Skip to main content

Biomonitoring of the mycotoxin Zearalenone: current state-of-the art and application to human exposure assessment

Abstract

Zearalenone (ZEN), a mycotoxin with high estrogenic activity in vitro and in vivo, is a widespread food contaminant that is commonly detected in maize, wheat, barley, sorghum, rye and other grains. Human exposure estimates based on analytical data on ZEN occurrence in various food categories and food consumption data suggest that human exposure to ZEN and modified forms of ZEN may be close to or even exceed the tolerable daily intake (TDI) derived by the European Food Safety Authority (EFSA) for some consumer groups. Considering the inherent uncertainties in estimating dietary intake of ZEN that may lead to an under- or overestimation of ZEN exposure and consequently human risk and current lack of data on vulnerable consumer groups, there is a clear need for more comprehensive and reliable exposure data to refine ZEN risk assessment. Human biomonitoring (HBM) is increasingly being recognized as an efficient and cost-effective way of assessing human exposure to food contaminants, including mycotoxins. Based on animal and (limited) human data on the toxicokinetics of ZEN, it appears that excretion of ZEN and its major metabolites may present suitable biomarkers of ZEN exposure. In view of the limitations of available dietary exposure data on ZEN and its modified forms, the purpose of this review is to provide an overview of recent studies utilizing HBM to monitor and assess human exposure to ZEN. Considerations are given to animal and human toxicokinetic data relevant to HBM, analytical methods, and available HBM data on urinary biomarkers of ZEN exposure in different cohorts.

This is a preview of subscription content, access via your institution.

Fig. 1
Fig. 2
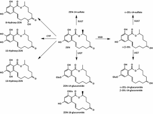
Fig. 3

Abbreviations

AFB1 :

Aflatoxin B1

DON:

Deoxynivalenol

FB1 :

Fumonisin B1

HBM:

Human biomonitoring

LOD:

Limit of detection

LOQ:

Limit of quantitation

OTA:

Ochratoxin A

PDI:

Probable daily intake

TDI:

Tolerable daily intake

ZEN:

Zearalenol

ZEL:

Zearalenol

References

  • Abia WA, Warth B, Sulyok M, Krska R, Tchana A, Njobeh PB, Turner PC, Kouanfack C, Eyongetah M, Dutton M, Moundipa PF (2013) Bio-monitoring of mycotoxin exposure in Cameroon using a urinary multi-biomarker approach. Food Chem Toxicol 62:927–934

    CAS  Article  PubMed  Google Scholar 

  • Biehl ML, Prelusky DB, Koritz GD, Hartin KE, Buck WB, Trenholm HL (1993) Biliary excretion and enterohepatic cycling of zearalenone in immature pigs. Toxicol Appl Pharmacol 121:152–159

    CAS  Article  PubMed  Google Scholar 

  • Choi J, Mørck TA, Polcher A, Knudsen LE, Joas A, (2014) Review of the state of the art of human biomonitoring for chemical substances and its application to human exposure assessment for food safety. In: EFSA (ed) EFSA supporting publication 2015: EN-724, p 321

  • Danicke S, Brussow KP, Valenta H, Ueberschar KH, Tiemann U, Schollenberger M (2005) On the effects of graded levels of Fusarium toxin contaminated wheat in diets for gilts on feed intake, growth performance and metabolism of deoxynivalenol and zearalenone. Mol Nutr Food Res 49:932–943

    Article  PubMed  Google Scholar 

  • De Boevre M, Jacxsens L, Lachat C, Eeckhout M, Di Mavungu JD, Audenaert K, Maene P, Haesaert G, Kolsteren P, De Meulenaer B, De Saeger S (2013) Human exposure to mycotoxins and their masked forms through cereal-based foods in Belgium. Toxicol Lett 218:281–292

    Article  PubMed  Google Scholar 

  • Devreese M, Antonissen G, Broekaert N, De Baere S, Vanhaecke L, De Backer P, Croubels S (2015) Comparative toxicokinetics, absolute oral bioavailability, and biotransformation of zearalenone in different poultry species. J Agric Food Chem 63:5092–5098

    CAS  Article  PubMed  Google Scholar 

  • EFSA (2011) Scientific opinion on the risks for public health related to the presence of zearalenone in food. EFSA J 9:2197

    Google Scholar 

  • EFSA (2014a) Evaluation of the increase of risk for public health related to a possible temporary derogation from the maximum level of deoxynivalenol, zearalenone and fumonisins for maize and maize products. EFSA J 12:3699

    Google Scholar 

  • EFSA (2014b) Scientific Opinion on the risks for human and animal health related to the presence of modified forms of certain mycotoxins in food and feed. EFSA J 12:3916

    Google Scholar 

  • Fitzpatrick DW, Arbuckle LD, Hassen AM (1988) Zearalenone metabolism and excretion in the rat: effect of different doses. J Environ Sci Health B 23:343–354

    CAS  Article  PubMed  Google Scholar 

  • Föllmann W, Ali N, Blaszkewicz M, Degen G, (2016) Biomonitoring of mycotoxins in urine: pilot study in mill workers. J Toxicol Environ Health, Part A in press

  • Frizzell C, Ndossi D, Verhaegen S, Dahl E, Eriksen G, Sorlie M, Ropstad E, Muller M, Elliott CT, Connolly L (2011) Endocrine disrupting effects of zearalenone, alpha- and beta-zearalenol at the level of nuclear receptor binding and steroidogenesis. Toxicol Lett 206:210–217

    CAS  Article  PubMed  Google Scholar 

  • Gambacorta I, Solfrizzo M, Visconti A, Powers S, Cossalter A, Pinton P, Oswald IP (2013) Validation study on urinary biomarkers of exposure for aflatoxin B1, ochratoxin A, fumonisin B1, deoxynivalenol and zearalenone in piglets. World Mycotoxin J 6:299–308

    CAS  Article  Google Scholar 

  • Gerding J, Cramer B, Humpf HU (2014) Determination of mycotoxin exposure in Germany using an LC-MS/MS multibiomarker approach. Mol Nutr Food Res 58:2358–2368

    CAS  Article  PubMed  Google Scholar 

  • Gerding J, Ali N, Schwartzbord J, Cramer B, Brown DL, Degen GH, Humpf HU (2015) A comparative study of the human urinary mycotoxin excretion patterns in Bangladesh, Germany, and Haiti using a rapid and sensitive LC–MS/MS approach. Mycotoxin Res 31:127–136

    CAS  Article  PubMed  Google Scholar 

  • Gutzwiller A, Gafner JL, Silacci P (2014) Urinary zearalenone measured with ELISA as a biomarker of zearalenone exposure in pigs. Mycotoxin Res 30:187–190

    CAS  Article  PubMed  Google Scholar 

  • Heyndrickx E, Sioen I, Huybrechts B, Callebaut A, De Henauw S, De Saeger S (2015) Human biomonitoring of multiple mycotoxins in the Belgian population: results of the BIOMYCO study. Environ Int 84:82–89

    CAS  Article  PubMed  Google Scholar 

  • Huybrechts B, Martins JC, Debongnie P, Uhlig S, Callebaut A (2014) Fast and sensitive LC–MS/MS method measuring human mycotoxin exposure using biomarkers in urine. Arch Toxicol 89:1993–2005

    Article  PubMed  Google Scholar 

  • Metzler M, Pfeiffer E, Hildebrand A (2010) Zearalenone and its metabolites as endocrine disrupting chemicals (EDC). World Mycotoxin J 3:385–401

    CAS  Article  Google Scholar 

  • Mirocha CJ, Pathre SV, Robison TS (1981) Comparative metabolism of zearalenone and transmission into bovine milk. Food Cosmet Toxicol 19:25–30

    CAS  Article  PubMed  Google Scholar 

  • Molina-Molina JM, Real M, Jimenez-Diaz I, Belhassen H, Hedhili A, Torne P, Fernandez MF, Olea N (2014) Assessment of estrogenic and anti-androgenic activities of the mycotoxin zearalenone and its metabolites using in vitro receptor-specific bioassays. Food Chem Toxicol 74:233–239

    CAS  Article  PubMed  Google Scholar 

  • Njumbe Ediage E, Diana Di Mavungu J, Song S, Sioen I, De Saeger S (2013) Multimycotoxin analysis in urines to assess infant exposure: a case study in Cameroon. Environ Int 57–58:50–59

    Article  PubMed  Google Scholar 

  • Olsen ME, Pettersson HI, Sandholm KA, Kiessling KH (1985) Quantitative liquid chromatographic method using fluorescence detection for determining zearalenone and its metabolites in blood plasma and urine. J Assoc Off Anal Chem 68:632–635

    CAS  PubMed  Google Scholar 

  • Rychlik M, Humpf HU, Marko D, Danicke S, Mally A, Berthiller F, Klaffke H, Lorenz N (2014) Proposal of a comprehensive definition of modified and other forms of mycotoxins including “masked” mycotoxins. Mycotoxin Res 30:197–205

    CAS  Article  PubMed  PubMed Central  Google Scholar 

  • SCF (2000) Opinion of the scientific committee on food on fusarium toxins part 2: zearalenone (ZEA) (expressed on 22 June, 2000). http://ec.europa.eu/food/safety/docs/cs_contaminants_catalogue_out65_en.pdf

  • Shephard GS, Burger HM, Gambacorta L, Gong YY, Krska R, Rheeder JP, Solfrizzo M, Srey C, Sulyok M, Visconti A, Warth B, van der Westhuizen L (2013) Multiple mycotoxin exposure determined by urinary biomarkers in rural subsistence farmers in the former Transkei, South Africa. Food Chem Toxicol 62:217–225

    CAS  Article  PubMed  Google Scholar 

  • Shin BS, Hong SH, Bulitta JB, Hwang SW, Kim HJ, Lee JB, Yang SD, Kim JE, Yoon HS, Kim DJ, Yoo SD (2009) Disposition, oral bioavailability, and tissue distribution of zearalenone in rats at various dose levels. J Toxicol Environ Health A 72:1406–1411

    CAS  Article  PubMed  Google Scholar 

  • Solfrizzo M, Gambacorta L, Lattanzio VM, Powers S, Visconti A (2011) Simultaneous LC–MS/MS determination of aflatoxin M1, ochratoxin A, deoxynivalenol, de-epoxydeoxynivalenol, alpha and beta-zearalenols and fumonisin B1 in urine as a multi-biomarker method to assess exposure to mycotoxins. Anal Bioanal Chem 401:2831–2841

    CAS  Article  PubMed  Google Scholar 

  • Solfrizzo M, Gambacorta L, Visconti A (2014) Assessment of multi-mycotoxin exposure in southern Italy by urinary multi-biomarker determination. Toxins (Basel) 6:523–538

    Article  Google Scholar 

  • Wallin S, Gambacorta L, Kotova N, Lemming EW, Nalsen C, Solfrizzo M, Olsen M (2015) Biomonitoring of concurrent mycotoxin exposure among adults in Sweden through urinary multi-biomarker analysis. Food Chem Toxicol 83:133–139

    CAS  Article  PubMed  Google Scholar 

  • Warth B, Sulyok M, Berthiller F, Schuhmacher R, Krska R (2013a) New insights into the human metabolism of the Fusarium mycotoxins deoxynivalenol and zearalenone. Toxicol Lett 220:88–94

    CAS  Article  PubMed  Google Scholar 

  • Warth B, Sulyok M, Krska R (2013b) LC–MS/MS-based multibiomarker approaches for the assessment of human exposure to mycotoxins. Anal Bioanal Chem 405:5687–5695

    CAS  Article  PubMed  PubMed Central  Google Scholar 

  • Warth B, Petchkongkaew A, Sulyok M, Krska R (2014) Utilising an LC–MS/MS–based multi-biomarker approach to assess mycotoxin exposure in the Bangkok metropolitan area and surrounding provinces. Food Addit Contam Part A Chem Anal Control Expo Risk Assess 31:2040–2046

    CAS  Article  PubMed  Google Scholar 

  • Zollner P, Jodlbauer J, Kleinova M, Kahlbacher H, Kuhn T, Hochsteiner W, Lindner W (2002) Concentration levels of zearalenone and its metabolites in urine, muscle tissue, and liver samples of pigs fed with mycotoxin-contaminated oats. J Agric Food Chem 50:2494–2501

    Article  PubMed  Google Scholar 

Download references

Acknowledgments

The authors would like to thank Lucia Gambacorta for analyses with indirect method as well as Nicole Lorenz and all members of the Mycotoxin Panel of the Committee of Contaminants and other Undesirable Substances in the Food Chain of the Federal Institute for Risk Assessment (BfR) for constructive discussions.

Author information

Affiliations

Authors

Corresponding author

Correspondence to Angela Mally.

Ethics declarations

Conflict of interest

The authors have no conflict of interest to declare.

Rights and permissions

Reprints and Permissions

About this article

Verify currency and authenticity via CrossMark

Cite this article

Mally, A., Solfrizzo, M. & Degen, G.H. Biomonitoring of the mycotoxin Zearalenone: current state-of-the art and application to human exposure assessment. Arch Toxicol 90, 1281–1292 (2016). https://doi.org/10.1007/s00204-016-1704-0

Download citation

  • Received:

  • Accepted:

  • Published:

  • Issue Date:

  • DOI: https://doi.org/10.1007/s00204-016-1704-0

Keywords

  • Human biomonitoring
  • Mycotoxin
  • Zearalenone
  • Biomarker of exposure