Skip to main content

A prospective study of changes in bone turnover and bone density associated with regaining weight in women with anorexia nervosa

Abstract

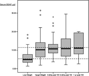
Anorexia nervosa (AN) is a condition of self-induced weight loss, associated with an intense fear of gaining weight. Previous studies have shown that bone density may increase with regaining and maintaining normal weight; however, relatively little is known about the changes in bone metabolism that occur during weight restoration. We describe the effect of weight restoration and maintenance of weight over 1 year on bone mineral density (BMD) and bone turnover. We recruited women from the eating disorders services at the South West London and St George’s Mental Health NHS Trust, and the Priory and Charter Nightingale Hospitals in London, UK. Details of their AN, fracture history, menstrual history and exercise were obtained by interview and case note review. Morning samples of blood and second void urine were taken for biochemical analysis. BMD was measured by DXA at the lumbar spine (LS), femoral neck (FN), distal radius (RD) and total body bone mineral content (BMC). Patients then entered the treatment program, which includes re-feeding, dietary education and psychotherapy. Over a period of 42 months, we recruited 55 women who agreed to participate in this study and underwent baseline investigations. Of these, 15 (27%) subjects achieved and then maintained their target weight for the duration of the study. At baseline for all subjects ( n =55) estradiol levels were lower than the normal reference ranges (both follicular and luteal phases) in 91% of the women. Bone specific alkaline phosphatase (BSAP) concentrations were lower than the premenopausal reference range in 55% of women, and urinary deoxypyridinoline (DPD) was above the premenopausal reference range in 78% of women. Baseline lumbar spine BMD was positively related to BMI (Pearson’s r =0.29, P =0.04) and inversely related to bone turnover markers: urinary DPD (Pearson’s r =−0.39, P =0.01 and serum BSAP (Pearson’s r =−0.3, P =0.06). The 15 patients who regained and maintained weight were followed-up for a mean duration of 69 weeks (SD 7.3, range 54 to 84 weeks). Mean BMI increased from 14.2 (1.7) to 20.2 (0.77) kg/m2 and remained stable throughout follow-up. Menstruation resumed in 8 of the 15 women. Total body BMC and LS BMD increased significantly over the duration of follow-up (by 4.3% each), but FN BMD and distal radius remained stable. Lumbar spine bone area also increased significantly, whereas FN and distal radius did not. These changes were associated with a significant increase in BSAP ( P =0.01), and a non-significant trend for a decrease in DPD ( P =0.10). Our findings suggest that when women are at low body weight they are in a hypo-estrogenic state, which is associated with imbalance of bone turnover (high bone resorption and low bone formation). This is reversed with weight gain and persists as target weight is maintained and is associated with increases in BMC and BMD.

This is a preview of subscription content, access via your institution.

Fig. 1
Fig. 2

References

  1. Royal College of Psychiatrists (2000) Eating disorders in the UK. Policies for service development and training. Council Report CR87. Royal College of Psychiatrists, London

  2. Salisbury JJ, Mitchell JE (1991) Bone mineral density and anorexia nervosa in women. Am J Psychiatry 148:768–774

    Google Scholar 

  3. Lucas AR, Melton LJ, Crowson CS, O’Fallon WM (1999) Long-term fracture risk among women with anorexia nervosa: a population-based cohort study. Mayo Clin Proc 74:972–977

    Google Scholar 

  4. Bachrach LK, Katzman DK, Litt IF, Guido D, Marcus R (1991) Recovery from osteopenia in adolescent girls with anorexia nervosa. J Clin Endocrinol Metab 72:602–606

    Google Scholar 

  5. Herzog W, Minne H, Deter C, Leidig G, Achellberg D, Wuster C, Gronwald R, Sarembe E, Kroger F, Bergmann G, Petzold E, Hahn P, Schepank H, Ziegler R (1993) Outcome of bone mineral density in anorexia nervosa patients 11.7 years after first admission. J Bone Miner Res8:597–605

    Google Scholar 

  6. Treasure J, Serpell L (2001) Osteoporosis in young people. Psychiatric Clin N Am24:359–370

    Google Scholar 

  7. Rigotti NA, Neer RM, Skates SJ, Herzog DB, Nussbaum SR (1991) The clinical course of osteoporosis in anorexia nervosa. A longitudinal study of cortical bone mass. JAMA 265:1133–1138

    Google Scholar 

  8. Gluer C-C, Blake G, Lu Y, Blunt BA, Jergas M, Genant HK (1995) Accurate assessment of precision errors: how to measure the reproducibility of bone densitometry techniques. Osteoporos Int 5:262–270

    Google Scholar 

  9. Grinspoon S, Baum H, Lee K, Andersen E, Herzog D, Klibanski A (1996) Effects of short-term recombinant human insulin-like growth factor-1 administration on bone turnover in osteopenic women with anorexia nervosa. J Clin Endocrinol Metab 81:3864–3870

    Google Scholar 

  10. Stefanis N, Mackintosh C, Hagosa DA, Treasure J, Moniz C (1998) Dissociation of bone turnover in anorexia nervosa. Ann Clin Biochem 35:709–716

    Google Scholar 

  11. Soyka LA, Grinspoon S, Levitsk LL, Herzog DB, Klibanski A (1999) The effects of anorexia nervosa in bone metabolism in female adolescents. J Clin Endocrinol Metab 84:4489–4496

    Google Scholar 

  12. Hotta M, Shibasaki T, Sato K, Demura H (1998) The importance of body weight history in the occurrence and recovery of osteoporosis in patients with anorexia nervosa: evaluation by dual X-ray absorptiometry and bone metabolic markers. Eur J Endocrinol 139:276–278

    Google Scholar 

  13. Grinspoon S, Thomas E, Pitts S et al (2000) Prevalence and predictive factors for regional osteopenia in women with anorexia nervosa. Ann Int Med 135:790–794

    Google Scholar 

  14. Gordon CM, Goodman E, Emans SJ, Grace E, Becker KA, Rosen CJ, Gunberg CM, LeBoff MS (2002) Physiologic regulators of bone turnover in young women with anorexia nervosa. J Pediatr 141:64–69

    Google Scholar 

  15. Wentz E, Mellstrom D, Gillberg C et al (2003) Bone density 11 years after anorexia nervosa onset in a controlled study of 39 cases. Int J Eat Disord 34:314–318

    Google Scholar 

  16. Vall A, Groenning IL, Syversen U, Hoeiseth A (2000) Anorexia nervosa: slow regain of bone mass. Osteoporos Int 11:141–145

    Google Scholar 

  17. Heer M, Mika C, Grzella I, Drummer C, Herpertz-Dahlmann B (2002) Changes in bone turnover in patients with anorexia nervosa during 11 weeks of inpatient dietary treatment. Clin Chem 48:754–760

    Google Scholar 

  18. Soyka LA, Misra M, Frenchman A et al (2002) Abnormal bone mineral accrual in adolescent girls with anorexia nervosa. J Clin Endocrinol Metab 87:4177–4185

    Google Scholar 

  19. Seeman E, Karlsson MK, Duan Y (2000) On exposure to anorexia nervosa the temporal variation in axial and appendicular skeletal development predisposes to site-specific deficits in bone size and density: a cross-sectional study. J Bone Miner Res 15:2259–2265

    Google Scholar 

  20. Seeman E, Szmukler GI, Formica C, Tsalamandris C, Mestrovic R (1992) Osteoporosis in anorexia nervosa: the influence of peak bone density, bone loss, oral contraceptive use, and exercise. J Bone Miner Res 7:1467–1474

    Google Scholar 

  21. Klibanski A, Biller BMK, Schoenfeld DA, Herzog DB, Saxe VC (1995) The effects of estrogen administration on trabecular bone loss in young women with anorexia nervosa. J Endocrinol Metab 80:898–904

    Google Scholar 

  22. Carmichael KA, Carmichael DH (1995) Bone metabolism and osteopenia in eating disorders. Medicine 74:254–267

    Google Scholar 

  23. Zumoff B, Walsh BT, Katz JL et al (1983) Subnormal plasma dehyroepiandrosterone to cortisol ratio in anorexia nervosa. J Clin Endocrinol Metab 56:668–671

    Google Scholar 

  24. Gordon CM, Grace E, Emans J et al (1999) Changes in bone turnover markers and menstrual function after short-term oral DHEA in young women with anorexia nervosa. J Bone Miner Res 14:136–145

    Google Scholar 

  25. Gordon CM, Grace E, Emans J et al (2002) Effects of oral dehydroepiandrosterone on bone density in young women with anorexia nervosa. J Clin Endocrinol Metab 87:4928–4934

    Google Scholar 

  26. Hotta M, Fukuda I, Sato K et al (2000) The relationship between bone turnover and body weight, serum insulin-like growth factor (IGF)1, and serum IGF-binding protein levels in patients with anorexia nervosa. J Clin Endocrinol Metab 85:200–206

    Google Scholar 

  27. Warren MP, Brooks-Gunn J, Fox RP, Holderness CC, Hyle EP, Hamilton WG (2000) Osteopenia in exercise-associated amenorrhoea using ballet dancers as a model: a longitudinal study. J Endocrinol Metab 87:3162–3168

    Google Scholar 

  28. Joyce MJ, Warren DL, Humphries LL, Smith AJ, Coon JS (1989) Osteoporosis in women with eating disorders: comparison of physical parameters, exercise and menstrual status with SPA and DPA evaluation. J Nucl Med 31:325–331

    Google Scholar 

  29. Andersen AE, Woodward PJ, LaFrance N (1995) Bone mineral density of eating disordered subgroups. Int J Eat Disord 18:335–342

    Google Scholar 

  30. Pearce G, Bass S, Young N, Formica C, Seeman E (1996) Does weight bearing exercise protect against the effects of exercise induced oligomenorrhoea on bone density. Osteoporos Int 6:448–452

    Google Scholar 

  31. Caillot-Augusseau A, Lafage-Proust MH, Margaillan P, Vergely N, Faure S, Paillet S, Lang F, Alexadre C, Estour B (2000) Weight gain reverses bone turnover and restores circadian variation of bone resorption in anorexic patients. Clin Endocrinol 52:113–121

    Google Scholar 

  32. Tothill P, Hannan WJ, Cowen S, Freeman CP (1997) Anomalies in the measurement of changes in total-body bone mineral by dual-energy X-ray absorptiometry during weight change. J Bone Miner Res 12:1908–1921

    Google Scholar 

Download references

Acknowledgements

During the initial part of this study, JB was employed as a Research Fellow funded by the Priory Hospitals Group. The authors wish to thank staff of the eating disorders units at the Priory, Charter Nightingale and Springfield Hospitals for their assistance with recruiting subjects.

Author information

Affiliations

Authors

Corresponding author

Correspondence to James G. F. Bolton.

Additional information

There was no conflict of interest.

Rights and permissions

Reprints and Permissions

About this article

Cite this article

Bolton, J.G.F., Patel, S., Lacey, J.H. et al. A prospective study of changes in bone turnover and bone density associated with regaining weight in women with anorexia nervosa. Osteoporos Int 16, 1955–1962 (2005). https://doi.org/10.1007/s00198-005-1972-7

Download citation

  • Received:

  • Accepted:

  • Published:

  • Issue Date:

  • DOI: https://doi.org/10.1007/s00198-005-1972-7

Keywords

  • Annorexia nervosa
  • Bone density
  • Weight restoration and maintenance