Skip to main content

The effects of lateral meniscal allograft transplantation techniques on tibio-femoral contact pressures

Abstract

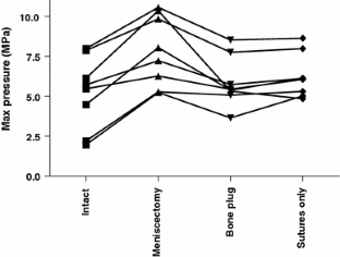
This paper reports a series of comparative tests in vitro, that examined how meniscectomy and meniscal allografting affected tibio-femoral joint contact pressure. Knees were loaded in axial compression and pressure maps obtained from the lateral compartment using Fuji Prescale film inserted below the meniscus. This was repeated after meniscectomy, and then after meniscal allografting with fixation by a bone plug for the insertional ligaments, plus sutures. Finally, the pressure, when the allograft was secured by sutures alone, was measured. The peak pressure rose significantly after meniscectomy, and then was reduced significantly by both allograft methods so that it was not significantly different to normal. Allografts fixed by sutures only allowed slightly higher contact pressure than when they had bone fixation. This study suggests that meniscal allografting should have a chondroprotective effect and that there is a small advantage from adding bony fixation to suture fixation.

This is a preview of subscription content, access via your institution.

Fig. 1
Fig. 2
Fig. 3
Fig. 4
Fig. 5

References

  1. Alhalki MM, Howell SM, Hull ML (1999) How three methods for fixing a medial meniscal autograft affect tibial contact mechanics. Am J Sports Med 27:320–328

    PubMed  CAS  Google Scholar 

  2. Alhalki MM, Hull ML, Howell SM (2000) Contact mechanics of the medial tibial plateau after implantation of a medial meniscal allograft. A human cadaveric study. Am J Sports Med 28:370–376

    PubMed  CAS  Google Scholar 

  3. Arnoczky SP (1999) Building a meniscus. Biologic considerations. Clin Orthop Relat Res 367:S244-S253

    PubMed  Article  Google Scholar 

  4. Backer M (1999) Meniscus transplantation––consensus declaration. Scand J Med Sci Sports 9:131–133 [editorial]

    Article  Google Scholar 

  5. Baker PE, Peckham AC, Pupparo F, Sanborn JC (1985) Review of meniscal injury and associated sports. Am J Sports Med 13:1–4

    PubMed  Article  CAS  Google Scholar 

  6. Cameron JC, Saha S (1997) Meniscal allograft transplantation for unicompartmental arthritis of the knee. Clin Orthop Relat Res 337:164–171

    PubMed  Article  Google Scholar 

  7. Canham W, Stanish W (1986) A study of the biological behavior of the meniscus as a transplant in the medial compartment of a dog’s knee. Am J Sports Med 14:376–379

    PubMed  Article  CAS  Google Scholar 

  8. Chen MI, Branch TP, Hutton WC (1996) Is it important to secure the horns during lateral meniscal transplantation? A cadaveric study. Arthroscopy 12:174–181

    PubMed  CAS  Article  Google Scholar 

  9. de-Boer HH, Koudstaal J (1991) The fate of meniscus cartilage after transplantation of cryopreserved nontissue-antigen-matched allograft. A case report. Clin Orthop Relat Res 266:145–151

    PubMed  Google Scholar 

  10. de-Boer HH, Koudstaal J (1994) Failed meniscus transplantation. A report of three cases. Clin Orthop Relat Res 306:155–162

    PubMed  Google Scholar 

  11. Fukubayashi T, Kurosawa H (1980) The contact area and pressure distribution pattern of the knee. A study of normal and osteoarthritic knee joints. Acta Orthop Scand 51:871–879

    PubMed  CAS  Google Scholar 

  12. Garrett JC, Steensen RN (1991) Meniscal transplantation in the human knee: a preliminary report. Arthroscopy 7:57–62

    PubMed  CAS  Article  Google Scholar 

  13. Goble EM, Verdonk R, Kohn D (1999) Arthroscopic and open surgical techniques for meniscus replacement––meniscal allograft transplantation and tendon autograft transplantation. Scand J Med Sci Sports 9:168–176

    PubMed  CAS  Article  Google Scholar 

  14. Goertzen DJ, Gillquist J, Messner K (1996) Tensile strength of the tibial meniscal attachments in the rabbit. J Biomed Mater Res 30:125–128

    PubMed  Article  CAS  Google Scholar 

  15. Goto H, Shuler FD, Niyibizi C, Fu FH, Robbins PD, Evans CH (2000) Gene therapy for meniscal injury: enhanced synthesis of proteoglycan and collagen by meniscal cells transduced with a TGFbeta(1)gene. Osteoarthr Cartil 8:266–271

    PubMed  Article  CAS  Google Scholar 

  16. Hamlet W, Liu SH, Yang R (1997) Destruction of a cyropreserved meniscal allograft: a case for acute rejection. Arthroscopy 13:517–521

    PubMed  CAS  Article  Google Scholar 

  17. Ihn JC, Kim SJ, Park IH (1993) In vitro study of contact area and pressure distribution in the human knee after partial and total meniscectomy. Int Orthop 17:214–218

    PubMed  Article  CAS  Google Scholar 

  18. Johnson LL, Feagin JA (2000) Autogenous tendon graft substitution for absent knee joint meniscus: a pilot study. Arthroscopy 16:191–196

    PubMed  CAS  Article  Google Scholar 

  19. Kang S, Son S, Lee J, Lee E, Lee K, Park S, Park J, Kim B (2006) Regeneration of whole meniscus using meniscal cells and polymer scaffolds in a rabbit total meniscectomy model. J Biomed Mater Res A 78:659–671

    PubMed  Google Scholar 

  20. Kelly B, Potter H, Deng X, Pearle A, Turner A, Warren R, Rodeo S (2006) Meniscal allograft transplantation in the sheep knee: evaluation of chondroprotective effects. Am J Sports Med 34:1464–1477

    PubMed  Article  Google Scholar 

  21. Kenny C, Krackow KA, McCarthy EF (1983) An evaluation of the effects of a silastic meniscus prosthesis on post-meniscectomy osteoarthrosis. Trans Orthop Res Soc 8:335

    Google Scholar 

  22. Kohn D, Rudert M, Wirth CJ, Plitz W, Reiss G, Maschek H (1997) Medial meniscus replacement by a fat pad autograft. An experimental study in sheep. Int Orthop 21:232–238

    PubMed  Article  CAS  Google Scholar 

  23. Kuhn JE, Wojtys EM (1996) Allograft meniscus transplantation. Clin Sports Med 15:537–556

    PubMed  CAS  Google Scholar 

  24. Liggins AB, Finlay JB (1992) Recording contact areas and pressure in joint interfaces. Exp Mech 32:71–87

    Google Scholar 

  25. Liggins AB, Finlay JB (1997) Image-averaging in the analysis of data from pressure-sensitive film. Exp Tech 21(3):19–22

    Article  Google Scholar 

  26. Liggins AB, Hardie WR, Finlay JB (1995) The spatial and pressure resolution of Fuji pressure-sensitive film. Exp Mech 35(2):166–173

    Article  Google Scholar 

  27. Liggins AB, Stranart JCE, Finlay JB, Rorabeck CH (1992) Calibration and manipulation of data from Fuji pressure-sensitive film. Exp Mech 1992:61–70

    Google Scholar 

  28. McDermott ID, Amis AA (2006) The consequences of meniscectomy. J Bone Joint Surg Br 88-B:1549–1556

    Article  Google Scholar 

  29. McDermott ID, Sharifi F, Bull AMJ, Gupte CM, Thomas RW, Amis AA (2004) An anatomical study of meniscal allograft sizing. Knee Surg Sports Traumatol Arthrosc 12:130–135

    PubMed  Article  CAS  Google Scholar 

  30. Menetrey J, Jones DG, Ernlund LS, Fu FH (1999) Posterior peripheral sutures in meniscal allograft replacement. Arthroscopy 15:663–668

    PubMed  CAS  Article  Google Scholar 

  31. Messner K (1994) Meniscal substitution with a Teflon-periosteal composite graft: a rabbit experiment. Biomaterials 15:223–230

    PubMed  Article  CAS  Google Scholar 

  32. Messner K, Verdonk R (1999) It is necessary to anchor the meniscal transplants with bone plugs? A mini-battle. Scand J Med Sci Sports 9:186–187

    PubMed  CAS  Article  Google Scholar 

  33. Milachowski KA, Weismeier K, Wirth CJ (1989) Homologous meniscus transplantation. Experimental and clinical results. Int Orthop 13:1–11

    PubMed  Article  CAS  Google Scholar 

  34. Milachowski KA, Weismeier K, Wirth CJ, Kohn D (1987) Meniscus transplantation––experimental study and first clinical report. Am J Sports Med 15:626

    Google Scholar 

  35. Newman AP, Anderson DR, Daniels AU, Dales MC (1989) Mechanics of the healed meniscus in a canine model. Am J Sports Med 17:164–175

    PubMed  Article  CAS  Google Scholar 

  36. Paletta GA Jr, Manning T, Snell E, Parker R, Bergfeld J (1997) The effect of allograft meniscal replacement on intraarticular contact area and pressures in the human knee. A biomechanical study. Am J Sports Med 25:692–698

    PubMed  Article  Google Scholar 

  37. Rath E, Richmond JC, Yassir W, Albright JD, Gundogan F (2001) Meniscal allograft transplantation. Two- to eight-year results. Am J Sports Med 29:410–414

    PubMed  CAS  Google Scholar 

  38. Sekaran SV, Hull ML, Howell SM (2002) Nonanatomic location of the posterior horn of a medial meniscal autograft implanted in a cadaveric knee adversely affects the pressure distribution on the tibial plateau. Am J Sports Med 30:74–82

    PubMed  Google Scholar 

  39. Sekiya JK, West RV, Groff YJ, Irrgang JJ, Fu FH, Harner CD (2006) Clinical outcomes following isolated lateral meniscal allograft transplantation. Arthroscopy 22:771–780

    PubMed  Google Scholar 

  40. Shelton WR, Dukes AD (1994) Meniscus replacement with bone anchors: a surgical technique. Arthroscopy 10:324–327

    PubMed  CAS  Article  Google Scholar 

  41. Singerman RJ, Pedersen DR, Brown TD (1987) Quantitation of pressure-sensitive film using digital image scanning. Exp Mech 27:99–105

    Article  Google Scholar 

  42. Stollsteimer GT, Shelton WR, Dukes A, Bomboy AL (2000) Meniscal allograft transplantation: a 1- to 5-year follow-up of 22 patients. Arthroscopy 16:343–347

    PubMed  CAS  Article  Google Scholar 

  43. Stone KR, Rosenberg T (1993) Surgical technique of meniscal replacement. Arthroscopy 9:234–237

    PubMed  CAS  Article  Google Scholar 

  44. Stone KR, Walgenbach A, Turek TJ, Freyer A, Hill MD (2006) Meniscus allograft survival in patients with moderate to severe unicompartmental arthritis: a 2 to 7-year follow-up. Arthroscopy 22:469–478

    PubMed  Article  Google Scholar 

  45. Szomor ZL, Martin TE, Bonar F, Murrell GA (2000) The protective effects of meniscal transplantation on cartilage. An experimental study in sheep. J Bone Joint Surg Am 82-A:80–88

    Google Scholar 

  46. van-Arkel ER, de-Boer HH (1993) Human meniscus transplantation. Agents Actions Suppl 39:243–246

    PubMed  CAS  Google Scholar 

  47. van-Arkel ER, de-Boer HH (1995) Human meniscal transplantation. Preliminary results at 2 to 5-year follow-up. J Bone Joint Surg Br 77-B:589–595

    Google Scholar 

  48. van-Arkel ER, van-den-Berg-Loonen EM, van-Wersch JW, de-Boer HH (1997) Human leukocyte antigen sensitization after cryopreserved human meniscal transplantations. Transplantation 64:531–533

    PubMed  Article  CAS  Google Scholar 

  49. Veltri DM, Warren RF, Wickiewicz TL, O’Brien SJ (1994) Current status of allograft meniscal transplantation. Clin Orthop Relat Res 303:44–55

    PubMed  Google Scholar 

  50. Verdonk PC, Demurie A, Almqvist KF, Veys EM, Verbruggen G, Verdonk R (2005) Transplantation of viable meniscal allograft. Survivorship analysis and clinical outcome of one hundred cases. J Bone Joint Surg Am 87A:715–724

    Article  Google Scholar 

  51. Verdonk P, Depaepe Y, Desmyter S, De Muynck M, Almqvist F, Verstraetek K, Verdonk R (2004) Normal and transplanted lateral knee menisci: evaluation of extrusion using magnetic resonance imaging and ultrasound. Knee Surg Sports Traumatol Arthrosc 12:411–419

    PubMed  Article  Google Scholar 

  52. Verdonk R, Van-Daele P, Claus B, Van-den-Abbeele K, Desmet P, Hurel C, Verbruggen G, Veys E, Claessens H (1998) Viable meniscal transplantation. Acta Orthop Belg 64(Suppl 2):70–75

    PubMed  Google Scholar 

  53. Verdonk PC, Verstraete KL, Almquist KF, De Cuyper K, Veys EM, Verbruggen G, Verdonk R (2006) Meniscal allograft transplantation: long-term clinical results with radiological and magnetic resonance imaging correlations. Knee Surg Sports Traumatol Arthrosc 14:694–706

    PubMed  Article  Google Scholar 

  54. Veth RPH, Jansen HWB, Leenslag JW, Pennings AJ, Hartel RM, Nielsen HKL (1986) Experimental meniscal lesions reconstructed with a carbon fiber–polyurethane–poly(l-lactide) graft. Clin Orthop Relat Res 202:286–293

    PubMed  CAS  Google Scholar 

  55. Weightman B, Chappell DJ, Jenkins EA (1978) A second study of tensile fatigue properties of human articular cartilage. Ann Rheum Dis 37:58–63

    PubMed  CAS  Article  Google Scholar 

  56. Wilcox TR, Goble EM (1996) Indications for meniscal allograft reconstruction. Am J Knee Surg 9:35–36

    PubMed  CAS  Google Scholar 

  57. Wilcox TR, Goble EM, Doucette SA (1996) Goble technique of meniscus transplantation. Am J Knee Surg 9:37–42

    PubMed  CAS  Google Scholar 

Download references

Acknowledgments

This study was supported by the UK National Blood and Tissue Service, and we thank Dr. Ruth Warwick for her advice and help. The Instron machine was donated by the Arthritis Research Campaign. We thank Arthrex Inc. for lending us the surgical instruments, Professor René Verdonk for his friendly advice, and the staff of Ealing Hospital Pathology Department for their help.

Author information

Affiliations

Authors

Corresponding author

Correspondence to Andrew A. Amis.

Rights and permissions

Reprints and Permissions

About this article

Cite this article

McDermott, I.D., Lie, D.T.T., Edwards, A. et al. The effects of lateral meniscal allograft transplantation techniques on tibio-femoral contact pressures. Knee Surg Sports Traumatol Arthr 16, 553–560 (2008). https://doi.org/10.1007/s00167-008-0503-4

Download citation

  • Received:

  • Accepted:

  • Published:

  • Issue Date:

  • DOI: https://doi.org/10.1007/s00167-008-0503-4

Keywords

  • Meniscus
  • Allograft
  • Transplantation
  • Fixation
  • Contact pressure