Skip to main content

Validation of the Chinese version of the Pelvic Floor Distress Inventory-20 (PFDI-20) according to the COSMIN checklist

Abstract

Introduction and hypothesis

The objective of this study was to translate the short version of the Pelvic Floor Distress Inventory (PFDI-20) into Chinese and to evaluate its psychometric properties in Chinese women with symptomatic pelvic floor dysfunction according to the Consensus-Based Standards for the Selection of Health Status Measurement Instruments (COSMIN) checklist.

Methods

Between October 2017 and May 2018, a cross-sectional analysis of the clinical data of 126 patients who met the inclusion criteria was performed. The patients completed the questionnaires at the baseline (T1), 1–2 weeks later (T2), and 3 months after surgery (T3). Reliability testing included internal consistency, test–retest reliability, and measurement error. The methodical tests for validity were content validity, criterion validity, construct validity, and hypothesis testing. Responsiveness was also taken into consideration.

Results

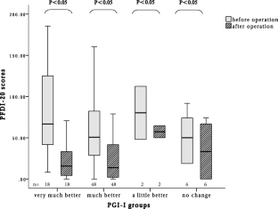
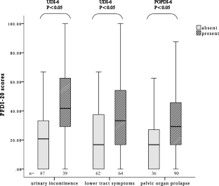
One hundred twenty-six patients completed all questionnaires. Internal consistency, measured by Cronbach’s alpha value, was good, and the test–retest reliability was high, with an intraclass correlation coefficient (ICC) of 0.99. Construct validity was verified by factor analysis. All assumptions were confirmed, and there were no ceiling or floor effects in this study. Spearman’s correlation coefficient between the PFDI-20 and the Pelvic Floor Impact Questionnaire (PFIQ-7) was 0.867, showing a significant correlation. Furthermore, the minimal important change (MIC) of 50.0 was less than the smallest detectable change (SDC) of 18.36, indicating the sufficient responsiveness.

Conclusions

The Chinese version of the PFDI-20 developed in this study is a reliable and valid instrument that provides good responsiveness to clinical changes.

This is a preview of subscription content, access via your institution.

Fig. 1
Fig. 2
Fig. 3
Fig. 4

References

  1. Zhu L, et al. The epidemiological study of women with urinary incontinence and risk factors for stress urinary incontinence in China. Menopause. 2009;16(4):831–6.

    Article  PubMed  Google Scholar 

  2. Chan SS, et al. Prevalence of urinary and fecal incontinence in Chinese women during and after their first pregnancy. Int Urogynecol J. 2013;24(9):1473–9.

    Article  PubMed  Google Scholar 

  3. Barber MD. Questionnaires for women with pelvic floor disorders. Int Urogynecol J Pelvic Floor Dysfunct. 2007;18(4):461.

    Article  PubMed  Google Scholar 

  4. Barber MD, et al. Short forms of two condition-specific quality-of-life questionnaires for women with pelvic floor disorders (PFDI-20 and PFIQ-7). Am J Obstet Gynecol. 2005;193(1):103.

    Article  CAS  PubMed  Google Scholar 

  5. Treszezamsky AD, et al. Spanish translation and validation of four short pelvic floor disorders questionnaires. Int Urogynecol J. 2013;24(4):655–70.

    Article  PubMed  Google Scholar 

  6. Yoshida M, et al. Reliability and validity of the Japanese version of the pelvic floor distress inventory-short form 20. Int Urogynecol J. 2013;24(6):1039–46.

    Article  PubMed  Google Scholar 

  7. Utomo E, et al. Validation of the pelvic floor distress inventory (PFDI-20) and pelvic floor impact questionnaire (PFIQ-7) in a Dutch population. Int Urogynecol J. 2014;25(4):531–44.

    Article  PubMed  Google Scholar 

  8. Arouca MA, et al. Validation and cultural translation for Brazilian Portuguese version of the pelvic floor impact questionnaire (PFIQ-7) and pelvic floor distress inventory (PFDI-20). Int Urogynecol J. 2016;27(7):1097–106.

    Article  PubMed  Google Scholar 

  9. Teig CJ, et al. Norwegian translation, and validation, of the pelvic floor distress inventory (PFDI-20) and the pelvic floor impact questionnaire (PFIQ-7). Int Urogynecol J. 2017;28(7):1005–17.

    Article  PubMed  Google Scholar 

  10. Teleman P, et al. Validation of the Swedish short forms of the pelvic floor impact questionnaire (PFIQ-7), pelvic floor distress inventory (PFDI-20) and pelvic organ prolapse/urinary incontinence sexual questionnaire (PISQ-12). Acta Obstet Gynecol Scand. 2011;90(5):483–7.

    Article  PubMed  Google Scholar 

  11. Due U, et al. Validation of the pelvic floor distress Inventory-20 and the pelvic floor impact questionnaire-7 in Danish women with pelvic organ prolapse. Acta Obstet Gynecol Scand. 2013;92(9):1041–8.

    Article  PubMed  Google Scholar 

  12. Zhu L, et al. Chinese validation of the pelvic floor impact questionnaire short form. MENOPAUSE. 2011;18(9):1030–3.

    Article  PubMed  Google Scholar 

  13. Mokkink LB, et al. The COSMIN checklist for assessing the methodological quality of studies on measurement properties of health status measurement instruments: an international Delphi study. Qual Life Res. 2010;19(4):539–49.

    Article  PubMed  PubMed Central  Google Scholar 

  14. Terwee CB, et al. Quality criteria were proposed for measurement properties of health status questionnaires. J Clin Epidemiol. 2007;60(1):34–42.

    Article  PubMed  Google Scholar 

  15. Yalcin I, et al. Validation of two global impression questionnaires for incontinence. Am J Obstet Gynecol. 2003;189(1):98–101.

    Article  PubMed  Google Scholar 

  16. Srikrishna S, et al. Validation of the patient global impression of improvement (PGI-I) for urogenital prolapse. Int Urogynecol J. 2010;21(5):523–8.

    Article  PubMed  Google Scholar 

  17. Acquadro C, et al. Literature review of methods to translate health-related quality of life questionnaires for use in multinational clinical trials. Value Health. 2008;11(3):509–21.

    Article  PubMed  Google Scholar 

  18. Henn EW, et al. Validation of the PFDI-20 and PFIQ-7 quality of life questionnaires in two African languages. Int Urogynecol J. 2017;28(12):1883–90.

    Article  PubMed  Google Scholar 

  19. Shumaker SA, et al. Health-related quality of life measures for women with urinary incontinence: the incontinence impact questionnaire and the urogenital distress inventory. Continence program in women (CPW) research group. Qual Life Res. 1994;3(5):291–306.

    Article  CAS  PubMed  Google Scholar 

  20. King MT. A point of minimal important difference (MID): a critique of terminology and methods. Expert Rev Pharmacoecon Outcomes Res. 2011;11(2):171–84.

    Article  PubMed  Google Scholar 

  21. Terwee CB, et al. Mind the MIC: large variation among populations and methods. J Clin Epidemiol. 2010;63(5):524–34.

    Article  PubMed  Google Scholar 

Download references

Financial support

This study received financial support from the CAMS Initiative for Innovative Medicine (CAMS-I2M) (No. 2017-I2M-1-002).

Author information

Affiliations

Authors

Corresponding author

Correspondence to Lan Zhu.

Ethics declarations

Conflicts of interest

None.

Additional information

Publisher’s note

Springer Nature remains neutral with regard to jurisdictional claims in published maps and institutional affiliations.

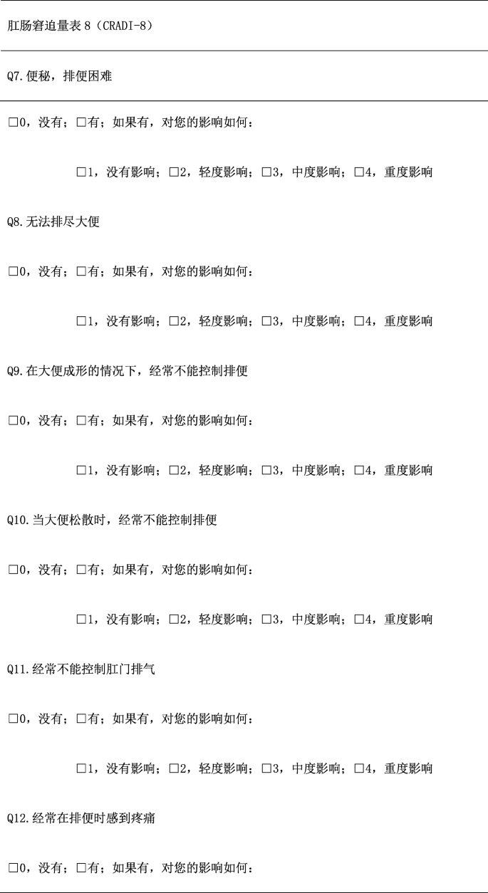
Appendix (Chinese questionnaires)

Appendix (Chinese questionnaires)

盆底窘迫量表简易问卷(Pelvic Floor Distress Inventory-20, PFDI-20).

请回答一下调查问卷的所有问题,涉及最近3个月的膀胱、直肠和盆腔的症状,分列为POPDI-6,CRADI-8、UDI-6三个栏目。如果您有以下症状,请选择影响程度。每项选择的分值标在□后(0~4分),分数越高对生活质量影响越大。.

figure afigure afigure afigure a

得出每项栏目的平均分(0~4) × 25(0~100),相加得出总评分(0~300).

总评分:

Rights and permissions

Reprints and Permissions

About this article

Verify currency and authenticity via CrossMark

Cite this article

Ma, Y., Xu, T., Zhang, Y. et al. Validation of the Chinese version of the Pelvic Floor Distress Inventory-20 (PFDI-20) according to the COSMIN checklist. Int Urogynecol J 30, 1127–1139 (2019). https://doi.org/10.1007/s00192-018-3847-4

Download citation

  • Received:

  • Accepted:

  • Published:

  • Issue Date:

  • DOI: https://doi.org/10.1007/s00192-018-3847-4

Keywords

  • PFDI-20 questionnaire
  • Chinese validation
  • COSMIN checklist