Abstract
Summary
Several therapies are available for osteoporis. Understanding the bone turnover changes and their mutual realtionship gives an overall view and might lead to a target therapy
Introduction
The aim of this study is to compare the changes in bone turnover markers in patients treated with either denosumab alone, teriparatide (TPTD) alone, or in a third therapeutic scheme, when TPTD was added to patients previously treated with denosumab.
Methods
Fifty-nine women over 65 years old with severe postmenopausal osteoporosis (evidence of at least two moderate-severe vertebral fractures) were enrolled in the study. Serum samples were collected every 3 months. They were assayed for intact N-propeptide of type I collagen (P1NP), C-terminal telopeptide of type I collagen (CTX), intact parathyroid hormone (PTH), 25 hydroxy-vitamin D (25 OHD), Sclerostin (SOST), and Dickkopf-related protein 1 (DKK1). Bone mass density was assessed by dual-energy X-ray absorptiometry at the lumbar spine and at the total hip.
Results
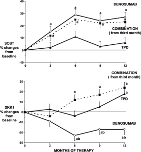
In the groups treated only with TPTD or with denosumab, bone turnover markers increased and decreased, respectively. In TPTD group, a later significant increase in DKK1 was observed, while in denosumab group, a progressive increase in SOST was associated with a progressive significant decrease in DKK1.
In the group treated first with denosumab and in which TPTD was added 3 months later, both CTX and P1NP increased 3 months after the beginning of TPTD. The strong effect of denosumab on bone turnover seems to be reversed by TPTD treatment.
Conclusions
In this study, we showed that TPTD is able to express its biological activity even when bone turnover is fully suppressed by denosumab treatment. The combination therapy is associated with significant increases in both DKK1 and SOST.


References
Kanis JA, McCloskey EV, Johansson H et al (2013) European guidance for the diagnosis and management of osteoporosis in postmenopausal women. Osteoporos Int J Establ Result Coop Eur Found Osteoporos Natl Osteoporos Found USA 24:23–57. doi:10.1007/s00198-012-2074-y
Lacey DL, Timms E, Tan HL et al (1998) Osteoprotegerin ligand is a cytokine that regulates osteoclast differentiation and activation. Cell 93:165–176
Fisher JE, Rodan GA, Reszka AA (2000) In vivo effects of bisphosphonates on the osteoclast mevalonate pathway. Endocrinology 141:4793–4796. doi:10.1210/endo.141.12.7921
Cosman F, Nieves JW, Zion M et al (2008) Effect of prior and ongoing raloxifene therapy on response to PTH and maintenance of BMD after PTH therapy. Osteoporos Int J Establ Result Coop Eur Found Osteoporos Natl Osteoporos Found USA 19:529–535. doi:10.1007/s00198-007-0475-0
Jiang Y, Zhao JJ, Mitlak BH et al (2003) Recombinant human parathyroid hormone (1-34) [teriparatide] improves both cortical and cancellous bone structure. J Bone Miner Res Off J Am Soc Bone Miner Res 18:1932–1941. doi:10.1359/jbmr.2003.18.11.1932
Ma YL, Zeng Q, Donley DW et al (2006) Teriparatide increases bone formation in modeling and remodeling osteons and enhances IGF-II immunoreactivity in postmenopausal women with osteoporosis. J Bone Miner Res Off J Am Soc Bone Miner Res 21:855–864. doi:10.1359/jbmr.060314
Dempster DW, Cosman F, Kurland ES et al (2001) Effects of daily treatment with parathyroid hormone on bone microarchitecture and turnover in patients with osteoporosis: a paired biopsy study. J Bone Miner Res Off J Am Soc Bone Miner Res 16:1846–1853. doi:10.1359/jbmr.2001.16.10.1846
Keaveny TM, Donley DW, Hoffmann PF et al (2007) Effects of teriparatide and alendronate on vertebral strength as assessed by finite element modeling of QCT scans in women with osteoporosis. J Bone Miner Res Off J Am Soc Bone Miner Res 22:149–157. doi:10.1359/jbmr.061011
Gatti D, Viapiana O, Idolazzi L et al (2011) The waning of teriparatide effect on bone formation markers in postmenopausal osteoporosis is associated with increasing serum levels of DKK1. J Clin Endocrinol Metab 96:1555–1559. doi:10.1210/jc.2010-2552
Ettinger B, San Martin J, Crans G, Pavo I (2004) Differential effects of teriparatide on BMD after treatment with raloxifene or alendronate. J Bone Miner Res Off J Am Soc Bone Miner Res 19:745–751. doi:10.1359/JBMR.040117
Cosman F, Nieves J, Zion M et al (2005) Daily and cyclic parathyroid hormone in women receiving alendronate. N Engl J Med 353:566–575. doi:10.1056/NEJMoa050157
Boonen S, Marin F, Obermayer-Pietsch B et al (2008) Effects of previous antiresorptive therapy on the bone mineral density response to two years of teriparatide treatment in postmenopausal women with osteoporosis. J Clin Endocrinol Metab 93:852–860. doi:10.1210/jc.2007-0711
Miller PD, Delmas PD, Lindsay R et al (2008) Early responsiveness of women with osteoporosis to teriparatide after therapy with alendronate or risedronate. J Clin Endocrinol Metab 93:3785–3793. doi:10.1210/jc.2008-0353
Cosman F, Wermers RA, Recknor C et al (2009) Effects of teriparatide in postmenopausal women with osteoporosis on prior alendronate or raloxifene: differences between stopping and continuing the antiresorptive agent. J Clin Endocrinol Metab 94:3772–3780. doi:10.1210/jc.2008-2719
Cosman F, Eriksen EF, Recknor C et al (2011) Effects of intravenous zoledronic acid plus subcutaneous teriparatide [rhPTH(1-34)] in postmenopausal osteoporosis. J Bone Miner Res Off J Am Soc Bone Miner Res 26:503–511. doi:10.1002/jbmr.238
Tsai JN, Uihlein AV, Lee H et al (2013) Teriparatide and denosumab, alone or combined, in women with postmenopausal osteoporosis: the DATA study randomised trial. Lancet Lond Engl 382:50–56. doi:10.1016/S0140-6736(13)60856-9
Leder BZ, Tsai JN, Uihlein AV et al (2014) Two years of Denosumab and teriparatide administration in postmenopausal women with osteoporosis (The DATA Extension Study): a randomized controlled trial. J Clin Endocrinol Metab 99:1694–1700. doi:10.1210/jc.2013-4440
Rossini M, Gatti D, Adami S (2013) Involvement of WNT/β-catenin signaling in the treatment of osteoporosis. Calcif Tissue Int 93:121–132. doi:10.1007/s00223-013-9749-z
Baron R, Rawadi G (2007) Targeting the Wnt/beta-catenin pathway to regulate bone formation in the adult skeleton. Endocrinology 148:2635–2643. doi:10.1210/en.2007-0270
Ott SM (2005) Sclerostin and Wnt signaling—the pathway to bone strength. J Clin Endocrinol Metab 90:6741–6743. doi:10.1210/jc.2005-2370
Gatti D, Viapiana O, Fracassi E et al (2012) Sclerostin and DKK1 in postmenopausal osteoporosis treated with denosumab. J Bone Miner Res Off J Am Soc Bone Miner Res 27:2259–2263. doi:10.1002/jbmr.1681
Genant HK, Wu CY, van Kuijk C, Nevitt MC (1993) Vertebral fracture assessment using a semiquantitative technique. J Bone Miner Res Off J Am Soc Bone Miner Res 8:1137–1148. doi:10.1002/jbmr.5650080915
Zanchetta JR, Bogado CE, Ferretti JL et al (2003) Effects of teriparatide [recombinant human parathyroid hormone (1-34)] on cortical bone in postmenopausal women with osteoporosis. J Bone Miner Res Off J Am Soc Bone Miner Res 18:539–543. doi:10.1359/jbmr.2003.18.3.539
Cosman F, Dempster DW, Nieves JW et al (2016) Effect of teriparatide on bone formation in the human femoral neck. J Clin Endocrinol Metab 101:1498–1505. doi:10.1210/jc.2015-3698
Dempster DW, Zhou H, Recker RR et al (2016) Differential effects of teriparatide and denosumab on intact PTH and bone formation indices: AVA osteoporosis study. J Clin Endocrinol Metab 101:1353–1363. doi:10.1210/jc.2015-4181
Garnero P, Sornay-Rendu E, Claustrat B, Delmas PD (2000) Biochemical markers of bone turnover, endogenous hormones and the risk of fractures in postmenopausal women: the OFELY study. J Bone Miner Res Off J Am Soc Bone Miner Res 15:1526–1536. doi:10.1359/jbmr.2000.15.8.1526
Ivaska KK, Lenora J, Gerdhem P et al (2008) Serial assessment of serum bone metabolism markers identifies women with the highest rate of bone loss and osteoporosis risk. J Clin Endocrinol Metab 93:2622–2632. doi:10.1210/jc.2007-1508
Gatti D, Viapiana O, Adami S et al (2012) Bisphosphonate treatment of postmenopausal osteoporosis is associated with a dose dependent increase in serum sclerostin. Bone 50:739–742. doi:10.1016/j.bone.2011.11.028
Glass DA, Karsenty G (2006) Canonical Wnt signaling in osteoblasts is required for osteoclast differentiation. Ann N Y Acad Sci 1068:117–130. doi:10.1196/annals.1346.015
Glass DA, Bialek P, Ahn JD et al (2005) Canonical Wnt signaling in differentiated osteoblasts controls osteoclast differentiation. Dev Cell 8:751–764. doi:10.1016/j.devcel.2005.02.017
Wijenayaka AR, Kogawa M, Lim HP et al (2011) Sclerostin stimulates osteocyte support of osteoclast activity by a RANKL-dependent pathway. PLoS One 6:e25900. doi:10.1371/journal.pone.0025900
Spencer GJ, Utting JC, Etheridge SL et al (2006) Wnt signalling in osteoblasts regulates expression of the receptor activator of NFkappaB ligand and inhibits osteoclastogenesis in vitro. J Cell Sci 119:1283–1296. doi:10.1242/jcs.02883
Fujita K, Janz S (2007) Attenuation of WNT signaling by DKK-1 and -2 regulates BMP2-induced osteoblast differentiation and expression of OPG, RANKL and M-CSF. Mol Cancer 6:71. doi:10.1186/1476-4598-6-71
Acknowledgments
We thank Caterina Fraccarollo and Cristina Bosco for the ELISA assays.
Author information
Authors and Affiliations
Corresponding author
Ethics declarations
Conflicts of interest
Luca Idolazzi has received speaking fees from Eli Lilly, UCB, Abbvie Davide Gatti has received speaking fees from Abiogen, Amgen, Eli-Lilly and Neopharmed-Gentili. Maurizio Rossini has received speaking and consulting fees from Abiogen, Amgen, Eli-Lilly and Merck Sharp & Dohme Corp. Silvano Adami has received consulting fees from Amgen, Merck Sharp & Dohme Corp., Eli-Lilly, Roche and Bristol-Myers Squibb. Ombretta Viapiana has received speaking fees from Abiogen, Amgen, Merck Sharp & Dohme Corp. Vania Braga, Angelo Fassio, Camilla Benini, and Vidya Kunnathully declare no conflict of interests.
Rights and permissions
About this article
Cite this article
Idolazzi, L., Rossini, M., Viapiana, O. et al. Teriparatide and denosumab combination therapy and skeletal metabolism. Osteoporos Int 27, 3301–3307 (2016). https://doi.org/10.1007/s00198-016-3647-y
Received:
Accepted:
Published:
Issue Date:
DOI: https://doi.org/10.1007/s00198-016-3647-y