Skip to main content

Hematological effects of four ethylene glycol monoalkyl ethers in short-term repeated exposure in rats

Abstract

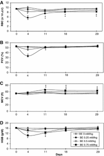
This study was carried out to compare the hematological effects of 2-methoxyethanol (ME), 2-ethoxyethanol (EE), 2-isopropoxyethanol (IPE), and 2-butoxyethanol (BE) in short-term studies in rats. Male rats were subcutaneously treated with ME or EE at a dosage of 0, 1.25, 2.5 and 5.0 mM/kg in saline, 5 days per week, for 4 weeks. Other rats were exposed to IPE or BE at doses of 0, 0.25, 0.5, 0.75 and 1.25 mM/kg in the same manner. Administration of each chemical, except of ME, resulted in a time- and dose-dependent swelling of erythrocytes as evidenced by an increase in mean corpuscular volume (MCV). Subsequently, red blood cells (RBC), packed cell volumes (PCV), hemoglobin concentration (HGB), and mean cell hemoglobin concentration (MCHC) decreased. Furthermore, an increase in mean cell hemoglobin (MCH) and reticulocyte counts was observed. The onset of hemolysis induced by EE, IPE or BE was faster than after ME administration. While in rats exposed to ME hematological changes were strongly pronounced and progressively increased with exposure time beginning from the day 11, those in animals treated with EE were rather persisted at low constant level for all exposure period. In contrast, the rats exposed to IPE and BE demonstrated the dramatic hematological changes more pronounced in case of BE than IPE at the beginning of exposure (on day 4). Despite of exposure duration, these changes were regressed, although the decrease in RBC and MCHC and the increase in MCV and MCH in rats treated with highest doses of both compound (0.5, 0.75, and 1.25 mM/kg) were more persistent, probably due to selective hemolysis of the aged erythrocytes. In addition, significant leukopenia due to reduction of lymphocytes in rats exposed to ME was observed. In summary, this study demonstrated no tolerance to ME- and EE-induced intravascular hemolysis developed under these experimental conditions. On the contrary, tolerance to IPE- and BE-induced hemolysis in rats exposed to these compounds was prompted.

This is a preview of subscription content, access via your institution.

Fig. 1
Fig. 2
Fig. 3
Fig. 4
Fig. 5
Fig. 6

Abbreviations

BE:

2-Butoxyethanol

EE:

2-Ethoxyethanol

EGAEs:

Ethylene glycol alkyl ethers

HGB:

Hemoglobin concentration

IPE:

2-Isopropoxyethanol

MCH:

Mean cell hemoglobin

MCHC:

Mean cell hemoglobin concentration

MCV:

Mean corpuscular volume

ME:

2-Methoxyethanol

PCV:

Packed cell volume

RBC:

Red blood cells

Ret:

Reticulocyte count

References

  • Aasmoe L, Mathiesen M, Sager G (1999) Elimination of methoxyacetic acid and ethoxyacetic acid in rat. Xenobiotica 29:417–424

    PubMed  Article  CAS  Google Scholar 

  • Aasmoe L, Winberg JO, Aarbakke J (1998) The role of liver alcohol dehydrogenase isoenzymes in the oxidation of glycolethers in male and female rats. Toxicol Appl Pharmacol 150:86–90

    PubMed  Article  CAS  Google Scholar 

  • Abraham EC, Taylor FJ, Lang CA (1978) Influence of mouse age and erythrocyte age on glutathione metabolism. Biochem J 174:819–825

    PubMed  CAS  Google Scholar 

  • Carpenter CP, Pozzani UC, Weil CS, Nair JH, Keck GA (1956) The toxicity of butyl cellosolve solvent. Arch Ind Health 14:114–131

    CAS  Google Scholar 

  • Cohen R (1984) Reversible subacute ethylene glycol monomethyl ether toxicity associated with microfilm production: a case report. Am J Ind Med 6:441–446

    PubMed  Article  CAS  Google Scholar 

  • Coomes MW, Norling A, Pohl RJ, Muller D, Fouts IR (1983) Foreign compound metabolism by isolated skin cells from the hairless mouse. J Pharmacol Exp Ther 225:770–777

    PubMed  CAS  Google Scholar 

  • de Ketttenis P (2005) The historic and current use of glycol ethers: a picture of change. Toxicol Lett 156:5–11

    PubMed  Article  CAS  Google Scholar 

  • Dugard PH, Walker M, Mawdsley SJ, Scott RC (1984) Absorption of some glycol ethers through human skin in vitro. Environ Health Perspect 7:193–197

    Article  Google Scholar 

  • Fairhurst S, Knight R, Marrs TC, Scawin JW, Spurlock MS, Swanston DW (1989) Percutaneous toxicity of ethylene glycol monomethyl ether and of dipropylene glycol monomethyl ether in the rat. Toxicology 57:209–215

    PubMed  Article  CAS  Google Scholar 

  • Foster P, Lloyd SC, Blackburn DM (1987) Comparison of the in vivo and in vitro testicular effects produced by methoxy-, ethoxy- and N-butoxyacetic acids in the rat. Toxicology 43:17–30

    PubMed  Article  CAS  Google Scholar 

  • Ghanayem BI, Burka LT, Matthews HB (1987) Metabolic basis of ethylene glycol monobutyl ether (2-butoxyethanol) toxicity: role of alcohol and aldehyde dehydrogenases. J Pharmacol Exp Ther 242:222–231

    PubMed  CAS  Google Scholar 

  • Ghanayem BI, Burka LT, Mattews HB (1989) Structure-activity relationships for the in vitro hematotoxicity of N-alkoxyacetic acids, the toxic metabolites of glycol ethers. Chem Biol Interact 70:339–352

    PubMed  Article  CAS  Google Scholar 

  • Ghanayem BI, Long PH, Ward SM, Chanas B, Nyska M, Nyska A (2001) Hemolytic anemia, thrombosis, and infarction in male and female F344 rats following gavage exposure to 2-butoxyethanol. Exp Toxicol Pathol 53:97–105

    PubMed  Article  CAS  Google Scholar 

  • Ghanayem BI, Sanchez IM, Matthews HB (1992) Development of tolerance to 2-butoxyethanol-induced hemolytic anemia and studies to elucidate the underlying mechanisms. Toxicol Appl Pharmacol 112:198–206

    PubMed  Article  CAS  Google Scholar 

  • Ghanayem BI, Ward SM, Chanas B, Nyska A (2000) Comparison of the acute hematotoxicity of 2-butoxyethanol in male and female F344 rats. Hum Exp Toxicol 19:185–192

    PubMed  Article  CAS  Google Scholar 

  • Ghanayem BI, Ward SM, Blair PC, Matthews HB (1990) Comparison of the hematologic effects of 2-butoxyethanol using two types of hematology analyzers. Toxicol Appl Pharmacol 106:341–345

    PubMed  Article  CAS  Google Scholar 

  • Glass GA, Gershon D (1984) Decreased enzymatic protection and increased sensitivity to oxidative damage in erythrocytes as a function of cell and donor aging. Biochem J 218:531–537

    PubMed  CAS  Google Scholar 

  • Grant D, Sulsh S, Jones HB, Gangolli SD, Butler WH (1985) Acute toxicity and recovery in the hemopoietic system of rats after treatment with ethylene glycol monomethyl and monobutyl ethers. Toxicol Appl Pharmacol 77:187–200

    PubMed  Article  CAS  Google Scholar 

  • Haufroid V, Thirion F, Mertens P, Buchet J-P, Lison D (1997) Biological monitoring of workers exposed to low levels of 2-butoxyethanol. Int Arch Occup Environ Health 70:232–236

    PubMed  Article  CAS  Google Scholar 

  • Hardin BD, Goad PT, Burg JAR (1984) Developmental toxicity of four glycol ethers applied cutaneously to rats. Environ Health Perspect 57:69–74

    PubMed  Article  CAS  Google Scholar 

  • Johanson G (1994) Inhalation toxicokinetics of butoxyethanol and its metabolite butoxyacetic acid in the male Sprague-Dawley rat. Arch Toxicol 68:588–594

    PubMed  Article  CAS  Google Scholar 

  • Johanson G, Boman A (1991) Percutaneous absorption of 2-butoxyethanol vapour in human subjects. Br J Ind Med 48:788–792

    PubMed  CAS  Google Scholar 

  • Johanson G, Kronborg H, Näslund PH, Byfält Nordqvist M (1986). Toxicokinetics of inhaled 2-butoxyethanol (ethylene glycol monobutyl ether) in man. Scand J Work Environ Health 12:594–602

    PubMed  CAS  Google Scholar 

  • Johanson G, Boman A, Dynesius B (1988) Percutaneous absorption of 2-butoxyethanol in man. Scand J Work Environ Health 14:101–109

    PubMed  CAS  Google Scholar 

  • Kim Y, Lee N, Sakai T, Kim KS, Yang JS, Park S, Lee CR, Cheong HK, Moon Y (1999) Evaluation of exposure to ethylene glycol monoethyl ether acetates and their possible haematological effects on shipyard painters. Occup Environ Med 56:378–382

    PubMed  CAS  Article  Google Scholar 

  • Krasavage WJ (1986) Subchronic oral toxicity of ethylene glycol monobutyl ether in male rats. Fundam Appl Toxicol 6:349–355

    PubMed  Article  CAS  Google Scholar 

  • Ku WW, Wine RN, Chae BY, Ghanayem BI, Chapin RE (1995) Spermatocyte toxicity of 2-methoxyethanol (ME) in rats and guinea pigs: evidence for the induction of apoptosis. Toxicol Appl Pharmacol 134:100–110

    PubMed  Article  CAS  Google Scholar 

  • Larese F, Fiorito A, Zotti RD (1992) The possible haematological effects of glycol monomethyl ether in a frame factory. Br J Ind Med 49:131–133

    PubMed  CAS  Google Scholar 

  • Lockley DJ, Howes D, Williams FM (2002) Percutaneous penetration and metabolism of 2-ethoxyethanol. Toxicol Appl Pharmacol 180:74–82

    PubMed  Article  CAS  Google Scholar 

  • Lockley DJ, Howes D, Williams FM (2005) Cutaneous metabolism of glycol ethers. Arch Toxicol 79:160–168

    PubMed  Article  CAS  Google Scholar 

  • Long PH, Maronpot RR, Ghanayem BI, Roycroft JH, Nyska A (2000) Dental pulp infarction in female rats following inhalation exposure to 2-butoxyethanol. Toxicol Pathol 28:246–252

    PubMed  CAS  Google Scholar 

  • Medinsky MA, Singh G, Bechtold WE, Bond JA, Sabourin PJ, Birnbaum LS, Henderson RF (1990) Disposition of three glycol ethers administered in drinking water to male F344/N rats. Toxicol Appl Pharmacol 102:443–455

    PubMed  Article  CAS  Google Scholar 

  • Miller RR, Hermann EA, Young JT, Landry TD, Calhoun LL (1984) Ethylene glycol monomethyl ether and propylene glycol monomethyl ether: metabolism, disposition, and subchronic inhalation toxicity studies. Environ Health Perspect 57:233–239

    PubMed  Article  CAS  Google Scholar 

  • Nyska A, Maronpot RR, Ghanayem BI (1999) Ocular thrombosis and retinal degeneration induced in female F344 rats by 2-butoxyethanol. Hum Exp Toxicol 18:577–582

    PubMed  Article  CAS  Google Scholar 

  • Rawlings SJ, Shuker DE, Webb M, Brown NA (1985) The teratogenic potential of alkoxy acids in post-implantation rat embryo culture: structure-activity relationship. Toxicol Lett 28:49–58

    PubMed  Article  CAS  Google Scholar 

  • Shiga T, Maeda N, Suda T, Kon K, Sekiya M (1979) The decreased membrane fluidity of in vitro aged human erythrocytes. Biochem Biophys Acta 553:84–95

    PubMed  Article  CAS  Google Scholar 

  • Shih T-S, Hsieh A-T, Chen Y-H, Liao G-D, Chen C-Y, Chou J-S, Liou S-H (2003) Follow up study of haematological effects in workers exposed to 2-methoxyethanol. Occup Environ Med 60:130–135

    PubMed  Article  CAS  Google Scholar 

  • Shih T-S, Hsieh A-T, Liao G-D, Chen Y-H, Liou S-H (2000) Haematological and spermatotoxic effects of ethylene glycol monomethyl ether in copper clad laminate factories. Occup Environ Med 57:348–352

    PubMed  Article  CAS  Google Scholar 

  • Shih T-S, Liou S-H, Chen C-Y, Smith TJ (2001) Urinary 2-methoxy acetic acid accumulation in response to 2-methoxy ethanol exposure. Arch Environ Health 56:20–25

    PubMed  CAS  Google Scholar 

  • Sivarao DV, Mehendale HM (1995) 2-Butoxyethanol autoprotection is due to resilience of newly formed erythrocytes to hemolysis. Arch Toxicol 69:526–532

    PubMed  Article  CAS  Google Scholar 

  • Starek A, Jarosz J (2001) Hemolytic anemia induced by 2-butoxyethanol in rats. Acta Pol Toxicol l9:165–174

    Google Scholar 

  • Starek A, Lepiarz W, Starek-Świechowicz B, Jarosz J (2002) A comparative study of the acute hematotoxicity of three ethylene glycol monoalkyl ethers in rats. Acta Pol Toxicol 10:1–16

    Google Scholar 

  • Starek A, Jarosz J, Szymczak W (2004) Comparison of the hemolytic activity of isopropoxyethanol and phenoxyethanol. Int J Occup Med Environ Health 17:339–346

    PubMed  Google Scholar 

  • Starek A, Szabla J, Szymczak W, Zapór J (2006) Comparison of acute haematotoxicity of 2-methoxyethanol, 2-ethoxyethanol and 2-butoxyethanol in male rats. Acta Toxicol 14:63–71

    Google Scholar 

  • Udden MM (2000) Rat erythrocyte morphological changes after gavage dosing with 2-butoxyethanol: a comparison with the in vitro effects of butoxyacetic acid on rat and human erythrocytes. J Appl Toxicol 20:381–387

    PubMed  Article  CAS  Google Scholar 

  • Udden MM (2002) In vitro sub-hemolytic effects of butoxyacetic acid on human and rat erythrocytes. Toxicol Sci 69:258–264

    PubMed  Article  CAS  Google Scholar 

  • Vincent R, Cicolella A, Subra I, Rieger B, Poirot P, Pierre F (1993) Occupational exposure to 2-butoxyethanol for workers using window cleaning agents. Appl Occup Environ Hyg 8:580–586

    CAS  Google Scholar 

  • Wang RS, Suda M, Gao X, Wang B, Nakajima T, Honma T (2004) Health effects of exposure to ethylene glycol monoethyl ether in female workers. Ind Health 42:447–451

    PubMed  CAS  Google Scholar 

  • Welsch F (2005) The mechanism of ethylene glycol ether reproductive and developmental toxicity and evidence for adverse effects in humans. Toxicol Lett 156:13–28

    PubMed  Article  CAS  Google Scholar 

  • Williams WC, Riddle MM, Copeland CB, Andrews DL, Smialowicz RJ (1995) Immunological effects of 2-methoxyethanol administered dermally or orally to Fischer 344 rats. Toxicology 98:215–223

    PubMed  Article  CAS  Google Scholar 

  • Yargicoğlu P, Gümüslüoriob S, Ağa A, Kipmen Korgun D, Kücükatay V (2001) Effect of sulfur dioxide inhalation on erythrocyte antioxidant status, food intake, and lipid peroxidation during aging. Arch Environ Health 56:53–57

    PubMed  Article  Google Scholar 

Download references

Acknowledgments

This study was supported by grant WPR-002/CIOP/2005, Research Task 2.A.08 from The Polish State Committee for Scientific Research. The experiments were conducted in compliance with the Polish regulations for animal experimentation and the agreement of the Animal Welfare Committee of Jagiellonian University.

Author information

Affiliations

Authors

Corresponding author

Correspondence to Andrzej Starek.

Rights and permissions

Reprints and Permissions

About this article

Cite this article

Starek, A., Szymczak, W. & Zapor, L. Hematological effects of four ethylene glycol monoalkyl ethers in short-term repeated exposure in rats. Arch Toxicol 82, 125–136 (2008). https://doi.org/10.1007/s00204-007-0236-z

Download citation

  • Received:

  • Accepted:

  • Published:

  • Issue Date:

  • DOI: https://doi.org/10.1007/s00204-007-0236-z

Keywords

  • Ethylene glycol alkyl ethers
  • Short-term exposure
  • Hematotoxicity
  • Hemolysis
  • Tolerance