Skip to main content

Minimally invasive Oxford unicompartmental knee arthroplasty ensures excellent functional outcome and high survivorship in the long term

Abstract

Purpose

Whether unicompartimental or total knee arthroplasty is superior for treatment of anteromedial knee osteoarthritis, is still uncertain. Therefore, the purpose of this study was to evaluate clinical and radiological outcome as well as long-term survivorship of medial Oxford unicompartmental knee arthroplasty (OUKA) at an independent center with a minimum follow-up of 10 years.

Methods

This single-center retrospective cohort study reports the 10–15 years follow-up results of 113 consecutive patients (126 knees) after medial OUKA. Survivorship analysis was performed with several different endpoints and clinical outcome was measured using the Oxford Knee Score (OKS), American Knee Society Score (AKSS-O), range of motion (ROM), Tegner activity score and UCLA score. Radiological analysis was performed with focus on progression of arthritis in the lateral compartment.

Results

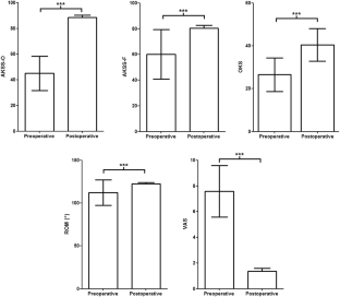
A total of 16 patients (16 knees) underwent revision surgery resulting in a survival rate of 92.4% at 10 years and 88.6% at 15 years with the endpoint device-related revisions. The main reason for revision surgery was progression of arthritis in five patients (31.3%) followed by persistency of pain in three patients (18.7%). Clinical outcome was good to excellent with an OKS of 39.9 at 11 years, an AKSS-O of 89.3 and a mean range of motion of 122°. The radiological analysis revealed a significant progression of degenerative changes in the lateral compartment, however without any impact on the functional outcome.

Conclusion

Oxford UKA of the medial compartment ensures good long-term survivorship with an excellent functional outcome. Therefore, the results of this study support the continued use of OUKA in patients with anteromedial osteoarthritis.

Level of evidence

Retrospective cohort study, Level III.

This is a preview of subscription content, access via your institution.

Fig. 1
Fig. 2

References

  1. Alnachoukati OK, Barrington JW, Berend KR, Kolczun MC, Emerson RH, Lombardi AV et al (2018) Eight hundred twenty-five medial mobile-bearing unicompartmental knee arthroplasties: the first 10-year US multi-center survival analysis. J Arthroplasty 33:677–683

    Article  PubMed  Google Scholar 

  2. Arirachakaran A, Choowit P, Putananon C, Muangsiri S, Kongtharvonskul J (2015) Is unicompartmental knee arthroplasty (UKA) superior to total knee arthroplasty (TKA)? A systematic review and meta-analysis of randomized controlled trial. Eur J Orthop Surg Traumatol 25:799–806

    Article  PubMed  Google Scholar 

  3. Beard DJ, Pandit H, Gill HS, Hollinghurst D, Dodd CA, Murray DW (2007) The influence of the presence and severity of pre-existing patellofemoral degenerative changes on the outcome of the Oxford medial unicompartmental knee replacement. J Bone Joint Surg Br 89:1597–1601

    Article  CAS  PubMed  Google Scholar 

  4. Burn E, Sanchez-Santos MT, Pandit HG, Hamilton TW, Liddle AD, Murray DW et al (2018) 10-year patient-reported outcomes following total and minimally invasive unicompartmental knee arthroplasty: a propensity score-matched cohort analysis. Knee Surg Sports Traumatol Arthrosc 26:1455–1464

    Article  PubMed  Google Scholar 

  5. Campi S, Pandit H, Hooper G, Snell D, Jenkins C, Dodd CAF et al (2018) 10-year survival and seven-year functional results of cementless Oxford unicompartmental knee replacement: a prospective consecutive series of our first 1000 cases. Knee. https://doi.org/10.1016/j.knee.2018.07.012

    Article  PubMed  Google Scholar 

  6. Faour-Martin O, Valverde-Garcia JA, Martin-Ferrero MA, Vega-Castrillo A, de la Red Gallego MA, de Suarez Puga CC et al (2013) Oxford phase 3 unicondylar knee arthroplasty through a minimally invasive approach: long-term results. Int Orthop 37:833–838

    Article  PubMed  PubMed Central  Google Scholar 

  7. Fisher N, Agarwal M, Reuben SF, Johnson DS, Turner PG (2006) Sporting and physical activity following Oxford medial unicompartmental knee arthroplasty. Knee 13:296–300

    Article  CAS  PubMed  Google Scholar 

  8. Koskinen E, Paavolainen P, Eskelinen A, Pulkkinen P, Remes V (2007) Unicondylar knee replacement for primary osteoarthritis: a prospective follow-up study of 1819 patients from the Finnish Arthroplasty Register. Acta Orthop 78:128–135

    Article  PubMed  Google Scholar 

  9. Liddle AD, Judge A, Pandit H, Murray DW (2014) Adverse outcomes after total and unicompartmental knee replacement in 101,330 matched patients: a study of data from the National Joint Registry for England and Wales. Lancet 384:1437–1445

    Article  PubMed  Google Scholar 

  10. Lisowski LA, Meijer LI, Bekerom MP, Pilot P, Lisowski AE (2016) 10- to 15-year results of the Oxford Phase III mobile unicompartmental knee arthroplasty: a prospective study from a non-designer group. Bone Joint J 98-B:41–47

    Article  PubMed  PubMed Central  Google Scholar 

  11. Mohammad HR, Strickland L, Hamilton TW, Murray DW (2018) Long-term outcomes of over 8000 medial Oxford Phase 3 unicompartmental knees—a systematic review. Acta Orthop 89:101–107

    Article  PubMed  Google Scholar 

  12. Murray DW, Liddle AD, Dodd CA, Pandit H (2015) Unicompartmental knee arthroplasty: is the glass half full or half empty? Bone Joint J 97-B:3–8

    Article  CAS  PubMed  PubMed Central  Google Scholar 

  13. Naal FD, Fischer M, Preuss A, Goldhahn J, von Knoch F, Preiss S et al (2007) Return to sports and recreational activity after unicompartmental knee arthroplasty. Am J Sports Med 35:1688–1695

    Article  PubMed  Google Scholar 

  14. Pandit H, Hamilton TW, Jenkins C, Mellon SJ, Dodd CA, Murray DW (2015) The clinical outcome of minimally invasive Phase 3 Oxford unicompartmental knee arthroplasty: a 15-year follow-up of 1000 UKAs. Bone Joint J 97-B:1493–1500

    Article  CAS  PubMed  Google Scholar 

  15. Pandit H, Jenkins C, Gill HS, Barker K, Dodd CA, Murray DW (2011) Minimally invasive Oxford phase 3 unicompartmental knee replacement: results of 1000 cases. J Bone Joint Surg Br 93:198–204

    Article  CAS  PubMed  Google Scholar 

  16. Price AJ, Rees JL, Beard DJ, Gill RH, Dodd CA, Murray DM (2004) Sagittal plane kinematics of a mobile-bearing unicompartmental knee arthroplasty at 10 years: a comparative in vivo fluoroscopic analysis. J Arthroplasty 19:590–597

    Article  PubMed  Google Scholar 

  17. Price AJ, Webb J, Topf H, Dodd CA, Goodfellow JW, Murray DW et al (2001) Rapid recovery after oxford unicompartmental arthroplasty through a short incision. J Arthroplasty 16:970–976

    Article  CAS  PubMed  Google Scholar 

  18. Schroer WC, Barnes CL, Diesfeld P, LeMarr A, Ingrassia R, Morton DJ et al (2013) The oxford unicompartmental knee fails at a high rate in a high-volume knee practice. Clin Orthop Relat Res 471:3533–3539

    Article  PubMed  PubMed Central  Google Scholar 

  19. Scott CE, Howie CR, MacDonald D, Biant LC (2010) Predicting dissatisfaction following total knee replacement: a prospective study of 1217 patients. J Bone Joint Surg Br 92:1253–1258

    Article  CAS  PubMed  Google Scholar 

  20. Vorlat P, Putzeys G, Cottenie D, Van Isacker T, Pouliart N, Handelberg F et al (2006) The Oxford unicompartmental knee prosthesis: an independent 10-year survival analysis. Knee Surg Sports Traumatol Arthrosc 14:40–45

    Article  PubMed  Google Scholar 

  21. Walker T, Gotterbarm T, Bruckner T, Merle C, Streit MR (2014) Total versus unicompartmental knee replacement for isolated lateral osteoarthritis: a matched-pairs study. Int Orthop 38:2259–2264

    Article  PubMed  Google Scholar 

  22. Walker T, Streit J, Gotterbarm T, Bruckner T, Merle C, Streit MR (2015) Sports, physical activity and patient-reported outcomes after medial unicompartmental knee arthroplasty in young patients. J Arthroplasty 30:1911–1916

    Article  PubMed  Google Scholar 

  23. Willis-Owen CA, Brust K, Alsop H, Miraldo M, Cobb JP (2009) Unicondylar knee arthroplasty in the UK National Health Service: an analysis of candidacy, outcome and cost efficacy. Knee 16:473–478

    Article  PubMed  Google Scholar 

Download references

Funding

No external funding was used.

Author information

Affiliations

Authors

Corresponding author

Correspondence to Babak Moradi.

Ethics declarations

Conflict of interest

Dr. Walker, Mr. Hetto, Dr. Bruckner, Dr. Panzram, Dr. Innmann and Dr. Moradi have nothing to declare. Dr. Gotterbarm reports grants and personal fees from Zimmer Biomet, Europe, grants and personal fees from Depuy Synthes Orthopädie Gmbh, outside the submitted work; Dr. Merle reports grants and personal fees from Zimmer Biomet, personal fees from Thieme, outside the submitted work.

Ethical approval

All procedures performed in this study involving human participants were in accordance with the ethical standards of the institutional and/or national research committee and with the 1964 Helsinki declaration and its later amendments or comparable ethical standards.

Rights and permissions

Reprints and Permissions

About this article

Verify currency and authenticity via CrossMark

Cite this article

Walker, T., Hetto, P., Bruckner, T. et al. Minimally invasive Oxford unicompartmental knee arthroplasty ensures excellent functional outcome and high survivorship in the long term. Knee Surg Sports Traumatol Arthrosc 27, 1658–1664 (2019). https://doi.org/10.1007/s00167-018-5299-2

Download citation

  • Received:

  • Accepted:

  • Published:

  • Issue Date:

  • DOI: https://doi.org/10.1007/s00167-018-5299-2

Keywords

  • Medial unicondylar knee arthroplasty
  • UKA, UKR, long term survivorship
  • Oxford knee
  • Knee arthroplasty
  • Mobile bearing