Abstract
Purpose
The aim of this study was to assess inflammation and the presence and relative levels of cytokines, which may be involved in regulating early human Achilles tendon healing.
Methods
Nine patients with acute Achilles tendon rupture were included, operated on and post-operatively immobilized. Two weeks post-operatively, microdialysis of the peritendinous interstitial compartment was performed in the healing and intact contralateral Achilles tendons. Quantification of tumour necrosis factor (TNF)-α, interferon (IFN)-γ, interleukin (IL)-1β, IL-6, IL-8, IL-10, IL-12p70 and IL-17A was accomplished using a cytometric bead array. Prostaglandin (PG) E2 levels were measured by enzyme immunoassay.
Results
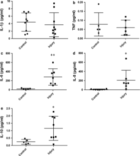
None of the patients displayed detectable PGE2 levels. Pro-inflammatory cytokines were below detection levels (IFNγ, IL-12, and IL-17) or did not differ between injured and control tendons (IL-1β and TNF). Notably, IL-6, IL-8 and IL-10 concentrations in the healing Achilles tendon were significantly elevated: 13-fold (p = 0.009), 28-fold (p = 0.02), and 3.7-fold (p = 0.03), respectively.
Conclusion
At 2 weeks post–human Achilles tendon rupture, healing is characterized by a resolving inflammatory phase and up-regulation of IL-6, IL-8 and IL-10. The absence of inflammation suggests that at this time point, these cytokines may be associated with anti-inflammatory and regenerative effects on the tendon healing process.

References
Ackermann PW, Calder J, Aspenberg P (2008) Healing and repair mechanisms. In: Achilles tendon rupture. Current concepts, Second Edition edn. DJO Publications, Guildford, UK pp 17–26
Andersen MB, Pingel J, Kjaer M, Langberg H (2011) Interleukin-6: a growth factor stimulating collagen synthesis in human tendon. J Appl Physiol 110(6):1549–1554
Bacon K, Baggiolini M, Broxmeyer H, Horuk R, Lindley I, Mantovani A, Maysushima K, Murphy P, Nomiyama H, Oppenheim J, Rot A, Schall T, Tsang M, Thorpe R, Van Damme J, Wadhwa M, Yoshie O, Zlotnik A, Zoon K (2002) Chemokine/chemokine receptor nomenclature. J Interfer Cytokine Res 22(10):1067–1068
Baggiolini M, Walz A, Kunkel SL (1989) Neutrophil-activating peptide-1/interleukin 8, a novel cytokine that activates neutrophils. J Clin Invest 84(4):1045–1049
Berglund M, Hart DA, Wiig M (2007) The inflammatory response and hyaluronan synthases in the rabbit flexor tendon and tendon sheath following injury. J Hand Surg Eur Vol 32(5):581–587
Bogdan C, Paik J, Vodovotz Y, Nathan C (1992) Contrasting mechanisms for suppression of macrophage cytokine release by transforming growth factor-beta and interleukin-10. J Biol Chem 267(32):23301–23308
Bring D, Reno C, Renstrom P, Salo P, Hart D, Ackermann P (2010) Prolonged immobilization compromises up-regulation of repair genes after tendon rupture in a rat model. Scand J Med Sci Sports 20(3):411–417
Bring DK, Reno C, Renstrom P, Salo P, Hart DA, Ackermann PW (2009) Joint immobilization reduces the expression of sensory neuropeptide receptors and impairs healing after tendon rupture in a rat model. J Orthop Res 27(2):274–280
Chbinou N, Frenette J (2004) Insulin-dependent diabetes impairs the inflammatory response and delays angiogenesis following Achilles tendon injury. Am J Physiol Regul Integr Comp Physiol 286(5):R952–R957
Eliasson P, Andersson T, Aspenberg P (2009) Rat Achilles tendon healing: mechanical loading and gene expression. J Appl Physiol 107(2):399–407
Funk CD (2001) Prostaglandins and leukotrienes: advances in eicosanoid biology. Science 294(5548):1871–1875
Greve K, Domeij-Arverud E, Labruto F, Edman G, Bring D, Nilsson G, Ackermann PW (2012) Metabolic activity in early tendon repair can be enhanced by intermittent pneumatic compression. Scand J Med Sci Sports 22(4):e55–e63
Herdrich BJ, Danzer E, Davey MG, Bermudez DM, Radu A, Zhang L, Zhang Z, Soslowsky LJ, Liechty KW (2010) Fetal tendon wound size modulates wound gene expression and subsequent wound phenotype. Wound Repair Regen 18(5):543–549
John T, Lodka D, Kohl B, Ertel W, Jammrath J, Conrad C, Stoll C, Busch C, Schulze-Tanzil G (2010) Effect of pro-inflammatory and immunoregulatory cytokines on human tenocytes. J Orthop Res 28(8):1071–1077
Koshima H, Kondo S, Mishima S, Choi HR, Shimpo H, Sakai T, Ishiguro N (2007) Expression of interleukin-1beta, cyclooxygenase-2, and prostaglandin E2 in a rotator cuff tear in rabbits. J Orthop Res 25(1):92–97
Langberg H, Skovgaard D, Karamouzis M, Bulow J, Kjaer M (1999) Metabolism and inflammatory mediators in the peritendinous space measured by microdialysis during intermittent isometric exercise in humans. J Physiol 515(Pt 3):919–927
Lin TW, Cardenas L, Glaser DL, Soslowsky LJ (2006) Tendon healing in interleukin-4 and interleukin-6 knockout mice. J Biomech 39(1):61–69
Lin TW, Cardenas L, Soslowsky LJ (2005) Tendon properties in interleukin-4 and interleukin-6 knockout mice. J Biomech 38(1):99–105
Matthys P, Mitera T, Heremans H, Van Damme J, Billiau A (1995) Anti-gamma interferon and anti-interleukin-6 antibodies affect staphylococcal enterotoxin B-induced weight loss, hypoglycemia, and cytokine release in D-galactosamine-sensitized and unsensitized mice. Infect Immun 63(4):1158–1164
Nielsen AR, Pedersen BK (2007) The biological roles of exercise-induced cytokines: IL-6, IL-8, and IL-15. Appl Physiol Nutr Metab 32(5):833–839
Nishimoto N, Kishimoto T (2006) Interleukin 6: from bench to bedside. Nat Clin Pract Rheumatol 2(11):619–626
Petersen AM, Pedersen BK (2006) The role of IL-6 in mediating the anti-inflammatory effects of exercise. J Physiol Pharmacol 57(Suppl 10):43–51
Reitamo S, Remitz A, Tamai K, Uitto J (1994) Interleukin-10 modulates type I collagen and matrix metalloprotease gene expression in cultured human skin fibroblasts. J Clin Invest 94(6):2489–2492
Ricciotti E, FitzGerald GA (2011) Prostaglandins and inflammation. Arterioscler Thromb Vasc Biol 31(5):986–1000
Sabat R, Grutz G, Warszawska K, Kirsch S, Witte E, Wolk K, Geginat J (2010) Biology of interleukin-10. Cytokine Growth Factor Rev 21(5):331–344
Schindler R, Mancilla J, Endres S, Ghorbani R, Clark SC, Dinarello CA (1990) Correlations and interactions in the production of interleukin-6 (IL-6), IL-1, and tumor necrosis factor (TNF) in human blood mononuclear cells: IL-6 suppresses IL-1 and TNF. Blood 75(1):40–47
Schulze-Tanzil G, Al-Sadi O, Wiegand E, Ertel W, Busch C, Kohl B, Pufe T (2011) The role of pro-inflammatory and immunoregulatory cytokines in tendon healing and rupture: new insights. Scand J Med Sci Sports 21(3):337–351
Sharma P, Maffulli N (2005) Tendon injury and tendinopathy: healing and repair. J Bone Joint Surg Am 87(1):187–202
Starkie R, Ostrowski SR, Jauffred S, Febbraio M, Pedersen BK (2003) Exercise and IL-6 infusion inhibit endotoxin-induced TNF-alpha production in humans. FASEB J 17(8):884–886
Steensberg A, Fischer CP, Keller C, Moller K, Pedersen BK (2003) IL-6 enhances plasma IL-1ra, IL-10, and cortisol in humans. Am J Physiol Endocrinol Metab 285(2):E433–E437
Tsuzaki M, Guyton G, Garrett W, Archambault JM, Herzog W, Almekinders L, Bynum D, Yang X, Banes AJ (2003) IL-1 beta induces COX2, MMP-1, -3 and -13, ADAMTS-4, IL-1 beta and IL-6 in human tendon cells. J Orthop Res 21(2):256–264
Author information
Authors and Affiliations
Corresponding author
Additional information
P. W. Ackermann and E. Domeij-Arverud contributed equally to the preparation of this manuscript.
Rights and permissions
About this article
Cite this article
Ackermann, P.W., Domeij-Arverud, E., Leclerc, P. et al. Anti-inflammatory cytokine profile in early human tendon repair. Knee Surg Sports Traumatol Arthrosc 21, 1801–1806 (2013). https://doi.org/10.1007/s00167-012-2197-x
Received:
Accepted:
Published:
Issue Date:
DOI: https://doi.org/10.1007/s00167-012-2197-x