Abstract
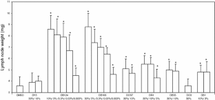
Disperse dyes, which are suitable for dyeing synthetic fibres, are responsible for the great majority of allergic contact dermatitis (ACD) cases to textile dyes. The aim of the present study was to investigate the sensitising potential of various disperse dyes using a biphasic protocol of the local lymph node assay (LLNA). Briefly, mice were shaved over a surface of approximately 2 cm2 on their backs and treated using a “sensitisation-challenge protocol”. The shaved surface was treated once daily on days 1–3 with 50 μl of the test solution. Animals remained untreated on days 4–14. On days 15–17, mice were treated with 25 μl of the test solution on the dorsum of both ears. Mice were killed on day 19 with deep CO2 anaesthesia, the lymph nodes prepared and various end points, such as ear thickness, ear punch weight, lymph node weight, lymph node cell count and the proportion of various lymphocyte subpopulations, were determined by flow cytometry. The results were compared to control group treated with the vehicle alone. Our results showed that almost all of the tested textile dyes caused a significant increase in lymph node cell count and lymph node weight. We also observed an increase in ear thickness and ear punch weight in most of the concentrations tested for various textile dyes. We observed a decrease in CD4+ and CD8+ cells and an increase in CD19+, CD45+ and CD45+/1A+ cells in most of the cases, which is characteristic for allergens. The CD4+/CD69+ cells increased in only few experiments mainly with Disperse Blue 124 and Disperse Blue 106. Based on our results, the disperse dyes could be arranged in four groups on the basis of their sensitising potency in the following decreasing order (in parenthesis: lowest concentration causing a significant increase in lymph node cell number): group 1, strong: Disperse Blue 124 and Disperse Blue 106 (0.003%); group 2, moderate: Disperse Red 1 and Disperse Blue 1 (3%); group 3, weak: Disperse Orange 37 and Disperse Blue 35 (10%); and group 4, very weak: Disperse yellow 3 and Disperse Orange 3 (increase at 30% or no increase at 30%). In conclusion, our study shows that the biphasic LLNA protocol was proficient enough to study the sensitisation potential of tested textile dyes and provides data allowing to discriminate them according to their potency.




References
Ahuja V, Schreiber C, Platzek T, Stahlmann R (2009a) Investigation of the sensitising and cross-sensitising potential of textile dyes and ß-lactam antibiotics using a biphasic mice local lymph node assay. Arch Toxicol 83(7):691–699
Ahuja V, Wanner R, Platzek T, Stahlmann R (2009b) Appraisal of the sensitising potential of orally and dermally administered Mercaptobenzothiazol by a biphasic protocol of the local lymph node assay. Arch Toxicol 83:933–939
Betts CJ, Dearman RJ, Kimber I, Maibach HI (2005) Potency and risk assessment of a skin-sensitizing disperse dye using the local lymph node assay. Contact Derm 52(5):268–272
BfR Information No. 018/2007 (2007) Introduction to the problems surrounding garment textiles. http://www.bfr.bund.de/cm/230/introduction_to_the_problems_surrounding_garment_textiles.pdf
Botham PA, Basketter DA, Maurer T, Mueller D, Potokar M, Bontinck WJ (1991) Skin sensitization-a critical review of predictive test methods in animal and man. Food Chem Toxicol 29:275–286
Brandao FM, Altermatt C, Pecegueiro M, Bordalo O, Foussereau J (1985) Contact dermatitis to disperse Blue 106. Contact Derm 13:80–84
Calnan CD (1976) Quinazoline yellow SS in cosmetics. Contact Derm 2:160–166
Correia S, Brandao MF (1986) Contact dermatitis of the feet. Derm Beruf Umwelt 34:102–106
Cronin E (1980) Clothing and textiles. In: Contact dermatitis. Churchill Livingstone, London, pp 36–92
Dinardo J, Draelos ZD (2007) An animal model assessment of common dye-induced allergic contact dermatitis. J Cosmet Sci 58(3):209–214
Dooms-Goossens A, Bonamie A, Parys M, Dooms M (1981) Sensitizing anthraquinone dye in spectacle frames. Contact Derm 7(4):214–215
Ehling G, Hecht M, Heusener A, Huesler J, Gamer AO, van Loveren H, Maurer T, Riecke K, Ullmann L, Ulrich P, Vandebriel R, Vohr HW (2005a) An European inter-laboratory validation of alternative endpoints of the murine local lymph node assay: first round. Toxicology 212:60–68
Ehling G, Hecht M, Heusener A, Huesler J, Gamer AO, van Loveren H, Maurer T, Riecke K, Ullmann L, Ulrich P, Vandebriel R, Vohr HW (2005b) An European inter-laboratory validation of alternative endpoints of the murine local lymph node assay: second round. Toxicology 212:69–79
Gerberick GF, Cruse WL, Ryan CA (1999) Local lymph node assay: differentiating allergic and irritant responses using flow cytometry. Methods 19:48–55
Giusti F, Massone F, Bertoni L, Pellacani G, Seidenari S (2003) Contact sensitization to disperse dyes in children. Pediatr Dermatol 20(5):393–397
Guiraud-Pons A (1999) Aspects cliniques de l’allergie aux colorants des textiles. In: Progres en dermato-allergologie. John Libbey eurotext, Lyon, pp 151–161
Hariya T, Hatao M, Ichikawa H (1999) Development of a non-radioactive endpoint in a modified local lymph node assay. Food Chem Toxicol 37(1):87–93
Hatch KL (2003) Textile dyes as allergic contact allergens. Curr Probl Dermatol 31:139–155
Hatch KL, Maibach HI (2000) Textile dye allergic contact dermatitis prevalence. Contact Derm 42(4):187–195
Hatch KL, Motschi H, Maibach HI (2003) Disperse dyes in fabrics of patients patch-test-positive to disperse dyes. Am J Contact Derm 14(4):205–212
Hausen BM (1993) Contact allergy to disperse Blue 106 and Blue 124 in black “velvet” clothes. Contact Derm 28(3):169–173
Hausen BM, Menezes Brandão F (1986) Disperse Blue 106, a strong sensitizer. Contact Derm 15(2):102–103
Hausen BM, Sawall EM (1989) Sensitization experiments with textile dyes in guinea pigs. Contact Derm 20(1):27–31
Homey B, von Schilling C, Blumel J, Schuppe HC, Ruzicka T, Ahr HJ, Lehmann P, Vohr HW (1998) An integrated model for the differentiation of chemical-induced allergic and irritant skin reactions. Toxicol Appl Pharmacol 153:83–94
Humphreys NE, Dearman RJ, Kimber I (2003) Assessment of cumulative allergen-activated lymph node cell proliferation using flow cytometry. Toxicol Sci 73:80–89
Joe EK (2001) Allergic contact dermatitis to textile dyes. Dermatol Online J 7(1):9
Kimber I, Hilton J, Dearman RJ, Gerberick GF, Ryan CA, Basketter DA, Scholes EW, Ladics GS, Loveless SE, House RV (1995) An international evaluation of the murine local lymph node assay and comparison of modified procedures. Toxicology 103:63–73
Kimber I, Maibach HI, Motschi H (2005) Thresholds of contact sensitization from disperse dyes in textiles. Contact Derm 52:295
Lepoittevin JP (1999) Chimie des colorants vestimentaires. In: Progres en dermato-allergologie. John Libbey eurotext, Lyon, pp 151–161
Miller MM, Goldberg HS, Wilkerson WG (1978) Allergic contact dermatitis to 1, 4-bis(isopropylamino)anthraquinone caused by a felt-tip marker pen. Arch Dermatol 114(2):1793–1794
Rietschel RL, Fowler JF (2001) Textile and shoe dermatitis. In: Fisher’s contact dermatitis, 5th edn. Lippincott Williams & Wilkins, Philadelphia, pp 279–305
Sailstad DM (2002) Murine local lymph node assay: an alternative test method for skin hypersensitivity. Lab Anim 31:36–41
Seidenari S, Manzini BM, Danese P (1991) Contact sensitization to textile dyes: description of 100 subjects. Contact Derm 24(4):253–258
Seidenari S, Giusti F, Massone F, Mantovani L (2002) Sensitization to disperse dyes in a patch test population over a five-year period. Am J Contact Derm 13(3):101–107
Sikorski EE, Gerberick GF, Ryan CA, Miller CM, Ridder GM (1996) Phenotypic analysis of lymphocyte subpopulations in lymph nodes draining the ear following exposure to contact allergens and irritants. Fundam Appl Toxicol 34(1):25–35
Smith J, Gawkrodger DJ (2002) Contact dermatitis from textile and dye allergens requires high index of suspicion for diagnosis. Contact Derm 47:112–113
Stahlmann R, Wegner M, Riecke K, Kruse M, Platzek T (2006) Sensitising potential of four textile dyes and some of their metabolites in a modified local lymph node assay. Toxicology 219:113–123
Suda A, Yamashita M, Tabei M, Taguchi K, Vohr H-W, Tsutsui N, Ritsuyoshi S, Katsuaki K, Sakaguchi K, Mochizuki K, Nakamura K (2002) Local lymph node assay with non-radioisotope alternative endpoints. J Tox Sci 27(3):205–218
Ulrich P, Streich J, Suter W (2001) Intralaboratory validation of alternative endpoints in the murine local lymph node assay for the identification of contact allergic potential: primary ear skin irritation and ear-draining lymph node hyperplasia induced by topical chemicals. Arch Toxicol 74:733–744
Uter W, Schnuch A, Geier J, Frosch PJ (1998) Epidemiology of contact dermatitis. The information network of departments of dermatology (IVDK) in Germany. Eur J Dermatol 8(1):36–40
Vohr HW, Blumel J, Blotz A, Homey B, Ahr HJ (2000) An intra-laboratory validation of the integrated model for the differentiation of skin reactions (IMDS): discrimination between (photo)allergic and (photo)irritant skin reactions in mice. Arch Toxicol 73:501–509
Acknowledgments
The financial support provided by Federal Institute for Risk Assessment (BfR), Berlin, and the Sonnenfeld-Stiftung, Berlin, is gratefully acknowledged. The authors would also like to thank Mrs. Christine Gericke (Charité-Universitätsmedizin, Berlin) and Dr. Gisela Arndt (Freie Universität, Berlin) for their useful suggestions in statistical analysis.
Author information
Authors and Affiliations
Corresponding author
Rights and permissions
About this article
Cite this article
Ahuja, V., Platzek, T., Fink, H. et al. Study of the sensitising potential of various textile dyes using a biphasic murine local lymph node assay. Arch Toxicol 84, 709–718 (2010). https://doi.org/10.1007/s00204-010-0566-0
Received:
Accepted:
Published:
Issue Date:
DOI: https://doi.org/10.1007/s00204-010-0566-0