Skip to main content

Vasostatin-I, a chromogranin A-derived peptide, in non-selected critically ill patients: distribution, kinetics, and prognostic significance

Abstract

Purpose

Chromogranin A (CGA) is released in the plasma during life-threatening illnesses. Its N-terminal 1–76 peptide, vasostatin-I (VS-I), has never been assessed in critically ill patients. Our aim was to examine whether the admission VS-I concentration has prognostic significance without having to specify a primary diagnosis.

Methods

VS-I concentrations were assessed with a new ELISA in 481 consecutive patients and 13 healthy controls. CGA and standard biological tests (including lactate) were performed; the simplified acute physiological score II (SAPS II) was calculated. Mortality was assessed at day 28. In a subgroup of 13 patients with shock, serial VS-I doses were given over 60 h.

Results

Critically ill patients had higher admission VS-I concentrations than controls [4.06 (2.78; 7.61) vs. 2.85 (2.47; 3.22) ng/ml, p < 0.001]. The plasma VS-I concentration was significantly lower in survivors than in non-survivors [3.70 (2.67; 6.12) vs. 5.75 (3.65; 11.20) ng/ml] and in the absence of shock [3.58 (2.59; 5.05) vs. 5.93 (3.30; 11.06) ng/ml, p < 0.001]. The survival rate was better in patients with VS-I concentrations under the median value of 3.97 ng/ml (p < 0.001). Admission VS-I and lactate values were independent predictors of mortality (p < 0.01). Moreover, taking them together, combined with age, provided a better indication for predicting mortality than taking each alone (p < 0.01).

Conclusions

Significant amounts of VS-I are detected on admission in critically ill patients. A plasma VS-I concentration above 3.97 ng/ml is associated with poor outcome, and in routine practice simultaneous measurements of the three independent factors VS-I, lactate and age can affect the assessment of severity.

This is a preview of subscription content, access via your institution.

Fig. 1
Fig. 2
Fig. 3
Fig. 4

References

  1. Banks P, Helle KB (1965) The release of proteins from the stimulated adrenal medulla. Biochem J 97:40C–41C

    PubMed  CAS  Google Scholar 

  2. Helle KB, Corti A, Metz-Boutigue MH, Tota B (2007) The endocrine role for chromogranin A: a prohormone for peptides with regulatory properties. Cell Mol Life Sci 64:2863–2886

    PubMed  Article  CAS  Google Scholar 

  3. Metz-Boutigue MH, Garcia-Sablone P, Hogue-Angeletti R, Aunis D (1993) Intracellular and extracellular processing of chromogranin A. Determination of cleavage sites. Eur J Biochem 217:247–257

    PubMed  Article  CAS  Google Scholar 

  4. Aardal S, Helle KB (1992) The vasoinhibitory activity of bovine chromogranin A fragment (vasostatin) and its independence of extracellular calcium in isolated segments of human blood vessels. Regul Pept 41:9–18

    PubMed  Article  CAS  Google Scholar 

  5. Aardal S, Helle K, Elsayed S, Reed R, Serck-Hanssen G (1993) Vasostatins, comprising the N-terminal domain of chromogranin A, supress tension in isolated human blood vessel segments. J Neuroendocrinol 5:405–412

    PubMed  Article  CAS  Google Scholar 

  6. Tota B, Quintieri AM, Di Felice V, Cerra MC (2007) New biological aspects of chromogranin A-derived peptides: focus on vasostatins. Comp Biochem Physiol A Physiol 147:11–18

    Article  Google Scholar 

  7. Tota B, Cerra MC, Gattuso A (2010) Catecholamines, cardiac natriuretic peptides and chromogranin A: evolution and physiopathology of a “whip-brake” system of the endocrine heart. J Exp Biol 213:3081–3103

    PubMed  Article  CAS  Google Scholar 

  8. Lugardon K, Raffner R, Goumon Y, Corti A, Delmas A, Bulet P, Aunis D, Metz-Boutigue MH (2000) Antibacterial and antifungal activities of vasostatin-1, the N-terminal fragment of chromogranin A. J Biol Chem 275:10745–10753

    PubMed  Article  CAS  Google Scholar 

  9. Bone RC (2008) Towards an epidemiology and natural history of SIRS (systemic inflammatory response syndrome). JAMA 268:3452–3455

    Article  Google Scholar 

  10. Wortsman J, Frank S, Cryer PE (1984) Adrenomedullary response to maximal stress in humans. Am J Med 77:779–784

    PubMed  Article  CAS  Google Scholar 

  11. Zhang D, Lavaux T, Voegeli AC, Lavigne T, Castelain V, Meyer N, Sapin R, Aunis D, Metz-Boutigue MH, Schneider F (2008) Prognostic Value of chromogranin A at admission in critically ill patients: a cohort study in a medical intensive care unit. Clin Chem 54:1497–1503

    PubMed  Article  CAS  Google Scholar 

  12. Pachot A, Lepape A, Vey S, Bienvenu J, Mougin B, Monneret G (2006) Systemic transcriptional analysis in survivor and non-survivor septic shock patients: a preliminary study. Immunol Lett 106:63–71

    PubMed  Article  CAS  Google Scholar 

  13. Dulhunty JM, Lipman J, Finfer S Sepsis Study Investigators for the ANZICS Clinical Trials Group (2008) Does severe non-infectious SIRS differ from severe sepsis? Results from a multi-centre Australian and New Zealand intensive care unit study. Intensive Care Med 34:1654–1661

    PubMed  Article  Google Scholar 

  14. Le Gall JR, Lemeshow S, Saulnier F (1993) A new simplified acute physiology score (SAPS II) based on a European/North American multicenter study. JAMA 270:2957–2963

    PubMed  Article  Google Scholar 

  15. Pieroni M, Corti A, Tota B, Curnis F, Angelone T, Colombo B, Cerra MC, Belloci F, Crea F, Maseri A (2007) Myocardial production of chromogranin A in human heart: a new regulatory peptide of cardiac function. Eur Heart J 28:1117–1127

    PubMed  Article  CAS  Google Scholar 

  16. Degorce F, Goumon Y, Jacquemart L, Vidaud C, Bellanger L, Pons-Anicet D, Seguin P, Metz-Boutigue MH, Aunis D (1999) A new human chromogranin A (CgA) immunoradiometric assay involving monoclonal antibodies raised against the unprocessed central domain (145–245). Brit J Cancer 79:65–71

    PubMed  Article  CAS  Google Scholar 

  17. Hanley J, McNeil B (1983) A method of comparing the areas under receiver operating characteristic curves derived from the same cases. Radiology 148:839–843

    PubMed  CAS  Google Scholar 

  18. Corti A, Sanchez LP, Gasparri A, Curnis F, Longhi R, Brandazza A, Siccardi AG, Sidoli A (1997) Production and structure characterisation of recombinant chromogranin A N-terminal fragments (vasostatins)—evidence of dimer-monomer equilibria. Eur J Biochem 248:692–699

    PubMed  Article  CAS  Google Scholar 

  19. Stridsberg M, Angeletti RH, Helle KB (2000) Characterisation of N-terminal chromogranin A and chromogranin B in mammals by region-specific radioimmunoassays and chromatographic separation methods. J Endocrinol 165:703–714

    PubMed  Article  CAS  Google Scholar 

  20. Yoo SH, Lewis MS (1993) Dimerization and tetramerization properties of the C-terminal region of chromogranin A: a thermodynamic analysis. Biochemistry 32:8816–8822

    PubMed  Article  CAS  Google Scholar 

  21. Hsiao RJ, Mezger MS, O’Connor D (1990) Chromogranin A in uremia: progressive retention of immunoreactive fragments. Kidney Int 37:955–964

    PubMed  Article  CAS  Google Scholar 

  22. Rosjo H, Masson S, Latini R, Flyvbjerg A, Milani V, La Rovere MT, Revera M, Mezzani A, Tognoni G, Tavazzi L, Omland T, GISSI-HF Investigators (2010) Prognostic value of chromogranin A in chronic heart failure: data from th GISSI-heart failure trial. Eur J Heart Fail 12:549–556

    PubMed  Article  CAS  Google Scholar 

  23. Hörl WH, Wanner C, Schollmeyer P (1987) Proteinases in catabolism and malnutrition. JPEN 11(5 suppl):98S–103S

    Article  Google Scholar 

  24. Pham CTN (2006) Neutrophil serine proteases: specific regulators of inflammation. Nat Rev 6:541–550

    Article  CAS  Google Scholar 

  25. Yazdan-Ashoori P, Liaw P, Toltl L, Webb B, Kilmer G, Carter DE, Fraser DD (2011) Elevated plasma matrix metalloproteinases and their tissue inhibitors in patients with severe sepsis. J Crit Care 26:556–565

    PubMed  Article  CAS  Google Scholar 

  26. Lauhio A, Hästbacka J, Pettilä V, Tervahartiala T, Karlsson S, Varpula T, Varpula M, Ruokonen E, Sorsa T, Kolo E (2011) Serum MMP-8, -9 and TIMP-1 in sepsis: high serum levels of MMP-8 and TIMP-1 are associated with fatal outcome in a multicentre, prospective cohort study. Hypothetical impact of tetracyclines. Pharmacol Res 64:590–594

    PubMed  Article  CAS  Google Scholar 

  27. Lee WL, Downey GP (2000) Coagulation inhibitors in sepsis and disseminated intravascular coagulation. Intensive Care Med 26:1701–1706

    PubMed  Article  CAS  Google Scholar 

  28. Parmer RJ, Mahata SK, Jiang O, Taupenot L, Gong Y, Mahata M, O’Connors DT, Miles LA (2000) Tissue plasminogen activator and chromaffin cell function. Adv Exp Med Biol 428:179–191

    Google Scholar 

  29. Hsiao RJ, Neumann HP, Parmer RJ, Barbosa JA, O’Connor DT (1990) Chromogranin A in familial pheochromocytoma: diagnostic screening value, prediction of tumor mass, and post-resection kinetics indicating two-compartment distribution. Am J Med 88:607–613

    PubMed  Article  CAS  Google Scholar 

  30. Groeneveld AB, van Lambalgen TA, Thijs LG (1986) Microvascular permeability in endotoxin and bacterial shock. Acute Care 12:195–218

    PubMed  CAS  Google Scholar 

  31. Seidah NG, Chrétien M (1999) Proprotein and prohormone convertases: a family of subtilases generating diverse bioactive polypeptides. Brain Res 848:45–62

    PubMed  Article  CAS  Google Scholar 

  32. Roatta S, Passatore M, Novello M, Colombo B, Dondossola E, Mohammed M, Losano G, Corti A, Helle KB (2011) The chromogranin A-derived N-terminal peptide vasostatin-I: in vivo effects on cardiovascular variables in the rabbit. Regul Pept 168:10–20

    PubMed  Article  CAS  Google Scholar 

  33. Trzeciak S, Dellinger RP, Chansky ME, Arnold RC, Schorr C, Milcarek B, Hollenberg SM, Parillo JE (2007) Serum lactate as a predictor of mortality in patients with infection. Intensive Care Med 33:970–977

    PubMed  Article  CAS  Google Scholar 

  34. Taupenot L, Harper KL, O’Connor DT (2003) The chromogranin-secretogranin family. N Eng J Med 348:1134–1149

    Article  CAS  Google Scholar 

Download references

Acknowledgments

The authors thank the University of Strasbourg, the hospital Hautepierre, the Inserm and the ANR for financial support. Cisbio Bioassays Research and Development (Bagnols/Cèze, France) provided the Elisa kit required for VS1–76 doses free of charge. This study was also supported by a grant from the French National Research Agency (ANR-08-BIOT-006, for Cisbio bioassays, Bagnols/Cèze, France), INSERM research unit U977 (Strasbourg, France) and the University Hospital of Strasbourg (Strasbourg, France) as partners. The sponsors took full administrative responsibility, but had no role in the design of the study; recruitment of patients; management, analysis or interpretation of the data; or the preparation, review or approval of the article. F. Schneider acknowledges the logistical help of the Centre d’Investigation Clinique, Hôpitaux Universitaires de Strasbourg, France.

Conflicts of interest

All the authors state that they have no conflicts of interest to declare.

Author information

Affiliations

Authors

Corresponding author

Correspondence to Marie-Hélène Metz-Boutigue.

Additional information

Charlotte Bach and Hélène Chung contributed equally.

Electronic supplementary material

Below is the link to the electronic supplementary material.

Supplementary material 1 (DOC 25 kb)

Appendices

Appendix 1

Main causes of referral of patients.

  • In the no SIRS no infection group: neurological causes (ischemic or hemorrhagic stroke and status epilepticus 28 %); acute respiratory failure 27 % (including alveolar hypoventilation in COPD and acute cardiogenic pulmonary edema); self-poisoning with or without alcohol 25 %; metabolic causes 9.5 % (including acute renal failure); miscellaneous 9.5 %.

  • In the SIRS group: acute respiratory failure 28 %; emergency abdominal surgery 19 %; out-of-hospital cardiac arrest 17 %; self-poisoning with aspiration 11 %; metabolic causes 10 %; miscellaneous 15 % (including mild liver failure and/or pancreatitis).

  • In the severe SIRS group: out-of-hospital cardiac arrest 22 %; emergency surgery 20 %; acute respiratory failure 17 % (including mostly ARDS of non-infectious cause); neurological causes 11 %; miscellaneous 30 % (including severe acute liver failure and pancreatitis).

Appendix 2

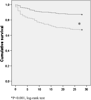
Kaplan-Meier survival curve (28 days) according to the median admission VS-I value.

Rights and permissions

Reprints and Permissions

About this article

Cite this article

Schneider, F., Bach, C., Chung, H. et al. Vasostatin-I, a chromogranin A-derived peptide, in non-selected critically ill patients: distribution, kinetics, and prognostic significance. Intensive Care Med 38, 1514–1522 (2012). https://doi.org/10.1007/s00134-012-2611-3

Download citation

  • Received:

  • Accepted:

  • Published:

  • Issue Date:

  • DOI: https://doi.org/10.1007/s00134-012-2611-3

Keywords

  • Chromogranin A
  • Critically ill
  • Outcome
  • Lactate
  • SAPS II
  • Vasostatin