Skip to main content

Ultrasound of the calcaneus and bone mineral density differs in older black and white women but is not impacted by current physical activity

Abstract

Black women have lower fracture rates, primarily due to bone-dependent factors; however, the racial differences in quantitative ultrasound (QUS) for older black and white women are poorly characterized, especially in regard to the mediating effects of physical activity. The primary aim of this study was to determine if QUS measures differ in age- and body-size-matched older black and white women and to explore if the racial differences were mediated by differences in current habitual physical activity. We performed dual-energy X-ray absorptiometry (DXA) bone mineral density (BMD) measures and QUS measures [broadband ultrasound attenuation (BUA), speed of sound (SOS), quantitative ultrasound index (QUI)] of the calcaneus in 30 black and 30 white women matched in age (68.3 years) and body mass index (30.0 kg/m2). Black women had greater QUS measures of SOS (1,563.6±31.7 vs 1,541.2±23.4, p =0.003) and QUI (102.6±18.5 vs 90.4±15.4, p =0.008), with a strong trend for greater BUA (79.2±15.1 vs 71.9±15.1 m/sec, p =0.066) compared with white women. As expected, black women had greater BMD measures at all sites; whole body (6.8%, p <0.010), lumbar spine (10.4%, p =0.008), proximal femur (14.2%; p <0.001) and femoral neck (20.3%; p <0.001), compared with white women. Although white women reported expending 45% more energy ( p =0.03) in moderate intensity physical activity than black women on a weekly basis, current physical activity did not attenuate the difference in QUS measures between the races. The relations between QUS and BMD measures were similar in black compared with white women. After controlling for BMD, the racial differences in QUS measures were not apparent, precluding the conclusion that bone quality independently contributes to the reduction in fracture risk in older black women. The impact of current physical activity on QUS measures in older black and white women is negligible.

This is a preview of subscription content, access via your institution.

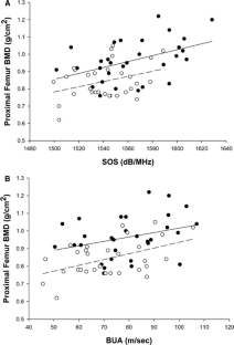
Fig. 1

References

  1. Jacobsen SJ, Goldberg J, Miles TP, Brody JA, Stiers W, Rimm AA (1990) Hip fracture incidence among the old and very old: a population based study of 745,435 cases. Am J Public Health 80:871–873

    CAS  PubMed  Google Scholar 

  2. Nelson DA, Barondess DA, Hendrix SL, Beck TJ (2000) Cross-sectional geometry, bone strength, and bone mass in the proximal femur in black and white postmenopausal women. J Bone Miner Res 15:1992–1997

    CAS  PubMed  Google Scholar 

  3. Aloia JF, Vaswani A, Mikhail M, Badshah M, Flaster E (1999) Cancellous bone of the spine is greater in black women. Calcif Tissue Int 65:29–33

    CAS  PubMed  Google Scholar 

  4. Aloia JF, Vaswani A, Mikhail M, Flaster ER (1999) Body composition by dual-energy X-ray absorptiometry in black compared to white women. Osteoporos Int 10:114–119

    CAS  PubMed  Google Scholar 

  5. Aloia JF, Vaswani A, Feuerman M, Mikhail M, Ma R (2000) Differences in skeletal and muscle mass with aging in black and white women. Am J Physiol Endocrinol Metab 278: E1153–E1157

    CAS  PubMed  Google Scholar 

  6. Cauley JA, Danielson ME, Gregg EW, Vogt MT, Zmuda J, Bauer DC (1997) Calcaneal ultrasound in older African-American and Caucasian-American Women. Osteoporos Int 7:100–104

    CAS  PubMed  Google Scholar 

  7. Aloia JF, Vaswani A, Delerme-Pagan C, Flaster E (1998) Discordance between ultrasound of the calcaneus and bone mineral density in black and white women. Calcif Tissue Int 62:481–485

    CAS  PubMed  Google Scholar 

  8. Gregg EW, Kriska AM, Salamone LM, Wolf RL, Roberts MM, Ferrel RE, Anderson SJ, Kuller LH, Cauley JA (1999) Correlates of quantitative ultrasound in the Women’s Healthy Lifestyle Project. Osteoporos Int 10:416–424

    CAS  PubMed  Google Scholar 

  9. Blanchet C, Giguere Y, Prud’homme D, Turcot-Lemay L, Dumont M, Leduc G, Cote S, Laflamme N, Rousseau F, Dodin S (2003) Leisure physical activity is associated with quantitative ultrasound measurements independently of bone mineral density in postmenopausal women. Calcif Tissue Int 73:339–349

    CAS  PubMed  Google Scholar 

  10. Washburn RA, Kline G, Lackland DT, Wheeler FC (1992) Leisure time physical activity: are there black/white differences? Prev Med 21:127–135

    CAS  PubMed  Google Scholar 

  11. Ransdell LB, Wells CL (1998) Physical activity in urban white, African-American, and Mexican-American women. Med Sci Sports Exerc 30:1608–1615

    CAS  PubMed  Google Scholar 

  12. Stewart AL, Mills KM, King AC, Haskell WL, Gillis D, Ritter PL (2001) CHAMPS Physical Activity Questionnaire for Older Adults: outcomes for interventions. Med Sci Sports Exerc 33:1126–1141

    CAS  PubMed  Google Scholar 

  13. Washburn RA, McAuley E, Katula J, Mihalko SL, Boileau RA (1999) The Physical Activity Scale for the Elderly (PASE): Evidence for validity. J Clin Epidemiol 52:643–651

    CAS  PubMed  Google Scholar 

  14. Cauley JA, Gutai JP, Kuller LH, Scott J, Nevitt MC (1994) Black-white differences in serum sex hormones and bone mineral density. Am J Epidemiol 139:1035–1046

    CAS  PubMed  Google Scholar 

  15. Fernandez J, Heo M, Heymsfield SB, Pierson RNJ, Pi-Sunyer FX, Wang ZM, Wang J, Hayes M, Allison DB, Gallagher D (2003) Is percentage body fat differentially related to body mass index in Hispanic American, African Americans, and European Americans? Am J Clin Nutr 77:71–75

    CAS  PubMed  Google Scholar 

  16. Gallagher D, Visser M, Sepulveda D, Pierson RNJ, Harris T, Heymsfield SB (1996) How useful is body mass index for comparison of body fatness across age, sex and ethnic groups? Am J Epidemiol 143:228–239

    CAS  PubMed  Google Scholar 

  17. Faulkner KG, McClung MR, Coleman LJ, Kingston-Sandahl E (1994) Quantitative ultrasound of the heel: correlation with densitometric measurements at different skeletal sites. Osteoporos Int 4:42–47

    CAS  PubMed  Google Scholar 

  18. Kohrt WM (2001) Aging and the osteogenic response to mechanical loading. Int J Sport Nutr Exerc Metab 11:S137–S142

    PubMed  Google Scholar 

  19. Kohrt WM, Bloomfield S, Little KD, Nelson ME, Yingling VR (2004) American College of Sports Medicine Position Stand: physical activity and bone health. Med Sci Sports Exerc 36:1985–1996

    PubMed  Google Scholar 

  20. Tylavsky FA, Carbone LD, Bush AJ (2002) Effects of ethnicity and gender on reliable measurements using the Sahara ultrasonometer. J Clin Densitom 5:411–419

    PubMed  Google Scholar 

  21. Rothenberg RJ, Boyd JL, Holcomb JP (2004) Quantitative ultrasound of the calcaneus as a screening tool to detect osteoporosis: different reference ranges for Caucasian women, African-American women, and Caucasian men. J Clin Densitom 7:101–110

    CAS  PubMed  Google Scholar 

Download references

Acknowledgements

This study was supported by NIH RO1-AG020118 (PI: E. McAuley) and the UIUC Campus Research Board (PI: E. Evans)

Author information

Affiliations

Authors

Corresponding author

Correspondence to Ellen M. Evans.

Rights and permissions

Reprints and Permissions

About this article

Cite this article

Evans, E.M., Ross, K.M., Heinrichs, K.L. et al. Ultrasound of the calcaneus and bone mineral density differs in older black and white women but is not impacted by current physical activity. Osteoporos Int 16, 1755–1760 (2005). https://doi.org/10.1007/s00198-005-1918-0

Download citation

  • Received:

  • Accepted:

  • Published:

  • Issue Date:

  • DOI: https://doi.org/10.1007/s00198-005-1918-0

Keywords

  • Bone ultrasound
  • Ethnicity
  • Race