Skip to main content

Sleep monitoring in the intensive care unit: comparison of nurse assessment, actigraphy and polysomnography

Abstract

Objective

Sleep loss and sleep disruption are common in critically ill patients and may adversely affect clinical outcomes. Although polysomnography remains the most accurate and reliable way to measure sleep, it is costly and impractical for regular use in the intensive care unit. This study evaluates the accuracy of two other methods currently used for measuring sleep, actigraphy (monitoring of gross motor activity) and behavioural assessment by the bedside nurse, by comparing them to overnight polysomnography in critically ill patients.

Design

Observational study with simultaneous polysomnography, actigraphy and behavioural assessment of sleep.

Setting

Medical-surgical intensive care unit.

Patients and participants

Twelve stable, critically ill, mechanically ventilated patients [68 (13) years, Glasgow coma scale 11 (0)].

Interventions

None.

Measurements and results

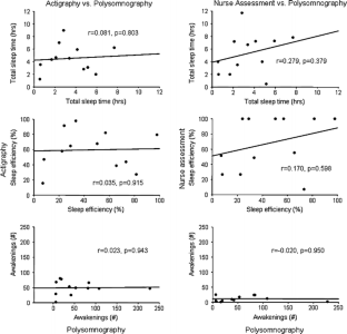
Sleep was severely disrupted, reflected by decreased total sleep time and sleep efficiency, high frequency of arousals and awakenings and abnormal sleep architecture. Actigraphy overestimated total sleep time and sleep efficiency. The overall agreement between actigraphy and polysomnography was <65%. Nurse assessment underestimated the number of awakenings from sleep. Estimated total sleep time, sleep efficiency and number of awakenings by nurse assessment did not correlate with polysomnographic findings.

Conclusions

Actigraphy and behavioural assessment by the bedside nurse are inaccurate and unreliable methods to monitor sleep in critically ill patients.

This is a preview of subscription content, access via your institution.

Fig. 1
Fig. 2
Fig. 3

References

  1. Hanly P (2006) Sleep in the ventilated patient. In: Tobin M (ed) Principles and practice of mechanical ventilation, 2nd edn. McGraw-Hill, New York, pp 1173–1184

    Google Scholar 

  2. Cooper AB, Gabor JY, Hanly PJ (2001) Sleep in the critically ill patient. Semin Respir Crit Care Med 22:153–164

    PubMed  Article  CAS  Google Scholar 

  3. Gabor JY, Cooper AB, Hanly PJ (2001) Sleep disruption in the intensive care unit. Curr Opin Crit Care 7:21–27

    PubMed  Article  CAS  Google Scholar 

  4. Weinhouse GL, Schwab RJ (2006) Sleep in the critically ill patient. Sleep 29:707–716

    PubMed  Google Scholar 

  5. Aurell J, Elmqvist D (1985) Sleep in the surgical intensive care unit: continuous polygraphic recording of sleep in nine patients receiving postoperative care. Br Med J (Clin Res Ed) 290:1029–1032

    CAS  Article  Google Scholar 

  6. Broughton R, Baron R (1978) Sleep patterns in the intensive care unit and on the ward after acute myocardial infarction. Electroencephalogr Clin Neurophysiol 45:348–360

    PubMed  Article  CAS  Google Scholar 

  7. Cooper AB, Thornley KS, Young GB, Slutsky AS, Stewart TE, Hanly PJ (2000) Sleep in critically ill patients requiring mechanical ventilation. Chest 117:809–818

    PubMed  Article  CAS  Google Scholar 

  8. Freedman NS, Gazendam J, Levan L, Pack AI, Schwab RJ (2001) Abnormal sleep/wake cycles and the effect of environmental noise on sleep disruption in the intensive care unit. Am J Respir Crit Care Med 163:451–457

    PubMed  CAS  Google Scholar 

  9. Gabor JY, Cooper AB, Crombach SA, Lee B, Kadikar N, Bettger HE, Hanly PJ (2003) Contribution of the intensive care unit environment to sleep disruption in mechanically ventilated patients and healthy subjects. Am J Respir Crit Care Med 167:708–715

    PubMed  Article  Google Scholar 

  10. Hilton BA (1976) Quantity and quality of patients’ sleep and sleep-disturbing factors in a respiratory intensive care unit. J Adv Nurs 1:453–468

    PubMed  Article  CAS  Google Scholar 

  11. Kavey NB, Ahshuler KZ (1979) Sleep in herniorrhaphy patients. Am J Surg 138:683–687

    PubMed  Article  CAS  Google Scholar 

  12. Orr WC, Stahl ML (1977) Sleep disturbances after open heart surgery. Am J Cardiol 39:196–201

    PubMed  Article  CAS  Google Scholar 

  13. Richards KC, Bairnsfather L (1988) A description of night sleep patterns in the critical care unit. Heart Lung 17:35–42

    PubMed  CAS  Google Scholar 

  14. Knill RL, Moote CA, Skinner MI, Rose EA (1990) Anesthesia with abdominal surgery leads to intense REM sleep during the first postoperative week. Anesthesiology 73:52–61

    PubMed  CAS  Article  Google Scholar 

  15. Rosenberg J, Wildschiodtz G, Pedersen MH, von Jessen F, Kehlet H (1994) Late postoperative nocturnal episodic hypoxaemia and associated sleep pattern. Br J Anaesth 72:145–150

    PubMed  Article  CAS  Google Scholar 

  16. Bosma K, Ferreyra G, Ambrogio C, Pasero D, Mirabella L, Braghiroli A, Appendini L, Mascia L, Ranieri VM (2007) Patient–ventilator interaction and sleep in mechanically ventilated patients: pressure support versus proportional assist ventilation. Crit Care Med 35:1048–1054

    PubMed  Article  Google Scholar 

  17. Parthasarathy S, Tobin MJ (2002) Effect of ventilator mode on sleep quality in critically ill patients. Am J Respir Crit Care Med 166:1423–1429

    PubMed  Article  Google Scholar 

  18. Hardin KA, Seyal M, Stewart T, Bonekat HW (2006) Sleep in critically ill chemically paralyzed patients requiring mechanical ventilation. Chest 129:1468–1477

    PubMed  Article  Google Scholar 

  19. Fontaine DK (1989) Measurement of nocturnal sleep patterns in trauma patients. Heart Lung 18:402–410

    PubMed  CAS  Google Scholar 

  20. Horne JA (1998) Why we sleep: the functions of sleep in humans and other mammals. Oxford University Press, Oxford

    Google Scholar 

  21. Hansell HN (1984) The behavioral effects of noise on man: the patient with “intensive care unit psychosis”. Heart Lung 13:59–65

    PubMed  CAS  Google Scholar 

  22. Ely EW, Gautam S, Margolin R, Francis J, May L, Speroff T, Truman B, Dittus R, Bernard R, Inouye SK (2001) The impact of delirium in the intensive care unit on hospital length of stay. Intensive Care Med 27:1892–1900

    PubMed  Article  CAS  Google Scholar 

  23. Kollef MH, Levy NT, Ahrens TS, Schaiff R, Prentice D, Sherman G (1998) The use of continuous i.v. sedation is associated with prolongation of mechanical ventilation. Chest 114:541–548

    PubMed  Article  CAS  Google Scholar 

  24. Chen HI, Tang YR (1989) Sleep loss impairs inspiratory muscle endurance. Am Rev Respir Dis 140:907–909

    PubMed  CAS  Google Scholar 

  25. Cooper KR, Phillips BA (1982) Effect of short-term sleep loss on breathing. J Appl Physiol 53:855–858

    PubMed  CAS  Google Scholar 

  26. White DP, Douglas NJ, Pickett CK, Zwillich CW, Weil JV (1983) Sleep deprivation and the control of ventilation. Am Rev Respir Dis 128:984–986

    PubMed  CAS  Google Scholar 

  27. Schiffman PL, Trontell MC, Mazar MF, Edelman NH (1983) Sleep deprivation decreases ventilatory response to CO2 but not load compensation. Chest 84:695–698

    PubMed  Article  CAS  Google Scholar 

  28. Benca RM, Quintas J (1997) Sleep and host defenses: a review. Sleep 20:1027–1037

    PubMed  CAS  Google Scholar 

  29. Parthasarathy S, Tobin MJ (2004) Sleep in the intensive care unit. Intensive Care Med 30:197–206

    PubMed  Article  Google Scholar 

  30. Toublanc B, Rose D, Glérant JC, Francois G, Mayeux I, Rodenstein D, Jounieaux V (2007) Assist-control ventilation vs. low levels of pressure support ventilation on sleep quality in intubated ICU patients. Intensive Care Med 33:1148–1154

    PubMed  Article  Google Scholar 

  31. Alexopoulou C, Kondili E, Vakouti E, Klimathianaki M, Prinianakis G, Georgopoulos D (2007) Sleep during proportional-assist ventilation with load-adjustable gain factors in critically ill patients. Intensive Care Med 33:1139–1147

    PubMed  Article  CAS  Google Scholar 

  32. Rechtschaffen A, Kales A (1968) A manual of standardized terminology, techniques and scoring system for sleep stages of human subjects (NIH publication no. 204). Brain Information Service/Brain Research Institute, UCLA, Los Angeles

  33. Sadeh A, Hauri PJ, Kripke DF, Lavie P (1995) The role of actigraphy in the evaluation of sleep disorders. Sleep 18:288–302

    PubMed  CAS  Google Scholar 

  34. Shilo L, Dagan Y, Smorjik Y, Weinberg U, Dolev S, Komptel B, Balaum H, Shenkman L (1999) Patients in the intensive care unit suffer from severe lack of sleep associated with loss of normal melatonin secretion pattern. Am J Med Sci 317:278–281

    PubMed  Article  CAS  Google Scholar 

  35. Shilo L, Dagan Y, Smorjik Y, Weinberg U, Dolev S, Komptel B, Shenkman L (2000) Effect of melatonin on sleep quality of COPD intensive care patients: a pilot study. Chronobiol Int 17:71–76

    PubMed  Article  CAS  Google Scholar 

  36. Morgenthaler T, Alessi C, Friedman L, Owens J, Kapur V, Boehlecke B, Brown T, Chesson A Jr, Coleman J, Lee-Chiong T, Pancer J, Swick TJ (2007) Practice parameters for the use of actigraphy in the assessment of sleep and sleep disorders: an update for 2007. Sleep 30:519–529

    PubMed  Google Scholar 

  37. Bourne RS, Minelli C, Mills GH, Kandler R (2007) Clinical review: sleep measurement in critical care patients: research and clinical implications. Crit Care 11:226

    PubMed  Article  Google Scholar 

  38. Watson PL (2007) Measuring sleep in critically ill patients: beware the pitfalls. Crit Care 11:159

    PubMed  Article  Google Scholar 

  39. Edwards GB, Schuring LM (1993) Pilot study: validating staff nurses’ observations of sleep and wake states among critically ill patients, using polysomnography. Am J Crit Care 2:125–131

    PubMed  CAS  Google Scholar 

  40. Olson DM, Borel CO, Laskowitz DT, Moore DT, McConnell ES (2001) Quiet time: a nursing intervention to promote sleep in neurocritical care units. Am J Crit Care 10:74–78

    PubMed  CAS  Google Scholar 

  41. Richardson A, Crow W, Coghill E, Turnock C (2007) A comparison of sleep assessment tools by nurses and patients in critical care. J Clin Nurs 16:1660–1668

    PubMed  Article  Google Scholar 

  42. Beecroft J, Ward M, Younes M, Crombach S, Smith O, Lukic D, Lawrence J, Hanly P (2005) Sleep monitoring in the intensive care unit: comparison of nurse assessment, actigraphy and polysomnography. Proc Am Thorac Soc 2:A793

    Google Scholar 

  43. Riker RR, Picard JT, Fraser GL (1999) Prospective evaluation of the sedation–agitation scale for adult critically ill patients. Crit Care Med 27:1325–1329

    PubMed  Article  CAS  Google Scholar 

  44. Jacobson S, Jerrier H (2000) EEG in delirium. Semin Clin Neuropyschiatry 5:86–92

    CAS  Google Scholar 

  45. Miller RRIII, Ely EW (2006) Delirium and cognitive dysfunction in the intensive care unit. Semin Respir Crit Care Med 27:210–220

    PubMed  Article  Google Scholar 

Download references

Acknowledgments

This research was performed at the Medical Surgical Intensive Care Unit, St. Michael’s Hospital, Toronto, ON, Canada and was supported by The Physicians Services Incorporated Foundation, ON, Canada. The authors would like to thank D. Lukic and J. Lawrence for their technical assistance.

Author information

Affiliations

Authors

Corresponding author

Correspondence to Patrick J. Hanly.

Appendix: Nursing questionnaire

Appendix: Nursing questionnaire

Nursing assessment of sleep

  1. 1.

    How many hours did your patient sleep during the study period? ……hours.

  2. 2.

    How many times did your patient wake during the study period? ……times.

Rights and permissions

Reprints and Permissions

About this article

Cite this article

Beecroft, J.M., Ward, M., Younes, M. et al. Sleep monitoring in the intensive care unit: comparison of nurse assessment, actigraphy and polysomnography. Intensive Care Med 34, 2076–2083 (2008). https://doi.org/10.1007/s00134-008-1180-y

Download citation

  • Received:

  • Accepted:

  • Published:

  • Issue Date:

  • DOI: https://doi.org/10.1007/s00134-008-1180-y

Keywords

  • Intensive care unit
  • Sleep
  • Actigraphy
  • Polysomnography
  • Nurse assessment
  • Behavioural assessment
  • Critical illness