Skip to main content

Association between serum uric acid and lumbar spine bone mineral density in peri- and postmenopausal Japanese women

Abstract

Summary

Previous studies on the association between uric acid and bone mineral density yielded conflicting results. In this study, we demonstrated positive association between uric acid and lumbar spine bone mineral density in peri- and postmenopausal Japanese women. Further research is needed to elucidate the underlying mechanism.

Introduction

Oxidative stress has been implicated in the pathogenesis of osteoporosis. Uric acid, a potent antioxidant substance, has been associated with bone mineral density but previous studies have yielded conflicting results. The objective of the study was to examine the association between serum uric acid and lumbar spine bone mineral density (BMD).

Methods

This was a retrospective analysis of medical records of 615 women, aged 45–75 years, who had lumbar spine BMD measurement by dual-energy X-ray absorptiometry as a part of health checkup from August 2011 to July 2012.

Results

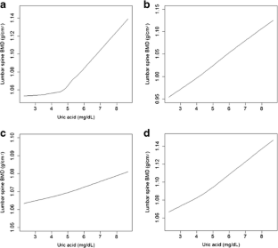
Mean serum uric acid level was 4.7 mg/dL. Serum uric acid level was positively and significantly associated with lumbar spine BMD independent of age, body mass index, smoking, drinking, physical activity, years after menopause, diabetes mellitus, hypertension, serum calcium, estimated glomerular filtration rate, plasma C-reactive protein, and serum alkaline phosphatase (standardized beta = 0.078, p = 0.049). Uric acid rapidly increased until the age of 60 years, and then decelerated but continued to increase thereafter. The association between lumbar spine BMD and uric acid remained significantly positive after excluding women older than 60 years.

Conclusion

The present study showed that higher uric acid levels were linearly associated with higher lumbar spine BMD in peri- and postmenopausal Japanese women. Further research is needed to elucidate the underlying mechanism of the association between uric acid and BMD.

This is a preview of subscription content, access via your institution.

Fig. 1
Fig. 2

References

  1. Manolagas SC (2010) From estrogen-centric to aging and oxidative stress: a revised perspective of the pathogenesis of osteoporosis. Endocr Rev 31:266–300

    CAS  PubMed  Article  Google Scholar 

  2. Manolagas SC, Almeida M (2007) Gone with the Wnts: beta-catenin, T-cell factor, forkhead box O, and oxidative stress in age-dependent diseases of bone, lipid, and glucose metabolism. Mol Endocrinol 21:2605–2614, Baltimore, Md

    CAS  PubMed  Article  Google Scholar 

  3. Kuyumcu ME, Yesil Y, Ozturk ZA, Cinar E, Kizilarslanoglu C, Halil M, Ulger Z, Yesil NK, Cankurtaran M, Ariogul S (2012) The association between homocysteine (hcy) and serum natural antioxidants in elderly bone mineral densitometry (BMD). Arch Gerontol Geriatr 55:739–743

    CAS  PubMed  Article  Google Scholar 

  4. Maggio D, Barabani M, Pierandrei M, Polidori MC, Catani M, Mecocci P, Senin U, Pacifici R, Cherubini A (2003) Marked decrease in plasma antioxidants in aged osteoporotic women: results of a cross-sectional study. J Clin Endocrinol Metab 88:1523–1527

    CAS  PubMed  Article  Google Scholar 

  5. Sugiura M, Nakamura M, Ogawa K, Ikoma Y, Ando F, Yano M (2008) Bone mineral density in post-menopausal female subjects is associated with serum antioxidant carotenoids. Osteoporos Int 19:211–219

    CAS  PubMed  Article  Google Scholar 

  6. Sendur OF, Turan Y, Tastaban E, Serter M (2009) Antioxidant status in patients with osteoporosis: a controlled study. Joint, bone, spine 76:514–518

    CAS  PubMed  Article  Google Scholar 

  7. Sahni S, Hannan MT, Blumberg J, Cupples LA, Kiel DP, Tucker KL (2009) Protective effect of total carotenoid and lycopene intake on the risk of hip fracture: a 17-year follow-up from the Framingham Osteoporosis Study. J Bone Miner Res 24:1086–1094

    CAS  PubMed  Article  Google Scholar 

  8. Sanchez-Rodriguez MA, Ruiz-Ramos M, Correa-Munoz E, Mendoza-Nunez VM (2007) Oxidative stress as a risk factor for osteoporosis in elderly Mexicans as characterized by antioxidant enzymes. BMC Musculoskelet Disord 8:124

    PubMed Central  PubMed  Article  Google Scholar 

  9. Sahni S, Hannan MT, Gagnon D, Blumberg J, Cupples LA, Kiel DP, Tucker KL (2009) Protective effect of total and supplemental vitamin C intake on the risk of hip fracture—a 17-year follow-up from the Framingham Osteoporosis Study. Osteoporos Int 20:1853–1861

    CAS  PubMed Central  PubMed  Article  Google Scholar 

  10. Sahni S, Hannan MT, Gagnon D, Blumberg J, Cupples LA, Kiel DP, Tucker KL (2008) High vitamin C intake is associated with lower 4-year bone loss in elderly men. J Nutr 138:1931–1938

    CAS  PubMed Central  PubMed  Google Scholar 

  11. Ostman B, Michaelsson K, Helmersson J, Byberg L, Gedeborg R, Melhus H, Basu S (2009) Oxidative stress and bone mineral density in elderly men: antioxidant activity of alpha-tocopherol. Free Radical Biol Med 47:668–673

    Article  Google Scholar 

  12. Basu S, Michaelsson K, Olofsson H, Johansson S, Melhus H (2001) Association between oxidative stress and bone mineral density. Biochem Biophys Res Commun 288:275–279

    CAS  PubMed  Article  Google Scholar 

  13. Ames BN, Cathcart R, Schwiers E, Hochstein P (1981) Uric acid provides an antioxidant defense in humans against oxidant- and radical-caused aging and cancer: a hypothesis. Proc Natl Acad Sci U S A 78:6858–6862

    CAS  PubMed Central  PubMed  Article  Google Scholar 

  14. Nabipour I, Sambrook PN, Blyth FM, Janu MR, Waite LM, Naganathan V, Handelsman DJ, Le Couteur DG, Cumming RG, Seibel MJ (2011) Serum uric acid is associated with bone health in older men: a cross-sectional population-based study. J Bone Miner Res 26:955–964

    CAS  PubMed  Article  Google Scholar 

  15. Ahn SH, Lee SH, Kim BJ, Lim KH, Bae SJ, Kim EH, Kim HK, Choe JW, Koh JM, Kim GS (2013) Higher serum uric acid is associated with higher bone mass, lower bone turnover, and lower prevalence of vertebral fracture in healthy postmenopausal women. Osteoporos Int 24(12):2961–2970

    CAS  PubMed  Article  Google Scholar 

  16. Makovey J, Macara M, Chen JS, Hayward CS, March L, Seibel MJ, Sambrook PN (2013) Serum uric acid plays a protective role for bone loss in peri- and postmenopausal women: a longitudinal study. Bone 52:400–406

    CAS  PubMed  Article  Google Scholar 

  17. Chen JH, Chuang SY, Chen HJ, Yeh WT, Pan WH (2009) Serum uric acid level as an independent risk factor for all-cause, cardiovascular, and ischemic stroke mortality: a Chinese cohort study. Arthritis Rheum 61:225–232

    CAS  PubMed  Article  Google Scholar 

  18. Kim SY, Guevara JP, Kim KM, Choi HK, Heitjan DF, Albert DA (2010) Hyperuricemia and coronary heart disease: a systematic review and meta-analysis. Arthritis Care Res 62:170–180

    Google Scholar 

  19. Aviram M (2000) Review of human studies on oxidative damage and antioxidant protection related to cardiovascular diseases. Free Radical Res 33(Suppl):S85–S97

    CAS  Google Scholar 

  20. Rocha M, Apostolova N, Hernandez-Mijares A, Herance R, Victor VM (2010) Oxidative stress and endothelial dysfunction in cardiovascular disease: mitochondria-targeted therapeutics. Curr Med Chem 17:3827–3841

    CAS  PubMed  Article  Google Scholar 

  21. Bagnati M, Perugini C, Cau C, Bordone R, Albano E, Bellomo G (1999) When and why a water-soluble antioxidant becomes pro-oxidant during copper-induced low-density lipoprotein oxidation: a study using uric acid. Biochem J 340(Pt 1):143–152

    CAS  PubMed  Article  Google Scholar 

  22. Patterson RA, Horsley ET, Leake DS (2003) Prooxidant and antioxidant properties of human serum ultrafiltrates toward LDL: important role of uric acid. J Lipid Res 44:512–521

    CAS  PubMed  Article  Google Scholar 

  23. Lippi G, Montagnana M, Franchini M, Favaloro EJ, Targher G (2008) The paradoxical relationship between serum uric acid and cardiovascular disease. Clin Chim Acta 392:1–7

    CAS  PubMed  Article  Google Scholar 

  24. Sritara C, Ongphiphadhanakul B, Chailurkit L, Yamwong S, Ratanachaiwong W, Sritara P (2012) Serum uric acid levels in relation to bone-related phenotypes in men and women. J Clin Densitom 16(3):336–340

    PubMed  Article  Google Scholar 

  25. Yahyaoui R, Esteva I, Haro-Mora JJ et al (2008) Effect of long-term administration of cross-sex hormone therapy on serum and urinary uric acid in transsexual persons. J Clin Endocrinol Metab 93:2230–2233

    CAS  PubMed  Article  Google Scholar 

  26. Galliford TM, Murphy E, Williams AJ, Bassett JH, Williams GR (2005) Effects of thyroid status on bone metabolism: a primary role for thyroid stimulating hormone or thyroid hormone? Minerva Endocrinol 30:237–246

    CAS  PubMed  Google Scholar 

  27. Ando Y, Ito S, Uemura O, Kato T, Kimura G, Nakao T, Hattori M, Fukagawa M, Horio M, Mitarai T (2009) CKD clinical practice guidebook. The essence of treatment for CKD patients. Clin Exp Nephrol 13:191–248

    PubMed  Article  Google Scholar 

  28. Hastie T, Tibshirani R (1995) Generalized additive models for medical research. Stat Methods Med Res 4:187–196

    CAS  PubMed  Article  Google Scholar 

  29. Siris ES, Miller PD, Barrett-Connor E, Faulkner KG, Wehren LE, Abbott TA, Berger ML, Santora AC, Sherwood LM (2001) Identification and fracture outcomes of undiagnosed low bone mineral density in postmenopausal women: results from the National Osteoporosis Risk Assessment. Jama 286:2815–2822

    CAS  PubMed  Article  Google Scholar 

  30. Waugh EJ, Lam MA, Hawker GA, McGowan J, Papaioannou A, Cheung AM, Hodsman AB, Leslie WD, Siminoski K, Jamal SA (2009) Risk factors for low bone mass in healthy 40–60 year old women: a systematic review of the literature. Osteoporos Int 20:1–21

    CAS  PubMed  Article  Google Scholar 

  31. Schwartz AV, Vittinghoff E, Bauer DC et al (2011) Association of BMD and FRAX score with risk of fracture in older adults with type 2 diabetes. Jama 305:2184–2192

    CAS  PubMed Central  PubMed  Article  Google Scholar 

  32. Ishii S, Cauley JA, Greendale GA, Crandall CJ, Danielson ME, Ouchi Y, Karlamangla AS (2013) C-reactive protein, bone strength, and 9-year fracture risk: data from the Study of Women’s Health Across the Nation (SWAN). J Bone Miner Res 28(7):1688–1698

    CAS  PubMed  Article  Google Scholar 

  33. Varenna M, Manara M, Galli L, Binelli L, Zucchi F, Sinigaglia L (2013) The association between osteoporosis and hypertension: the role of a low dairy intake. Calcif Tissue Int 93(1):86–92

    CAS  PubMed  Article  Google Scholar 

  34. Hulth AG, Nilsson BE, Westlin NE, Wiklund PE (1979) Alkaline phosphatase in women with osteoporosis. Acta Med Scand 206:201–203

    CAS  PubMed  Article  Google Scholar 

  35. Miller PD (2009) Diagnosis and treatment of osteoporosis in chronic renal disease. Semin Nephrol 29:144–155

    CAS  PubMed  Article  Google Scholar 

  36. Graham JW (2009) Missing data analysis: making it work in the real world. Annu Rev Psychol 60:549–576

    PubMed  Article  Google Scholar 

  37. Greendale GA, Sowers M, Han W, Huang MH, Finkelstein JS, Crandall CJ, Lee JS, Karlamangla AS (2012) Bone mineral density loss in relation to the final menstrual period in a multiethnic cohort: results from the Study of Women’s Health Across the Nation (SWAN). J Bone Miner Res 27:111–118

    PubMed Central  PubMed  Article  Google Scholar 

  38. Stockl D, Doring A, Thorand B, Heier M, Belcredi P, Meisinger C (2012) Reproductive factors and serum uric acid levels in females from the general population: the KORA F4 study. PloS one 7:e32668

    PubMed Central  PubMed  Article  Google Scholar 

  39. Hak AE, Choi HK (2008) Menopause, postmenopausal hormone use and serum uric acid levels in US women—the Third National Health and Nutrition Examination Survey. Arthritis Res Ther 10:R116

    PubMed Central  PubMed  Article  Google Scholar 

  40. Marugame T, Kamo K, Sobue T, Akiba S, Mizuno S, Satoh H, Suzuki T, Tajima K, Tamakoshi A, Tsugane S (2006) Trends in smoking by birth cohorts born between 1900 and 1977 in Japan. Prev Med 42:120–127

    PubMed  Article  Google Scholar 

  41. Neville SE, Boye KS, Montgomery WS, Iwamoto K, Okamura M, Hayes RP (2009) Diabetes in Japan: a review of disease burden and approaches to treatment. Diabetes Metab Res Rev 25:705–716

    PubMed  Article  Google Scholar 

  42. Sekikawa A, Hayakawa T (2004) Prevalence of hypertension, its awareness and control in adult population in Japan. J Hum Hypertens 18:911–912

    CAS  PubMed Central  PubMed  Article  Google Scholar 

Download references

Acknowledgments

The authors wish to thank the staff members and patients of the Center for Health Check-up and Preventive Medicine in Kanto Central Hospital.

Conflicts of interest

None.

Author information

Affiliations

Authors

Corresponding author

Correspondence to S. Ishii.

Rights and permissions

Reprints and Permissions

About this article

Cite this article

Ishii, S., Miyao, M., Mizuno, Y. et al. Association between serum uric acid and lumbar spine bone mineral density in peri- and postmenopausal Japanese women. Osteoporos Int 25, 1099–1105 (2014). https://doi.org/10.1007/s00198-013-2571-7

Download citation

  • Received:

  • Accepted:

  • Published:

  • Issue Date:

  • DOI: https://doi.org/10.1007/s00198-013-2571-7

Keywords

  • Bone mineral density
  • Menopause
  • Osteoporosis
  • Uric acid