Skip to main content

Changes in first hip fracture rates in British Columbia Canada, 1990–2004

Abstract

Summary

We determined age-standardized first hip fracture rates in British Columbia between 1990 and 2004. We found sex and fracture type rates in keeping with previous reports and that fracture rates have decreased approximately 18% overall in both men and women.

Introduction

To determine whether there have been changes in the age-, sex-, and subtype-specific first hip fracture rates in Canadian province of British Columbia (BC) between 1990 and 2004.

Methods

Records of all persons aged 60 years and older hospitalized with hip fractures in BC between 1985 and 2004 were obtained from the Canadian Institute for Health Information Discharge Abstract Database. Only the first hip fracture records were included, and fractures likely due to causes other than trauma were excluded. Age- and sex-specific rates were calculated using population denominators from Statistics Canada and direct standardization was used. Age-standardized rates allowed for comparison across years with adjustment for age distribution.

Results

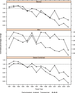
There were 41,990 records of first hip fracture included, and 73% were in women. Trends in age-specific rates by fracture type were similar to previous reports. Between 1990 and 2004, there has been an age-adjusted 18% decrease in first hip fracture rates in women, and 19% decrease in first hip fracture rates in men. The decrease was statistically significant in femoral neck fractures in women, but not in men.

Conclusions

There has been a decrease in age-adjusted hip fracture rates in BC between 1990 and 2004, which is in contrast to previous projections for hip fracture rates in Canada.

This is a preview of subscription content, access via your institution.

Fig. 1
Fig. 2

References

  1. Chrischilles E, Shireman T, Wallace R (1994) Costs and health effects of osteoporotic fractures. Bone 15:377–386

    PubMed  Article  CAS  Google Scholar 

  2. Lorrain J, Paiement G, Chevrier N, Lalumiere G, Laflamme GH, Caron P, Fillion A (2003) Population demographics and socioeconomic impact of osteoporotic fractures in Canada. Menopause 10:228–234

    PubMed  Article  Google Scholar 

  3. Randell AG, Nguyen TV, Bhalerao N, Silverman SL, Sambrook PN, Eisman JA (2000) Deterioration in quality of life following hip fracture: a prospective study. Osteoporos Int 11:460–466

    PubMed  Article  CAS  Google Scholar 

  4. Papadimitropoulos EA, Coyte PC, Josse RG, Greenwood CE (1997) Current and projected rates of hip fracture in Canada. CMAJ 157:1357–1363

    PubMed  CAS  Google Scholar 

  5. Jaglal SB, Sherry PG, Schatzker J (1996) The impact and consequences of hip fracture in Ontario. Can J Surg 39:105–111

    PubMed  CAS  Google Scholar 

  6. Gullberg B, Johnell O, Kanis JA (1997) World-wide projections for hip fracture. Osteoporos Int 7:407–413

    PubMed  Article  CAS  Google Scholar 

  7. Kannus P, Parkkari J, Sievanen H, Heinonen A, Vuori I, Jarvinen M (1996) Epidemiology of hip fractures. Bone 18:57S–63S

    PubMed  Article  CAS  Google Scholar 

  8. Levy AR, Mayo NE, Grimard G (1995) Rates of transcervical and pertrochanteric hip fractures in the province of Quebec, Canada, 1981–1992. Am J Epidemiol 142:428–436

    PubMed  CAS  Google Scholar 

  9. Lofman O, Berglund K, Larsson L, Toss G (2002) Changes in hip fracture epidemiology: redistribution between ages, genders and fracture types. Osteoporos Int 13:18–25

    PubMed  Article  CAS  Google Scholar 

  10. Levy AR, Mayo NE, Grimard G (1996) Re: “Heterogeneity of hip fracture: age, race, sex, and geographic patterns of femoral neck and trochanteric fractures among the US elderly”. Am J Epidemiol 144:801–803

    PubMed  CAS  Google Scholar 

  11. Giversen IM (2006) Time trends of age-adjusted incidence rates of first hip fractures: a register-based study among older people in Viborg County, Denmark, 1987–1997. Osteoporos Int 17:552–564

    PubMed  Article  CAS  Google Scholar 

  12. Kannus P, Niemi S, Parkkari J, Palvanen M, Vuori I, Jarvinen M (1999) Hip fractures in Finland between 1970 and 1997 and predictions for the future. Lancet 353:802–805

    PubMed  Article  CAS  Google Scholar 

  13. Spector TD, Cooper C, Lewis AF (1990) Trends in admissions for hip fracture in England and Wales, 1968–85. BMJ 300:1173–1174

    PubMed  Article  CAS  Google Scholar 

  14. Hedlund R, Lindgren U, Ahlbom A (1987) Age- and sex-specific incidence of femoral neck and trochanteric fractures. An analysis based on 20,538 fractures in Stockholm County, Sweden, 1972–1981. Clin Orthop Relat Res 132–139

  15. Black DM, Cummings SR, Karpf DB, Cauley JA, Thompson DE, Nevitt MC, Bauer DC, Genant HK, Haskell WL, Marcus R, Ott SM, Torner JC, Quandt SA, Reiss TF, Ensrud KE (1996) Randomised trial of effect of alendronate on risk of fracture in women with existing vertebral fractures. Fracture intervention Trial research group. Lancet 348:1535–1541

    PubMed  Article  CAS  Google Scholar 

  16. Harris ST, Watts NB, Genant HK, McKeever CD, Hangartner T, Keller M, Chesnut CH 3rd, Brown J, Eriksen EF, Hoseyni MS, Axelrod DW, Miller PD (1999) Effects of risedronate treatment on vertebral and nonvertebral fractures in women with postmenopausal osteoporosis: a randomized controlled trial. Vertebral efficacy with risedronate therapy (VERT) study group. JAMA 282:1344–1352

    PubMed  Article  CAS  Google Scholar 

  17. Pols HA, Felsenberg D, Hanley DA, Stepan J, Munoz-Torres M, Wilkin TJ, Qin-sheng G, Galich AM, Vandormael K, Yates AJ, Stych B (1999) Multinational, placebo-controlled, randomized trial of the effects of alendronate on bone density and fracture risk in postmenopausal women with low bone mass: results of the FOSIT study. Fosamax international trial study group. Osteoporos Int 9:461–468

    PubMed  Article  CAS  Google Scholar 

  18. Reginster J, Minne HW, Sorensen OH, Hooper M, Roux C, Brandi ML, Lund B, Ethgen D, Pack S, Roumagnac I, Eastell R (2000) Randomized trial of the effects of risedronate on vertebral fractures in women with established postmenopausal osteoporosis. Vertebral efficacy with risedronate therapy (VERT) study group. Osteoporos Int 11:83–91

    PubMed  Article  CAS  Google Scholar 

  19. Cranney A, Tugwell P, Adachi J, Weaver B, Zytaruk N, Papaioannou A, Robinson V, Shea B, Wells G, Guyatt G (2002) Meta-analyses of therapies for postmenopausal osteoporosis: III. Meta-analysis of risedronate for the treatment of postmenopausal osteoporosis. Endocr Rev 23:517–523

    PubMed  Article  CAS  Google Scholar 

  20. Cranney A, Wells G, Willan A, Griffith L, Zytaruk N, Robinson V, Black D, Adachi J, Shea B, Tugwell P, Guyatt G (2002) Meta-analyses of therapies for postmenopausal osteoporosis: II. Meta-analysis of alendronate for the treatment of postmenopausal women. Endocr Rev 23:508–516

    PubMed  Article  CAS  Google Scholar 

  21. Jaglal SB, Weller I, Mamdani M, Hawker G, Kreder H, Jaakkimainen L, Adachi JD (2005) Population trends in BMD testing, treatment, and hip and wrist fracture rates: are the hip fracture projections wrong? J Bone Miner Res 20:898–905

    PubMed  Article  Google Scholar 

  22. Wallace LS, Ballard JE (2003) Osteoporosis coverage in selected women’s magazines and newspapers, 1998-2001. Am J Health Behav 27:75–83

    PubMed  Google Scholar 

  23. Fisher AA, O’Brien ED, Davis MW (2009) Trends in hip fracture epidemiology in Australia: possible impact of bisphosphonates and hormone replacement therapy. Bone 45:246–253

    PubMed  Article  CAS  Google Scholar 

  24. Kannus P, Niemi S, Parkkari J, Palvanen M, Vuori I, Jarvinen M (2006) Nationwide decline in incidence of hip fracture. J Bone Miner Res 21:1836–1838

    PubMed  Article  Google Scholar 

  25. Boonen S, Orwoll ES, Wenderoth D, Stoner KJ, Eusebio R, Delmas PD (2009) Once-weekly risedronate in men with osteoporosis: results of a 2-year, placebo-controlled, double-blind, multicenter study. J Bone Miner Res 24:719–725

    PubMed  Article  CAS  Google Scholar 

  26. Orwoll ES (2003) Men, bone and estrogen: unresolved issues. Osteoporos Int 14:93–98

    PubMed  CAS  Google Scholar 

  27. Sato Y, Iwamoto J, Kanoko T, Satoh K (2005) Risedronate sodium therapy for prevention of hip fracture in men 65 years or older after stroke. Arch Intern Med 165:1743–1748

    PubMed  Article  CAS  Google Scholar 

  28. Devold HM, Doung GM, Tverdal A, Furu K, Meyer HE, Falch JA, Sogaard AJ (2010) Prescription of anti-osteoporosis drugs during 2004–2007—a nationwide register study in Norway. Eur J Clin Pharmacol 66:299–306

    PubMed  Article  Google Scholar 

  29. Davis JC, Robertson MC, Ashe MC, Liu-Ambrose T, Khan KM, Marra CA (2010) International comparison of cost of falls in older adults living in the community: a systematic review. Osteoporos Int 21:1295–1306

    PubMed  Article  CAS  Google Scholar 

  30. Davis JC, Robertson MC, Ashe MC, Liu-Ambrose T, Khan KM, Marra CA (2010) Does a home-based strength and balance programme in people aged > or =80 years provide the best value for money to prevent falls? A systematic review of economic evaluations of falls prevention interventions. Br J Sports Med 44:80–89

    PubMed  Article  CAS  Google Scholar 

  31. Frick KD, Kung JY, Parrish JM, Narrett MJ (2010) Evaluating the cost-effectiveness of fall prevention programs that reduce fall-related hip fractures in older adults. J Am Geriatr Soc 58:136–141

    PubMed  Article  Google Scholar 

  32. Parker MJ, Gillespie WJ, Gillespie LD (2009) Hip protectors for preventing hip fractures in older people. Cochrane Bone, Joint and Muscle Trauma Group. Cochrane Database of Systematic Reviews

  33. Chamberlayne R, Green B, Barer ML, Hertzman C, Lawrence WJ, Sheps SB (1998) Creating a population-based linked health database: a new resource for health services research. Can J Public Health 89:270–273

    PubMed  CAS  Google Scholar 

  34. http://www.popdata.bc.ca/

  35. World Health Organization (1977) International classification of diseases. Manual of the international statistical classification of diseases, injuries, and causes of death. World Health Organization, Geneva

    Google Scholar 

  36. Statistics Canada Health Division (1986) Canadian classification of diagnostic, therapeutic, and surgical procedures. Supply and Services, Ottawa

    Google Scholar 

  37. http://www.cihi.ca/cihiweb/dispPage.jsp?cw_page=RC_64_E

  38. Statistics Canada (2007) Table 051-0001 Estimates of population, by age group and sex for July 1, Canada, provinces and territories, annual (persons), 1971 to 2007 (table). CANSIM (database). Using E-STAT (distributor)

  39. Prevention of Falls Network Europe, A review of hip fractures (neck of femur and trochanteric). http://www.profane.eu.org/eu_map/Hip_Fracture_Review.php (accessed July 23, 2009)

  40. World Health Organization, ICD 10 Classification http://www.cihi.ca/cihiweb/dispPage.jsp?cw_page=RC_64_E (accessed August 10 2010)

  41. Statistics Canada (2007) Population and Family Estimation Methods at Statistics Canada. Statistics Canada Catalogue no. 91-528-XIE. Ottawa, Ontario, Canada

  42. Fleiss JL (1973) Statistical methods for rates and proportions. Wiley, New York

    Google Scholar 

  43. Frome EL, Checkoway H (1985) Epidemiologic programs for computers and calculators. Use of Poisson regression models in estimating incidence rates and ratios. Am J Epidemiol 121:309–323

    PubMed  CAS  Google Scholar 

  44. Leslie WD, O’Donnell S, Jean S, Lagace C, Walsh P, Bancej C, Morin S, Hanley DA, Papaioannou A (2009) Trends in hip fracture rates in Canada. JAMA 302:883–889

    PubMed  Article  CAS  Google Scholar 

  45. Egan M, Jaglal S, Byrne K, Wells J, Stolee P (2008) Factors associated with a second hip fracture: a systematic review. Clin Rehabil 22:272–282

    PubMed  Article  Google Scholar 

  46. Ryg J, Rejnmark L, Overgaard S, Brixen K, Vestergaard P (2009) Hip fracture patients at risk of second hip fracture: a nationwide population-based cohort study of 169, 145 cases during 1977–2001. J Bone Miner Res 24:1299–1307

    PubMed  Article  Google Scholar 

  47. Government of British Columbia, http://www.health.gov.bc.ca/library/publications/year/2006/falls_report.pdf (Accessed Sep 17, 2009)

  48. Carter ND, Khan KM, McKay HA, Petit MA, Waterman C, Heinonen A, Janssen PA, Donaldson MG, Mallinson A, Riddell L, Kruse K, Prior JC, Flicker L (2002) Community-based exercise program reduces risk factors for falls in 65- to 75-year-old women with osteoporosis: randomized controlled trial. CMAJ 167:997–1004

    PubMed  Google Scholar 

  49. Langley J, Samaranayaka A, Davie G, Campbell AJ (2010) Age, cohort and period effects on hip fracture incidence: analysis and predictions from New Zealand data 1974–2007. Osteoporos Int

  50. Keating JF, Robinson CM, Court-Brown CM, McQueen MM, Christie J (1993) The effect of complications after hip fracture on rehabilitation. J Bone Jt Surg Br 75:976

    CAS  Google Scholar 

Download references

Acknowledgements

The authors acknowledge Rita Sobolevya for data management and Raman Johal for study coordination. The authors also thank the agencies that generously funded this work: AO North America Foundation, Orthopaedic Research and Education Foundation, Ruth Jackson Orthopaedic Society and Depuy Orthopaedics Inc.

Conflicts of interest

None.

Author information

Affiliations

Authors

Corresponding author

Correspondence to K. A. Lefaivre.

Rights and permissions

Reprints and Permissions

About this article

Cite this article

Lefaivre, K.A., Levy, A.R., Sobolev, B. et al. Changes in first hip fracture rates in British Columbia Canada, 1990–2004. Osteoporos Int 22, 2817–2827 (2011). https://doi.org/10.1007/s00198-010-1488-7

Download citation

  • Received:

  • Accepted:

  • Published:

  • Issue Date:

  • DOI: https://doi.org/10.1007/s00198-010-1488-7

Keywords

  • Hip fracture
  • Incidence
  • Osteoporosis
  • Population surveillance