubMed  CAS  Google Scholar 

  • Tiihonen J, Kuikka J, Bergström K, Hakola P, Karhu J, Ryynänen O-P, Föhr J (1995) Altered striatal dopamine re-uptake site densities in habitually violent and non-violent alcoholics. Nat Med 1:654–657

    Article  PubMed  CAS  Google Scholar 

  • van Dyck CH, Seibyl JP, Malison RT, Wallace E, Zoghbi SS, Zea-Ponce Y, Baldwin RM, Charney DS, Hoffer PB, Innis RB (1995) Age-related decline in dopamine transporter binding in human striatum with [123I]β-CIT SPECT. J Nucl Med 36:1175–1181

    PubMed  Google Scholar 

  • van Dyck CH, Malison RT, Seibyl JP, Laruelle M, Klumpp H, Zoghbi SS, Baldwin RM, Innis RB (2000) Age-related decline in central serotonin transporter availability with [123I]β-CIT SPECT. Neurobiol Aging 21:497–501

    Article  PubMed  Google Scholar 

  • van Dyck CH, Quinlan DM, Cretella LM, Staley JK, Malison RT, Baldwin RM, Seibyl JP, Innis RB (2002a) Unaltered dopamine transporter availability in adult attention deficit hyperactivity disorder. Am J Psychiatry 159:309–312

    Article  PubMed  Google Scholar 

  • van Dyck CH, Seibyl JP, Malison RT, Laruelle M, Zoghbi SS, Baldwin RM, Innis RB (2002b) Age-related decline in dopamine transporters: analysis of striatal subregions, nonlinear effects, and hemispheric asymmetries. Am J Geriatr Psychiatry 10:36–43

    Article  PubMed  Google Scholar 

  • Wong DF, Broussolle EP, Wand G, Villemagne V, Dannals RF, Links JM, Zacur HA, Harris J, Naidu S, Braestrup C, Wagner HN, Gjedde A (1988) In vivo measurement of dopamine receptors in human brain by positron emission tomography: age and sex differences. Ann N Y Acad Sci 515:203–214

    PubMed  Article  CAS  Google Scholar 

Download references

Acknowledgements

The authors wish to thank H. Klumpp, M. Early, E.O. Smith, G. Wisniewski, and L. Amici for excellent technical assistance, and L. Muenz, Ph.D. for statistical advice. This research was supported by the American Federation for Aging Research (AFAR) (C.H.vD, PI), generous gifts from Rose and Philip Hoffer, and by funds from the Department of Veterans Affairs (Research Enhancement Award in Depression) and the National Institute of Mental Health (R43-MH48243 and MH58620). The research protocols described herein comply with the current laws of the USA.

Author information

Affiliations

Authors

Corresponding author

Correspondence to Christopher H. van Dyck.

Rights and permissions

Reprints and Permissions

About this article

Cite this article

Best, S.E., Sarrel, P.M., Malison, R.T. et al. Striatal dopamine transporter availability with [123I]β-CIT SPECT is unrelated to gender or menstrual cycle. Psychopharmacology 183, 181–189 (2005). https://doi.org/10.1007/s00213-005-0158-5

Download citation

  • Received:

  • Accepted:

  • Published:

  • Issue Date:

  • DOI: https://doi.org/10.1007/s00213-005-0158-5

Keywords

  • [123I]β-CIT
  • Dopamine transporter
  • Serotonin transporter
  • SPECT
  • Gender
  • Women
  • Menstrual cycle