Skip to main content

Homocysteine and fracture risk in postmenopausal women: the OFELY study

Abstract

Summary

Homocysteine has recently been described as an independent risk factor for osteoporotic fractures in the elderly. We prospectively followed 671 postmenopausal women belonging to the OFELY study, mean age 62 years, during a mean follow-up of 10 years. After adjustment for age, there was no significant relation between the plasma level of homocysteine and the subsequent risk of fracture.

Introduction

Plasma homocysteine increases with age. Recent studies have described homocysteine as an independent risk factor for osteoporotic fractures in elderly. We investigated the role of plasma homocysteine in the subsequent risk of fractures in healthy ambulatory postmenopausal women.

Methods

Homocysteine was measured at baseline in 671 postmenopausal women from the OFELY cohort (mean age 62.2 ± 9 years). Incident clinical fractures were recorded during annual follow-up and vertebral fractures were evaluated with radiographs every four years. A cox proportional hazards model based on time to first fracture was used to calculate hazard ratios for quartiles of homocysteine values.

Results

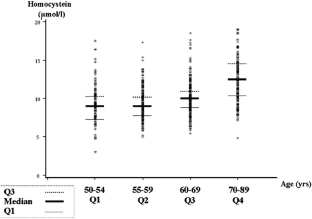
Mean homocysteine was 10.6 ± 3.4 μmol/l, increasing with age. After adjustment for age, homocysteine was significantly associated with physical activity, calcium intake, serum albumin and serum creatinine but not with bone turnover markers and bone mineral density. During a mean follow-up of 10 years, 183 fractures occurred among 134 women. After adjustment for age, the overall relative risk of fracture for each 1 SD increment of homocysteine was 1.03 (95%CI 0.87–1.31). Fracture risk was higher in women with homocysteine in the highest quartile without adjustment but no longer after adjustment for age.

Conclusions

Homocysteine is not an independent risk factor of osteoporotic fractures in healthy postmenopausal women from the OFELY cohort with a broad age range.

This is a preview of subscription content, access via your institution.

Fig. 1
Fig. 2

References

  1. (2001) NIH consensus development panel on osteoporosis. JAMA 285:758–779

  2. Braithwaite RS, Col NS, Wong JB (2003) Estimating hip fracture morbidity, mortality and costs. Am Ger Soc 51:364–370

    Article  Google Scholar 

  3. Melton LJ III (2000) Who has osteoporosis? A conflict between clinical and Public Health perspectives. J Bone Miner Res 15:2309–2314

    PubMed  Article  Google Scholar 

  4. World Health Organisation (1994) Assessment of fracture risk and its application to screening for postmenopausal osteoporosis. World Health Organization, Geneva, Switzerland, pp 1–129

    Google Scholar 

  5. Siris ES, Miller PD, Barrett-Connor E, Faulkner KG, Wehren LE, Abbott TA, Berger ML, Santora AC, Sherwood LM (2001) Identification and fracture outcomes of undiagnosed low bone mineral density in postmenopausal women: results from the National Osteoporosis Risk Assessment. JAMA 286:2815–2822

    PubMed  Article  CAS  Google Scholar 

  6. Schuit SC, van der Klift M, Weel AE, de Laet CE, Burger H, Seeman E, Hofman A, Uitterlinden AG, van Leeuwen JP, Pols HA (2004) Fracture incidence and associations with bone mineral density in elderly men and women: the Rotterdam Study. Bone 34:195–202

    PubMed  Article  CAS  Google Scholar 

  7. Sornay-Rendu E, Munoz F, Garnero P, Duboeuf F, Delmas PD (2005) Identification of osteopenic women at high risk of fracture: the OFELY study. J Bone Miner Res 10:1813–1819

    Article  Google Scholar 

  8. Albrand G, Munoz F, Sornay-Rendu E, Duboeuf F, Delmas PD (2003) Independent predictors of all osteoporosis-related fractures in healthy postmenopausal women: the OFELY study. Bone 32:78–85

    PubMed  Article  CAS  Google Scholar 

  9. Cummings SR, Nevitt MC, Browner WS, Stone K, Fox KM, Ensrud KE, Cauley J, Black D, Vogt TM (1995) Risk factors for hip fracture in white women. Study of Osteoporotic Fractures Research Group. N Engl J Med 332:767–773

    PubMed  Article  CAS  Google Scholar 

  10. Kanis JA, Johnell O, De Laet C, Johansson H, Oden A, Delmas P, Eisman J, Fujiwara S, Garnero P, Kroger H, McCloskey EV, Mellstrom D, Melton LJ, Pols H, Reeve J, Silman A, Tenenhouse A (2004) A meta-analysis of previous fracture and subsequent fracture risk. Bone 35:375–382

    PubMed  Article  CAS  Google Scholar 

  11. Klotzbuecher CM, Ross PD, Landsman PB, Abbott T, Berger M (2000) Patients with prior fractures have an increased risk of future fractures: a summary of the literature and statistical synthesis. J Bone Miner Res 4:721–739

    Article  Google Scholar 

  12. Stone KL, Seeley DG, Lui LY, Cauley JA, Ensrud K, Browner WS, Nevitt MC, Cummings SR (2003) BMD at multiple sites and risk of fracture of multiple types: long-term results of the Study of Osteoporotic Fractures. J Bone Miner Res 18:1947–1954

    PubMed  Article  Google Scholar 

  13. Garnero P, Hausherr E, Chapuy MC, Marcelli C, Grandjean H, Muller C, Cormier C, Breart G, Meunier PJ, Delmas PD (1996) Markers of bone resorption predict hip fracture in elderly women: the EPIDOS Prospective Study. J Bone Miner Res 11:1531–1538

    PubMed  CAS  Google Scholar 

  14. Johnell O, Oden A, de Laet C, Garnero P, Delmas PD, Kanis JA (2002) Biochemical indices of bone turnover and the assessment of fracture probability. Osteoporos Int 13:523–526

    PubMed  Article  CAS  Google Scholar 

  15. Garnero P, Sornay-Rendu E, Claustrat B, Delmas PD (2000) Biochemical markers of bone turnover, endogenous hormones and the risk of fractures in postmenopausal women: the OFELY study. J Bone Miner Res 15:1526–1536

    PubMed  Article  CAS  Google Scholar 

  16. Vergnaud P, Garnero P, Meunier PJ, Breart G, Kamihagi K, Delmas PD (1997) Undecarboxylated osteocalcin measured with a specific immunoassay predicts hip fracture in elderly women: the EPIDOS study. J Clin Endocrinol Metab 82:719–724

    PubMed  Article  CAS  Google Scholar 

  17. Garnero P, Sornay-Rendu E, Delmas PD (2000) Low serum IGF-1 and occurrence of osteoporotic fractures in postmenopausal women. Lancet 355:898–899

    Article  PubMed  CAS  Google Scholar 

  18. Cummings SR, Browner WS, Bauer D, Stone K, Ensrud K, Jamal S, Ettinger B (1998) Endogenous hormones and the risk of hip and vertebral fractures among older women. Study of Osteoporotic Fractures Research Group. N Engl J Med 339:733–738

    PubMed  Article  CAS  Google Scholar 

  19. Chapurlat RD, Garnero P, Breart G, Meunier PJ, Delmas PD (2000) Serum estradiol and sex hormone-binding globulin and the risk of fracture in elderly women: the EPIDOS study. J Bone Miner Res 15:1835–1841

    PubMed  Article  CAS  Google Scholar 

  20. Finkelstein JD, Martin JJ (2000) Homocysteine. Int J Biochem Cell Biol 32:385–389

    PubMed  Article  CAS  Google Scholar 

  21. Scott JM, Weir DG (1998) Folic acid, homocysteine and one-carbon metabolism: a review of the essential biochemistry. J Cardiovasc Risk 5:223–227

    PubMed  Article  CAS  Google Scholar 

  22. Quéré I, Simorre B, Ruivard M, Le Hello C, Parrot F, Mégnien JL, Touati G, Chassé JF, Saudubray JM, Zittoun J (2001) Homocystinuria in adulthood. Rev Med Int 22:347–355

    Google Scholar 

  23. Mudd SH, Skovby F, Levy HL, Pettigrew KD, Wilcken B, Pyeritz RE, Andria G, Boers GH, Bromberg IL, Cerone R (1985) The natural history of homocystinuria due to the cysthathionine beta-synthase deficiency. Am J Hum Genet 37:1–31

    PubMed  CAS  Google Scholar 

  24. Grieco AJ (1977) Homocystinuria: pathogenetic mechanisms. Am J Med Sci 273:120–132

    PubMed  Article  CAS  Google Scholar 

  25. Mc Lean RR, Jacques PF, Selhub J, Tucker KL, Samelson EJ, Broe KE, Hannan MT, Cupples LA, Kiel DP (2004) Homocysteine as a predictive factor for hip fracture in older persons. N Engl J Med 350:2042–2049

    Article  Google Scholar 

  26. Van Meurs JB, Dhonukshe-Rutten RA, Pluijm SM, van der Klift M, de Jonge R, Lindemans J, de Groot L, Hofman A, Witteman JCM, van Leeuwen JPTM, Breteler MMB, Lips P, Pols HAP, Uitterlinden AG (2004) Homocysteine levels and the risk of osteoporotic fracture. N Engl J Med 350:2033–2041

    PubMed  Article  Google Scholar 

  27. Sato Y, Honda Y, Iwamoto J, Kanoko T, Satoh K (2005) Homocysteine as a predictive factor for hip fracture in stroke patients. Bone 36:721–726

    PubMed  Article  CAS  Google Scholar 

  28. Sato Y, Iwamoto J, Kanoko T, Satoh K (2005) Homocysteine as a predictive factor for hip fracture in elderly women with Parkinson’s disease. Am J Med 118:1250–1255

    PubMed  Article  CAS  Google Scholar 

  29. Raisz LG (2004) Homocysteine and osteoporotic fractures: culprit or bystander. N Engl J Med 350:2089–2090

    PubMed  Article  CAS  Google Scholar 

  30. Kang AH, Trelstad RL (1973) A collagen defect in homocystinuria. J Clin Invest 52:2571–2578

    PubMed  CAS  Article  Google Scholar 

  31. Lubec B, Fang-Kicher S, Lubec T, Blom HJ, Boers GHJ (1996) Evidence for McKusick’s hypothesis of deficient collagen cross-linking in patients with homocystinuria. Bioch Biophys Act 1315:159–162

    Google Scholar 

  32. Sakamoto W, Isomura H, Fujie K, Deyama Y, Kato A, Nishihira J, Izumi H (2005) Homocysteine attenuates the expression of osteocalcin but enhances osteopontin in MC3T3-E1 preosteoblastic cells. Bioch Biophys Act 1740:12–16

    CAS  Google Scholar 

  33. Herrmann M, Widmann T, Colaianni G, Colucci S, Zallone A, Herrmann W (2005) Increased osteoclast activity in the presence of increased homocysteine concentrations. Clin Chem 51:2348–2353

    PubMed  Article  CAS  Google Scholar 

  34. Garnero P, Sornay-Rendu E, Chapuy MC, Delmas PD (1996) Increased bone turnover in late postmenopausal women is a major determinant of osteoporosis. J Bone Miner Res 11:337–349

    PubMed  CAS  Google Scholar 

  35. Genant HK, Wu CY, Van Kuijk C, Nevitt MC (1993) Vertebral fracture assessment using a semi quantitative technique. J Bone Miner Res 8:1137–1148

    PubMed  CAS  Article  Google Scholar 

  36. Cummings SR, Nevitt MC, Browner WS (1995) Risk factors for hip fracture in white women. Study of Osteoporotic Fractures Research Group. N Engl J Med 332:767–773

    PubMed  Article  CAS  Google Scholar 

  37. Robbins JA, Schott AM, Garnero P, Delmas PD (2005) Risk factors for hip fracture in women with high BMD. Osteoporos Int 16:149–154

    PubMed  Article  CAS  Google Scholar 

  38. Ganji V, Kafai MR (2003) Demographic, health, lifestyle, and blood vitamin determinants of serum total homocysteine concentrations in the third National Health and Nutrition Examination Survey, 1988–1994. Am J Clin Nutr 77:826–833

    PubMed  CAS  Google Scholar 

  39. Jacques PF, Bostom AG, Wilson PWF, Rich S, Rosenberg ICH, Selhub J (2001) Determinants of plasma total homocysteine concentration in the Framingham Offspring Cohort. Am J Clin Nutr 73:613–621

    PubMed  CAS  Google Scholar 

  40. Refsum H, Nurk E, Smith D, Ueland PM, Gjesdal CG, Bjelland I, Tverdal A, Tell GS, Nygard O, Vollset SE (2006) The Hordaland Homocysteine Study: a community-based study of homocysteine, its determinants, and associations with disease. J Nutr 136:1731–1740

    Google Scholar 

  41. Rasmussen LB, Ovesen L, Bülow I, Knudsen N, Laurberg P, Perrild H (2000) Folate intake, lifestyle factors, and homocysteine concentrations in younger and older women. Am J Clin Nutr 72:1156–1163

    PubMed  CAS  Google Scholar 

  42. Shimakawa T, Nieto FJ, Malinow MR, Chambless LE, Schreiner PJ, Szklo M (1997) Vitamin intake: a possible determinant of plasma homocysteine among middle-aged adults. Ann Epidemiol 7:285–293

    PubMed  Article  CAS  Google Scholar 

  43. Woodside JV, Yarnell JWG, McMaster D, Young IS, Harmon DL, McCrum EE, Patterson CC, Gey KF, Whitehead AS, Evans A (1998) Effect of B-group vitamins and antioxidants vitamins on hyperhomocysteinemia: a double-blind, randomised, factorial-design, controlled trial. Am J Clin Nutr 67:858–865

    PubMed  CAS  Google Scholar 

  44. Brönstrup A, Hages M, Prinz-Langenohl R, Pietrzik K (1998) Effect of folic acid and combinations of folic acid and vitamin B-12 on plasma homocysteine concentrations in healthy, young women. Am J Clin Nutr 68:1104–1110

    PubMed  Google Scholar 

  45. Ravaglia G, Forti P, Maioli F, Servadei L, Martelli M, Brunetti N, Bastagli L, Cucinotta D, Mariani E (2005) Folate, but not homocysteine, predicts the risk of fracture in elderly persons. J Gerontol A Biol Sci Med Sci 60:1458–1462

    PubMed  Google Scholar 

  46. Dhonukshe-Rutten RAM, Pluijm SMF, de Groot LCPGM, Lips P, Smit JH, van Staveren WA (2005) Homocysteine and vitamin B 12 status relate to bone turnover markers, broadband ultrasound attenuation, and fractures in healthy elderly people. J Bone Miner Res 20:921–929

    PubMed  Article  CAS  Google Scholar 

  47. Sato Y, Honda Y, Iwamoto J, Kanoko T, Satoh K (2005) Effect of folate and mecobalamin on hip fractures in patients with stroke. JAMA 293:1082–1088

    PubMed  Article  CAS  Google Scholar 

  48. Danesh J, Lewington S (1998) Plasma homocysteine and coronary heart disease: systematic review of published epidemiological studies. J Cardiovasc Risk 5:229–232

    PubMed  Article  CAS  Google Scholar 

  49. Guttormsen AB, Schneede J, Fiskerstrand T, Ueland PM, Refsum HM (1994) Plasma concentrations of homocysteine and other aminothiol compounds are related to food intake in healthy human subjects. J Nutr 124:1934–1941

    PubMed  CAS  Google Scholar 

Download references

Author information

Affiliations

Authors

Corresponding author

Correspondence to P. D. Delmas.

Rights and permissions

Reprints and Permissions

About this article

Cite this article

Périer, M.A., Gineyts, E., Munoz, F. et al. Homocysteine and fracture risk in postmenopausal women: the OFELY study. Osteoporos Int 18, 1329–1336 (2007). https://doi.org/10.1007/s00198-007-0393-1

Download citation

  • Received:

  • Accepted:

  • Published:

  • Issue Date:

  • DOI: https://doi.org/10.1007/s00198-007-0393-1

Keywords

  • Fracture
  • Homocysteine
  • Osteoporosis
  • Postmenopausal women
  • Risk