Skip to main content

Weakness in the mechanical properties of the femurs of growing female rats exposed to cadmium

An Erratum to this article was published on 06 December 2006

Abstract

The study assessed the effect of cadmium (Cd) intoxication on the risk of deformities and fractures of the growing bones of female rats, in order to model human exposure to this metal. For this purpose, bone mineral density and mechanical properties of the proximal and distal ends and diaphysis of the femur were investigated in female Wistar rats exposed to 1, 5 and 50 mg Cd/l in drinking water for 3, 6, 9 and 12 months after the onset of weaning. Daily Cd doses received from drinking water during the treatment period were in the following ranges: 0.059–0.219, 0.236–1.005 and 2.247–9.649 mg/kg body weight at 1, 5 and 50 mg Cd/l, respectively. Biomechanical properties of the femoral proximal and distal ends were evaluated in a compression test, and those of the femoral diaphysis in a cutting test, with loading perpendicular to the longitudinal axis of the bone in all tests. The mineralization and mechanical properties of the bone tissue at various locations on the femur were affected by exposure to Cd in a dose- and duration-dependent manner. Exposure to 1 mg Cd/l (corresponding to low human exposure) during skeletal development weakened the fracture strength of the femoral neck and the trabecular bone at the level of the distal end of the femur and affected the elastic properties of the cortical bone at the femoral diaphysis. At higher levels of Cd exposure, adverse effects were generally observed after a shorter exposure period than for 1 mg Cd/l, and were more advanced. The cadmium-induced weakening of the biomechanical properties of bone at particular sites on the femur correlated with the decreased bone mineralization. The results indicate that even a low exposure to Cd may affect the mineralization and biomechanical properties of growing bone, thus enhancing the risk of fracture.

This is a preview of subscription content, access via your institution.

Fig. 1A–D
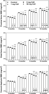
Fig. 2
Fig. 3
Fig. 4
Fig. 5

References

  • Alfvén T, Elinder CG, Carlsson MD, Grubb A, Hellström L, Persson B, Petersson C, Spang G, Schütz A, Järup L (2000) Low-level cadmium exposure and osteoporosis. J Bone Miner Res 15:1579–1586

    PubMed  Article  Google Scholar 

  • Alfvén T, Elinder CG, Hellström L, Lagarde F, Järup L (2004) Cadmium exposure and distal forearm fractures. J Bone Miner Res 19:900–905

    PubMed  Article  CAS  Google Scholar 

  • Brzóska MM, Moniuszko-Jakoniuk J (2004) Low-level exposure to cadmium during the lifetime increases the risk of osteoporosis and fractures of the lumbar spine in the elderly. Studies on a rat model of human environmental exposure. Toxicol Sci 82:468–477

    Article  PubMed  CAS  Google Scholar 

  • Brzóska MM, Moniuszko-Jakoniuk J (2005a) Bone metabolism of male rats chronically exposed to cadmium. Toxicol Appl Pharmacol (in press, DOI 10.1016/j.taap.2005.01.003)

  • Brzóska MM, Moniuszko-Jakoniuk J (2005b) Disorders in bone metabolism of female rats chronically exposed to cadmium. Toxicol Appl Pharmacol 202:68–83

    Article  PubMed  CAS  Google Scholar 

  • Brzóska MM, Rogalska J, Moniuszko-Jakoniuk J (2003) The concentration of vitamin D metabolites in the serum of cadmium-exposed female rats. Osteoporos Int 14(Suppl. 6):22–23 (abstract)

    Google Scholar 

  • Brzóska MM, Majewska K, Moniuszko-Jakoniuk J (2004) Mineral status and mechanical properties of lumbar spine of female rats chronically exposed to various levels of cadmium. Bone 34:517–526

    Article  PubMed  CAS  Google Scholar 

  • Brzóska MM, Majewska K, Moniuszko-Jakoniuk J (2005) Mechanical properties of femoral diaphysis and femoral neck of female rats chronically exposed to various levels of cadmium. Calcif Tissue Int 76:287–298

    Article  CAS  Google Scholar 

  • Burr DB (2002) The contribution of the organic matrix to bone’s material properties. Bone 31:8–11

    Article  CAS  PubMed  Google Scholar 

  • Chalkley SR, Richmond J, Barltrop D (1998) Measurement of vitamin D3 metabolites in smelter workers exposed to lead and cadmium. Occup Environ Med 55:446–452

    CAS  PubMed  Google Scholar 

  • Feldman S, Cointry G, Leite Duarte MK, Sarrió L, Ferretti J, Capozza RF (2004) Effects of hypophysectomy and recombinant human growth hormone on material and geometric properties and the pre- and post-yield behavior of femurs in young rats. Bone 34:203–215

    Article  CAS  PubMed  Google Scholar 

  • Follet H, Boivin G, Rumelhart C, Meunier PJ (2004) The degree of mineralization is a determinant of bone strength: a study on human calcanei. Bone 34:783–789

    CAS  PubMed  Article  Google Scholar 

  • Gałażyn-Sidorczuk M, Moniuszko-Jakoniuk J, Brzóska MM (2004) Cadmium concentration in the blood and urine of Białystok inhabitants. Pol J Environ Stud 13(Suppl 1):91–95

    Google Scholar 

  • Galicka A, Brzóska MM, Średzińska K, Gindzieński A (2004) Effect of cadmium on collagen content and solubility in rat bone. Acta Biochim Polon 51:831–837

    PubMed  Google Scholar 

  • Hunder G, Javdani J, Elsenhans B, Schumann K (2001) 109Cd accumulation in the calcified parts of rat bones. Toxicology 159:1–10

    Article  CAS  PubMed  Google Scholar 

  • Iguchi H, Sano S (1982) Effect of cadmium on the bone collagen metabolism of rat. Toxicol Appl Pharmacol 62:126–136

    Article  CAS  PubMed  Google Scholar 

  • Järup L, Alfvén T, Persson B, Toss G, Elinder CG (1998) Cadmium may be a risk factor for osteoporosis. Occup Environ Med 55:435–439

    PubMed  Article  Google Scholar 

  • Jin T, Nordberg G, Ye T, Bo M, Wang H, Zhu G, Kong Q, Bernard A (2004) Osteoporosis and renal dysfunction in a general population exposed to cadmium in China. Environ Res 96:353–359

    Article  CAS  PubMed  Google Scholar 

  • Kjellström T (1992) Mechanism and epidemiology of bone effects of cadmium. IARC Sci Publ 18:301–310

    Google Scholar 

  • Nordberg G, Jin T, Bernard A, Fierens S, Buchet JP, Ye T, Kong Q, Wang H (2002) Low bone density and renal dysfunction following environmental cadmium exposure in China. Ambio 31:478–481

    PubMed  Article  Google Scholar 

  • Oegema TR Jr, Laidlaw J, Hascall VC, Dziewiatkowski D (1975) The effect of proteoglycans on the formation of fibrils from collagen solutions. Arch Biochem Biophys 70:698–709

    Article  Google Scholar 

  • Ogoshi K, Moriyama T, Nanzai Y (1989) Decrease in the mechanical strength of bones of rats administered cadmium. Arch Toxicol 63:320–324

    Article  CAS  PubMed  Google Scholar 

  • Ogoshi K, Nanzai Y, Moriyama T (1992) Decrease in bone strength of cadmium-treated young and old rats. Arch Toxicol 66:315–320

    CAS  PubMed  Article  Google Scholar 

  • Ohta H, Yamauchi Y, Nakakita M, Tanaka H, Asami S, Seki Y, Yoshikawa H (2000) Relationship between renal dysfunction and bone metabolism disorder in male rats after long-term oral quantitative cadmium administration. Ind Health 38:339–355

    CAS  PubMed  Google Scholar 

  • Olsson I-M, Bensryd I, Lundh T, Ottosson H, Skerfving S, Oskarsson A (2002) Cadmium in blood and urine—impact of sex, age, dietary intake, iron status, and former smoking—association of renal effects. Environ Health Perspect 110:1185–1190

    CAS  PubMed  Google Scholar 

  • Oxlund H, Barckman M, Ørtoft G, Andreassen TT (1995) Reduced concentrations of collagen cross-links are associated with reduced strength of bone. Bone 17(Suppl):365S–371S

    CAS  PubMed  Google Scholar 

  • Oxlund H, Mosekilde L, Ørtoft G (1996) Reduced concentration of collagen reducible cross links in human trabecular bone with respect to age and osteoporosis. Bone 19:479–484

    Article  CAS  PubMed  Google Scholar 

  • Qu JB, Xin XF, Li SX, Ikeda M (1993) Blood lead and cadmium in a general population in Jinan City, China. Int Arch Occup Environ Health 65:S201–S204

    Article  CAS  PubMed  Google Scholar 

  • Rees SG, Shellis P, Embery G (2002) Inhibition of hydroxyapatite crystal growth by bone proteoglycan components. Biochem Biophys Res Commun 92:727–733

    Article  CAS  Google Scholar 

  • Satarug S, Baker JR, Urbenjapol S, Haswell-Elkins M, Reilly PE, Williams DJ, Moore MR (2003) A global perspective on cadmium pollution and toxicity in non-occupationally exposed population. Toxicol Lett 137:65–83

    Article  CAS  PubMed  Google Scholar 

  • Średzińska K, Galicka A, Brzóska MM, Gindzieński A (2004) Effect of cadmium on glycosaminoglycans in the bone of rats. Bull Environ Contam Toxicol 73:437–442

    PubMed  Google Scholar 

  • Staessen JA, Roels HA, Emelianov D, Kuznetsova T, Thijs L, Vangronsveld J, Fagard R (1999) Environmental exposure to cadmium, forearm bone density, and risk of fractures: prospective population study. Lancet 353:1140–1144

    Article  CAS  PubMed  Google Scholar 

  • Uriu K, Morimoto I, Kai K, Okazaki Y, Okada Y, Qie YL, Okimoto N, Kaizu K, Nakamura T, Eto S (2000) Uncoupling between bone formation and resorption in ovariectomized rats with chronic cadmium exposure. Toxicol Appl Pharmacol 164:264–272

    Article  CAS  PubMed  Google Scholar 

  • Wang H, Zhu G, Shi Y, Wenig S, Jin T, Kong Q, Nordberg GF (2003) Influence of environmental cadmium exposure on forearm bone density. J Bone Miner Res 18:553–560

    CAS  PubMed  Article  Google Scholar 

  • WHO (World Health Organization) (1992) Environmental Health Criteria 134. Cadmium. International Programme on Chemical Safety (IPCS), WHO, Geneva

  • Zioupos P, Currey JD (1998) Changes in the stiffness, strength and toughness of human cortical bone with age. Bone 22:57–66

    Article  CAS  PubMed  Google Scholar 

Download references

Acknowledgements

The present study was supported by the Grant (No. 6PO5D 093 20) from the Committee for Scientific Research (KBN, Poland). The experiment complies with the current laws of Poland.

Author information

Affiliations

Authors

Corresponding author

Correspondence to Małgorzata M. Brzóska.

Additional information

The results were presented in part at the XII Congress of the Polish Osteoarthrology Society and Polish Foundation of Osteoporosis, Cracow, Poland, 9–11 October 2003, with the abstract published in Osteoporosis International, 2003, 14(Suppl 6):2.

An erratum to this article can be found at http://dx.doi.org/10.1007/s00204-006-0158-1

Rights and permissions

Reprints and Permissions

About this article

Cite this article

Brzóska, M.M., Majewska, K. & Moniuszko-Jakoniuk, J. Weakness in the mechanical properties of the femurs of growing female rats exposed to cadmium. Arch Toxicol 79, 519–530 (2005). https://doi.org/10.1007/s00204-005-0659-3

Download citation

  • Received:

  • Accepted:

  • Published:

  • Issue Date:

  • DOI: https://doi.org/10.1007/s00204-005-0659-3

Keywords

  • Cadmium
  • Bone mineral density
  • Biomechanical testing
  • Femur
  • Rats