Skip to main content

Heavy Metal Contamination and Ecological Risk Assessment of Swine Manure Irrigated Vegetable Soils in Jiangxi Province, China

Abstract

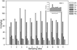
Heavy metal are often added to animal fodder and accumulate in the soils with swine manure. In this study, heavy metal (Cu, Pb, Cd, Zn, As and Cr) concentrations were determined in agricultural soils irrigated with swine manure in Jiangxi Province, China. Results showed that the average concentrations of Cu, Zn, As and Cr (32.8, 93.7, 21.3 and 75.8 mg/kg, respectively) were higher than the background values, while Pb and Cd (15.2 and 0.090 mg/kg, respectively) were lower than the background values. Contamination factors \(\left( {C_{f}^{i}} \right)\) indicated that they were generally moderate for Cu, Zn, As and Cr and generally low for Pb and Cd. The contamination degree (C d ) was calculated to be 7.5–10.0 indicating a moderate degree of contamination. The geoaccumulation index (Igeo) indicated that the soils were unpolluted with Zn, Cd and Pb, while unpolluted to moderately pollute with Cr, Cu and As. The single ecological risk factor \(\left( {E_{r}^{i}} \right)\) revealed that the six heavy metals all belonged to low ecological risk. The ecological risk indices suggested that all the sampling sites were at low risk level.

This is a preview of subscription content, access via your institution.

Fig. 1
Fig. 2
Fig. 3

References

  • Cang L, Wang YJ, Zhou DM et al (2004) Heavy metals pollution in poultry and livestock feeds and manures under intensive farming in Jiangsu Province, China. J Environ Sci 16(3):371–374

    CAS  Google Scholar 

  • Díaz-de Alba M, Galindo-Riano MD, Casanueva-Marenco MJ et al (2011) Assessment of the metal pollution, potential toxicity and speciation of sediment from Algeciras Bay (South of Spain) using chemometric tools. J Hazard Mater 190:177–187

    Article  Google Scholar 

  • Fu Q, Hu H, Li J et al (2009) Effects of soil polluted by cadmium and lead on production and quality of pepper (Capsicum annuum L.) and radish (Raphanus sativus L.). J Food Agric Environ 7(2):698–702

    CAS  Google Scholar 

  • Gupta G, Charles S (1999) Trace elements in soils fertilized with poultry litter. Poult Sci 78(12):1695–1698

    CAS  Article  Google Scholar 

  • Häkanson L (1980) An ecological risk index for aquatic pollution control. A sedimentological approach. Water Res 14:975–1001

    Article  Google Scholar 

  • Hambidge KM, Casey CE, Drebs NF (1986) Zinc in trace elements in human and animal nutrition. In: Mertx W (ed), 5th edn. Academic Press, Orando, FL, pp 1–137

    Google Scholar 

  • He JL, Xu GY, Zhu HM et al (2006) Study on the background value of soil environment in Jiangxi Province. China Environmental Science Press, Beijing, pp 35–47

    Google Scholar 

  • Huang ML, Zhou SL, Sun B et al (2008) Heavy metals in wheat grain: assessment of potential health risk for inhabitants in Kunshan, China. Sci Total Environ 405(1–3):54–61

    CAS  Article  Google Scholar 

  • Iqbal J, Tirmizi SA, Shah MH (2013) Statistical apportionment and risk assessment of selected metals in sediments from Rawal Lake (Pakistan). Environ. Monit. Assess 185:729–743

    CAS  Article  Google Scholar 

  • Jiang X, Dong R, Zhao R (2011) Meat products and soil pollution caused by livestock and poultry feed additive in Liaoning, China. J Environ Sci 23(Supplement):S135–S137

    Article  Google Scholar 

  • Li PJ, Wang X, Allinson G et al (2009) Risk assessment of heavy metals in soil previously irrigated with industrial wastewater in Shenyang, China. J Hazard Mater 161(1):516–521

    CAS  Article  Google Scholar 

  • Li F, Cheng SK, Yu HL et al (2016) Waste from livestock and poultry breeding and its potential assessment of biogas energy in rural China. J Clean Prod 126:451–460

    Article  Google Scholar 

  • Lin Q, Liang L, Wang LH et al (2013) Roles of pyrolysis on availability, species and distribution of Cu and Zn in the swine manure: chemical extractions and high-energy synchrotron analyses. Chemosphere 93(9):2094–2100

    CAS  Article  Google Scholar 

  • Liu G, Tao L, Liu X et al (2013) Heavy metal speciation and pollution of agricultural soils along Jishui River in non-ferrous metal mine area in Jiangxi Province, China. J Geochem Explor 132:156–163

    CAS  Article  Google Scholar 

  • Luo L, Ma Y, Zhang S et al (2009) An inventory of trace element inputs to agricultural soils in China. J Environ Manag 90:2524–2530

    CAS  Article  Google Scholar 

  • Maldonado VM, Arias HOR, Quintana R et al (2008) Heavy metal content in soils under different wastewater irrigation patterns in Chihuahua, Mexico. Inter J Env Res Pub Heal 5(5):441–449

    CAS  Article  Google Scholar 

  • Ministry of environmental protection of PRC (MEP) and Ministry of Land and Resources of PRC (MLR) (2014) National soil pollution survey bulletin. Beijing (in Chinese)

  • Muller G (1969) Index of geoaccumulation in sediments of the Rhine River. J Geol 2:108–118

    Google Scholar 

  • Nicholson F, Chambers B, Williams J et al (1999) Heavy metal contents of livestock feeds and animal manures in England and Wales. Bioresour Technol 70:23–31

    CAS  Article  Google Scholar 

  • NY/T 395–2012, Ministry of Agriculture of the PRC (2012) Technical rules for monitoring of environmental quality of farmland soil. Beijing (in Chinese)

  • Ogiyama S, Sakamoto K, Suzuki H (2006) Accumulation of Zn and Cu in an Arable field after manure application. Soil Sci Plant Nutr 51(6):801–808

    Article  Google Scholar 

  • Rodríguez Martín JA, Ramos-Miras JJ, Boluda R et al (2013) Spatial relations of heavy metals in arable and greenhouse soils of a Mediterranean environment region (Spain). Geoderma 200–201:180–188

    Article  Google Scholar 

  • Salvatore MD, Carratù G, Carafa AM (2009) Assessment of heavy metals transfer from a moderately polluted soil into the edible parts of vegetables. J Food Agric Environ 7(2):683–688

    Google Scholar 

  • Salyer GB, Galyean ML, Defoor PJ et al (2004) Effects of copper and zinc source on performance and humeral immune response of newly received, lightweight beef heifers. J Anim Sci 82:2467–2473

    CAS  Article  Google Scholar 

  • Statistic bureau of Jiangxi province (2015) Jiangxi statistical yearbook. China Statistics Press: Beijing (in Chinese)

    Google Scholar 

  • Tao XP, Dong HM (2009) The environmental risk of livestock waste and its treatment and utilization technology situation. Mod J Anim Husb Veter Med (11):34–38 (in Chinese)

  • Valipour M (2015) Future of agricultural water management in Africa. Arch Agron Soil Sci 61:907–927

    Article  Google Scholar 

  • Valipour M (2016a). Variations of land use and irrigation for next decades under different scenarios. Irriga, Botucatu, Edição Especial, Irrigação 1:262–288

    Google Scholar 

  • Valipour M (2016b) How much meteorological information is necessary to achieve reliable accuracy for rainfall estimations. Agriculture 6:53–61

    Article  Google Scholar 

  • Valipour M (2017) Global experience on irrigation management under different scenarios. J Water Land D 32:95–102

    Google Scholar 

  • Viero DP, Valipour M (2017) Modeling anisotropy in free-surface overland and shallow inundation flows. Adv Water Resour 104:1–14

    Article  Google Scholar 

  • Wang ML, Lai JH, Ni Y et al (2012a) A microwave digestion method for determination of heavy metals in shallow lake sediments by graphite furnace atomic absorption spectrometry. Chin J Anal Lab 31(2):51–54 (Chinese with English abstract).

    Google Scholar 

  • Wang YC, Qiao M, Liu YX et al (2012b) Health risk assessment of heavy metals in soils and vegetables from wastewater irrigated area, Beijing-Tianjin city cluster, China. J Environ Sci 24(4):690–698

    CAS  Article  Google Scholar 

  • Wang R, Tang AP, Ashraf MA (2016) The effects of applying sewage sludge into Jiangxi red soil on the growth of vegetables and the migration and enrichment of Cu and Zn. Saudi J Biol Sci 23(5):660–666

    CAS  Article  Google Scholar 

  • Wei CY, Chen TB (2001) Hyperaccumulators and phytoremediation of heavy metal contaminated soil: a review of studies in China and abroad. Acta Ecol Sin 21:1196–1203

    Google Scholar 

  • Xia WJ, Xu CX, Liu ZB (2015) Status of heavy metal pollution in farmland soil of Jiangxi province and its control countermeasures. Acta Agric Jiangxi 27(1):86–89 (Chinese with English abstract).

    CAS  Google Scholar 

  • Yannopoulos SI, Lyberatos G, Theodossiou N et al (2015) Evolution of water lifting devices (pumps) over the centuries worldwide. Water 7(9):5031–5060

    Article  Google Scholar 

  • Yu Y, Wang H, Li Q et al (2016a) Exposure risk of rural residents to copper in the Le’an River Basin, Jiangxi Province, China. Sci Total Environ 548–549:402–407

    Article  Google Scholar 

  • Yu Y, Li Q, Wang H et al (2016b) Exposure risk of young population to lead: a case study in Le’an River Basin in Jiangxi Province, China. Environ Pollut 209:140–146

    CAS  Article  Google Scholar 

  • Zeng XB, Li LF, Mei XR (2008) Heavy metal content in Chinese vegetable plantation land soils and related source analysis. Agric Sci China 7(9):1115–1126

    Article  Google Scholar 

  • Zhang YL, Dai JL, Wang RQ et al (2008) Effects of long-term sewage irrigation on agricultural soil microbial structural and functional characterizations in Shandong, China. Eur J Soil Biol 44(1):84–91

    Article  Google Scholar 

  • Zhang J, Deng H, Wang D et al (2013) Toxic heavy metal contamination and risk assessment of street dust in small towns of Shanghai suburban area, China. Environ Sci Pollut Res 20:323–332

    CAS  Article  Google Scholar 

Download references

Acknowledgements

This work was supported by the National Natural Science Foundation of China (No. 41663004), the Open Project Program of State Key Laboratory of Food Science and Technology, Nanchang University (No. SKLF-KF-201619), and the Open Project Program of the Key Laboratory of Poyang Lake Environment and Resource Utilization Ministry of Education, Nanchang University (No. PYH2015-02).

Author information

Affiliations

Authors

Corresponding author

Correspondence to Zhihua Wu.

Rights and permissions

Reprints and Permissions

About this article

Verify currency and authenticity via CrossMark

Cite this article

Wang, M., Liu, R., Lu, X. et al. Heavy Metal Contamination and Ecological Risk Assessment of Swine Manure Irrigated Vegetable Soils in Jiangxi Province, China. Bull Environ Contam Toxicol 100, 634–640 (2018). https://doi.org/10.1007/s00128-018-2315-7

Download citation

  • Received:

  • Accepted:

  • Published:

  • Issue Date:

  • DOI: https://doi.org/10.1007/s00128-018-2315-7

Keyword

  • Heavy metals
  • Swine manure irrigation
  • Soil contamination
  • Potential ecological risk
  • Jiangxi Province